Next Article in Journal
Fast Modelling of nZEB Metrics of Office Buildings Built with Advanced Glass and BIPV Facade Structures
Next Article in Special Issue
Development of an Integrated Power Distribution System Laboratory Platform Using Modular Miniature Physical Elements: A Case Study of Fault Location
Previous Article in Journal
Improving the Energy Efficiency, Limiting Costs and Reducing CO2 Emissions of a Museum Using Geothermal Energy and Energy Management Policies
 
 
Font Type:
Arial Georgia Verdana
Font Size:
Aa Aa Aa
Line Spacing:
Column Width:
Background:
Article

Evaluation of a Direct Lightning Strike to the 24 kV Distribution Lines in Thailand

by
Pornchai Sestasombut
and
Atthapol Ngaopitakkul
*
Faculty of Engineering, King Mongkut’s Institute of Technology Ladkrabang, Bangkok 10520, Thailand
*
Author to whom correspondence should be addressed.
Energies 2019, 12(16), 3193; https://doi.org/10.3390/en12163193
Submission received: 17 June 2019 / Revised: 24 July 2019 / Accepted: 11 August 2019 / Published: 20 August 2019
(This article belongs to the Special Issue Transient and Dynamic Simulations of Distribution Networks)

Abstract

:
This paper evaluates the effect of a lightning strike directly on the 24 kV distribution lines in Thailand, where such strikes are one of the main causes of power outages. The voltage across the insulator, and the arrester energy absorbed due to the lightning, need to be analyzed for different grounding distances of the overhead ground wire, ground resistance, lightning impact positions, and lightning current waveforms. Analysis and simulations are conducted using the Alternative Transients Program/Electromagnetic Transients Program (ATP/EMTP) to find the energy absorbed by the arrester and the voltages across the insulator. The results indicate that when surge arresters are not installed, the voltage across the insulator at the end of the line is approximately 1.4 times that in the middle of the line. In addition, the ground resistance and grounding distance of the overhead ground wire affect the voltage across the insulator if the overhead ground wire is struck. When surge arresters are installed, a shorter grounding distance of the overhead ground wire and a lower ground resistance are not always desirable; this is because they reduce the back-flashover rate and the voltage across the insulator if lightning strikes the overhead ground wire. However, lightning strikes to the phase conductor result in high arrester energy and the possibility that the arrester will fail. Furthermore, the tail time of the lightning waveform is a significant variable when considering the energy absorbed by the arrester, whereas the front time is important for the voltage across the insulator. In case lightning strikes directly on the connected point between the overhead lines and the underground cables, the distribution line system is protected only by the lightning arrester at the connection point. The overvoltage at the connection point is lower than the basic impulse level at 24 kV of 125 kV, but the overvoltage at the end of the cable is still more than 125 kV in case the cable is longer than 400 m. When the distribution line system is protected by the lightning arrester at both the connection point and the end of the cable, it results in overvoltage throughout the cable is lower than the critical flashover of insulation. This method is the best way to reduce the failure rate of underground cables and equipment that are connected to the distribution line system.

1. Introduction

Lightning is a significant cause of temporary and permanent power outages, due to the abnormal stresses it puts on the distribution lines. Studies from China, Japan, and Malaysia indicate that lightning is a major cause of power outages [1,2], with 40–70% of the total number of outages caused by lightning [3]. In Thailand, statistics from the Metropolitan Electricity Authority (MEA) [4] report 5000 outages per year with an unknown cause that may be the result of lightning hitting the system. Therefore, lightning protection is an important consideration in the design of distribution lines.
There are many techniques that are considered efficient ways of decreasing the frequency of outages, due to lightning strike; these include using overhead ground wires and surge arresters, which are the most common form of lightning protection used to increase the reliability of the distribution system. Overhead ground wires are installed above the phase conductor to intercept lightning strikes and conduct the current to the ground; arresters are fixed between the phase conductor and the ground. Many investigations into lightning protection have been presented in the literature [5,6,7,8,9,10,11,12,13,14,15,16,17,18,19,20,21,22,23,24,25,26,27]. For example, Omidiora and Lehtonen [5] showed that aerial cables carrying a medium voltage can be protected by a shield wire, which intercepts flashover close to trees or direct lightning strikes, and that the effective performance of shield wires requires a design with low ground resistance. Additionally, Paulino et al. [6] indicated that the waveforms of lightning currents are influenced by the ground resistivity, conductor length, and distance between the lightning and the line conductor. Lightning overvoltage in mixed overhead lines and an underground cable network was discussed in Reference [7]; the overvoltage protection selected included the installation of a surge arrester at both ends of the cables; which significantly improved their lightning protection. The lightning current wave shape, installation position, and lightning position were shown to affect the severity of a lightning strike in Reference [8]. Furthermore, Mikropoulos and Tiovilis [9] showed that optimum system shielding could be achieved by correctly positioning the shield wires relative to the phase conductor. In practice, shielding against lightning strikes to the phase conductors has a flashover failure rate of approximately 0.05 flashovers/100 km/year.
In Reference [10] it was indicated that the ground resistance, front times of the lightning wave shape, and lightning current magnitude are important parameters when analyzing the voltage across an insulator and the back-flashover rate. According to Reference [11], direct lightning strikes to distribution line systems are a major cause of power outages; however, the number of failures on a distribution line system can be reduced if a large number of arresters are installed. The system used in Reference [12] had a very high back-flashover rate, due to the high ground resistance. The use of additional vertical rods to improve the grounding system, and the installation of surge arresters on all phases conductors, were suggested as possible solutions; however, although the installation of surge arresters would be the best solution, it is quite expensive. In locations where the ground has high conductivity and a low-insulation level of 150 kV, or low conductivity ground and a high-insulation level of 300 kV, the optimum spacing between arresters is less than 400 m according to Reference [13]. However, in conditions where the ground has low conductivity and a low insulation level, the spacing of the arresters may be reduced to 200 m. In Reference [14], the back-flashover rate was reduced by keeping the grounding resistance as low as possible. However, very low grounding resistance may increase the risk of arresters failing, depending on the lightning position and the characteristic curve of the arresters according to Reference [15]. If lightning strikes the overhead ground wire, there is a high probability of the arresters being damaged if the grounding resistance is high, but if the lightning strikes a phase conductor, arrester damage is more likely if the grounding resistance is low, according to Reference [16]. In Japan, 6.6 kV distribution lines are protected from lightning strikes by surge arresters, as discussed in Reference [17]. However, damage by energy much greater than the withstand capability still occurs. Effective ways of decreasing the damage caused by surges include increasing the energy withstand capability of the surge arresters and fixed overhead grounding above the phase conductor.
A low-resistivity material, 2.5 Ω·m resistivity, was used in Reference [18] to cover the grounding conductor; this reduced the power-frequency grounding resistance in a region with high ground resistivity. In Reference [19], a long flashover arrester was installed between the conductor and the ground to protect the distribution line and to reduce the back-flashover rate in the event of a lightning strike. It was shown in Reference [20] that a surge arrester can be applied in severe areas to decrease the overvoltage by inducing the lightning overvoltage; however, overvoltage cannot be suppressed by surge arresters if there is a direct lightning strike. In this case, an overhead ground wire is the best option for protecting distribution lines in severe areas. It was indicated in Reference [21] that the ground resistance, the number of lightning strikes to the distribution line, and insulation withstand level are significant parameters for the improvement of the line performance. However, Rizk et al. [22] indicated that a lightning current traversing the cable sheath could cause a high electric field to occur when the ground resistance is low. In addition, the ground permittivity and lightning position will affect the electric field, and they found that the sheath current is dependent on the ground resistance. It was shown by Reference [23] that external surge arresters alone are insufficient to protect a gas-insulated substation. This study applied an internal surge arrester connected to a gas-insulated substation in order to reduce the high electrical stress placed on it. It was demonstrated in Reference [24] that reducing the soil resistivity and permittivity decreases the rate of power outages by 13–32% for usual distributions. A composite transmission line was applied by Reference [25]; the results showed that the best structure is a double-grounding conductor system, as flashover will not happen in this structure with either negative or positive lightning current. It was also found that the radius of the grounding conductors had little effect on improving lightning performance.
As highlighted above, lightning has been investigated as the main cause of supply disruption in overhead distribution lines. Many researchers have recommended various ways of improving the lightning performance of overhead distribution lines, and these are summarized in Table 1. The comparison of this study with similar work is shown in Table 2. When compared to similar studies, this one has added the results of grounding distance of overhead ground wire which affects the lightning performance of the distribution line system in case lightning strikes the middle or the end of the line. Furthermore, when lightning strikes the connecting point between the overhead line and the underground cables, we found that the longer underground cables lengths should be investigated more thoroughly when installing the lightning arrester at only the connection point.
The aim of this study was to evaluate several methods of decreasing the outage rate caused by lightning strikes directly to distribution lines. First, we considered the result of installing an overhead ground wire. Then, we investigated the effect of installing a surge arrester to reduce the voltage across the insulators and the energy absorption of the arrester, with different ground resistances, lightning current waveforms, lightning impact positions, and grounding distances of the overhead ground wire. The analysis and simulation were carried out using the Alternative Transients Program/Electromagnetic Transient Program (ATP/EMTP) [26,27]. The results in this study will help installation teams to evaluate the grounding system design used for the 24 kV distribution lines in Thailand. The rest of this paper is divided into three parts as: Section 2, data and model for analysis; Section 3, review the model for various sections of distribution lines in the simulation program, an explanation of the method and results of the analysis; and Section 4, discussion and conclusions.

2. Data and Model for Analysis

2.1. 24 kV Distribution Line Arrangement

The three-phase single-circuit [28], 50 Hz, 24 kV distribution lines in Thailand use 1 × 50 mm2 steel wire as external and overhead ground wires; the phase conductors are equipped with 3 × 185 mm2 space aerial cable. In this study, when the arresters were not installed, a single dead-end structure was used to analyze lightning strikes to the end of the distribution line, as in Figure 1a, and an angle support structure was used for the middle of the distribution line, as in Figure 1b. When the arresters were installed, single dead-end and double dead-end structures with arresters were used to analyze lightning strikes to the end and middle of the line, respectively—see Figure 1c,d. The concrete pole was 12 m high, and the ground rod was 16 mm in diameter and 2.4 m long.

2.2. Lightning Current Model

The International Council on Large Electric Systems (CIGRE) lightning current waveform was used with a CIGRE type15 current source. The impedance of the lightning strike channel was 400 Ω parallel to the current source [29,30,31,32]; normally, the time to halve the value, or the tail time, is stable at 77.5 μs. The front time of the lightning current can be calculated from Equations (1) and (2):
t f =   { 1.77 I 0.188 , 3   I   20   k A 0.906 I 0.411 ,   I   > 20   k A
S m = { 12 I 0.171 ,   3   I   20   k A 6.5 I 0.376 ,   I   > 20   k A
The lightning current waveform was a CIGRE concave shape, shown in Figure 2.

2.3. Surge Arrester Model

A surge arrester was installed between the earth and the phase conductor. It had high impedance (MΩ) in normal conditions, but low impedance during a lightning strike to the system; hence, the lightning current is transmitted to the earth. The arrester improves the performance of the distribution line if there is very high ground resistance or bad shielding protection.
The characteristics of the surge arrester are recommended by the Institute of Electrical and Electronics Engineers (IEEE) W.G. 3.4.11. [32]. The frequency-dependent model consists of the non-linear-resistors A0 and A1 forming an RLC filter, as shown in Figure 3.
The values of the resistors, inductors, and capacitors depend on the number of parallel columns of metal-oxide discs and the height of the arrester [33]; they are given by:
L1 = 15 d/n (μH), R1 = 65 d/n (Ω), L0 = 0.2 d/n (μH), R0 = 100 d/n (Ω), and C = 100 n/d (pF).
The values of A0 and A1 were given by the V-I characteristics as supplied by the manufacture and obtained from an 8/20 ms impulse that maintained the IEC standard discharge current wave shape. The arrester characteristics are shown in Table 3.

2.4. Ground Rod Model

The ground rod was simulated by a model that did not vary at high frequencies; its resistance is given in Equation (3) [33]:
R = ρ 2 π l ( l n 4 l a 1 )

2.5. External Ground Wire Model

Zinc-coated steel wire was applied as an external ground wire. Surge impedance is given by Equation (4) [34]:
Z T = 60 l n ( h e   x   r ) [ ( 0.09 r c + 13.95 )   x   l n ( 1 + r c D ) ]

2.6. Insulator Model

Insulators in the MEA’s 24 kV distribution line are used to fix and separate three-phase conductors [35,36]. A pin-post insulator is used for the middle line construction, and a suspension insulator is used for the terminal line construction, as shown in Figure 4. The model of the insulator instead of capacitance is approximately 100 pF [37].

3. Method and Results

3.1. Lightning Strike to the Middle and the End of the Line

3.1.1. Method

In Thailand, the 24-kV distribution line has a grounding distance of 200 m between the concrete poles. However, a widespread power outage can occur if lightning strikes the system in an area with very high ground resistance. In this study, we considered the effect of the ground resistance, grounding distance of the overhead ground wire, lightning wave shape, and lightning impact position on the voltage across the insulator, and the arrester energy discharge in the case of a lightning strike in the middle or at the end of the overhead ground wire or phase conductor. We aimed to provide guidelines for the designers of lightning protection. We considered five overhead ground wire grounding distances—40, 80, 120, 160, and 200 m, as shown in Figure 5.
The ATP/EMTP was used to analyze a direct lightning strike on the 24 kV distribution lines, as shown in Figure 6. The CIGRE type15 model was applied in this project using the insulator instead of capacitance. The parameters used for the design are shown in Table 4.

3.1.2. Results

When Surge Arresters Are Not Installed

(A) Voltage across the Insulator at Different Overhead Ground Wire Grounding Distances
(A.1) Strike to the Phase Conductor
A lightning strike to the phase conductor (in the case of a shielding failure) in the middle of the line is shown in Figure 1b and Figure 7a. The resulting voltage across the insulator is very high, approximately 4200 kV, given by Equations (5) and (6), and shown in Figure 8a [38].
e c , m i d d l e =   Z t o t a l I =   ( Z C x Z c Z c + Z c ) I
e 1 , m i d d l e =   e c , m i d d l e e g , m i d d l e = e c , m i d d l e ( I R   x   R )
The lightning strikes to the end of the phase conductor, represented in Figure 1a and Figure 7b, produce a voltage across the insulator of approximately 5800 kV, as shown in Figure 8b. The voltage across the insulator at the end of the phase conductor is larger than that in the middle because the total surge impedance at the end of the line is greater than it is in the middle of the line, as given in Equations (7) and (8) [38]:
e c , e n d =   Z t o t a l I = Z c   x   I
e 1 , e n d =   e c , e n d e g , e n d = e c , e n d ( I R   x   R )
In both cases, the voltage across the insulator is greater than the critical flashover of the insulator, which means that flashover of the insulator will occur. The ground resistance and the grounding distance of the overhead ground wire had a slight effect on the voltage across the insulator.
(A.2) Strike to the Overhead Ground Wire
A lightning strike to the overhead ground wire is illustrated in Figure 9a. A voltage builds up in the overhead ground wire until a travelling wave travels down to the bottom of the concrete pole, through external ground wire and in both directions along the overhead ground wire. The voltage is created by the strike current and the total impedance of the overhead ground wire and external ground wire, according to Equation (9):
V o v e r h e a d g r o u n d w i r e =   Z T   ( Z g 2 ) Z T   + ( Z g 2 ) I =   Z T     x   Z g Z g   +   2 Z T   I
Generally, travelling waves on a distribution line reach a discontinuity point, such as a change in the surge impedance, where the current and voltage are “reflected” back to their starting point, as shown in Figure 9b, as well as “transmitted” onward. The voltage across the insulator decreases with the grounding distance of the overhead wire and the ground resistance, for both the middle and end of the overhead ground wire; this is because of the lower ground resistance results in a negative reflected wave coefficient (Γ), (R < ZT). The negative reflected wave voltage (VR) then traveling backwards from the bottom of the top of the pole and subtracts the voltage at the top of the pole, as given by Equation (10); as a result, the voltage across the insulator is reduced, as given by Equation (11):
V R =   Γ . V o v e r h e a d g r o u n d w i r e =   R   Z T   R +   Z T   x   V o v e r h e a d g r o u n d w i r e
V a c r o s s i n s u l a t o r =   ( V o v e r h e a d g r o u n d w i r e V R ) V p h a s e
The grounding distance of the overhead ground wire has an effect because the reflection from other concrete poles can decrease the peak voltage at the concrete pole, which was struck before reaching the peak voltage. The narrow grounding distance of the overhead ground wire means that the reflected wave from the adjacent pole will arrive at the struck pole in time; the wave time can be estimated using Equation (12):
t =   2 S ν
Based on the results in Figure 10a, if we reduce the grounding distance of the overhead ground wire from 200 to 40 m, then the voltage across the sulator will be reduced from 1000 kV to 600 kV if the ground resistance is 50 Ω. Similarly, if the ground resistance is reduced from 50 to 1 Ω, then the voltage across the insulator will be reduced from 600 to 200 kV if the grounding distance of the overhead ground wire is 40 m. Therefore, we should install poles every 40 m to minimize the voltage across the insulator; however, some areas have high ground resistance, so adding a level of critical flashover for the insulator is required. For example, at 10 Ω (the average ground resistance in Thailand), the critical flashover of the insulator should be adding between 205 and 280 kV so that the distribution system can withstand a lightning strike to the pole. Similarly, based on Figure 10b, the critical flashover of the insulator should be adding between 305 kV and 320 kV.
(B) Effect of the Front and Tail Time of the Lightning Current Wave Shape on the Voltage across the Insulator
The effect of the lightning impact location on the front times of the lightning wave shape is shown in Figure 11a; the voltage across the insulator decreases as the front time of the lightning current increases. For example, if lightning strikes the phase conductor at the end of the line, then the front time increases from 2 to 4 μs, because the voltage across the insulator decreases from 8000 to 5000 kV. However, if lightning strikes the overhead ground wire, the front time of the lightning current wave shape has little effect on the voltage across the insulator, as shown in Figure 11b.
The tail time of the lightning current wave shape has a slight effect on the voltage across the insulator if lightning strikes either the overhead ground wire or the phase conductor, as shown in Figure 12.

When Surge Arresters are Installed

(A) Effect of Overhead Ground Wire Distance on the Voltage Across the Insulator
(A.1) Strike to the Phase Conductor
In the event of a lightning strike to phase conductor when arresters are installed, as shown in Figure 1c,d and Figure 13a, the voltage across the insulator will be approximately 92–96 kV or 115–135 kV in case of a strike to the middle or end of the phase conductor, respectively, as shown in Figure 14. The voltage across the insulator depends on the ground resistance, the voltage at the phase conductor, and the voltage at the overhead ground wire. The results show that the voltage across the insulator decreases as the ground resistance increases, following Equations (13) and (14) [38]; in addition, the narrow grounding distance of the overhead ground wire will cause the voltage across the insulator to decrease, as given by Equation (10).
The crest voltage at the phase conductor is given by
e c =   e g +   ( E 0 + I A R A ) = e g + E A ,   e g = I R   x   R
e 1 =   e c e g = e c ( I R   x   R )
(A.2) Strike to the Overhead Ground Wire
If lightning strikes the overhead ground wire when the arrester is installed as shown in Figure 1c,d and Figure 13b, then the voltage across the insulator will be approximately 40–75 kV or 43–78 kV in the case of a lightning strike to the middle or end of the overhead ground wire, respectively, as shown in Figure 15. The voltage across the insulator depends on the ground resistance, the voltage at phase conductor, and the voltage at overhead ground wire. If the ground resistance increases, then the voltage across the insulator also increases according to Equations (15) and (16) [38]. In addition, the narrow grounding distance of the overhead ground wire will cause the voltage across the insulator to decrease, following Equation (13).
The crest voltage of the overhead ground wire and phase conductor is given by
e g = I R   x   R ,     e c =   e g   ( E 0 + I A R A ) = e g E A
The voltage across the insulator is
e 1 =   e g e c = ( I R   x   R ) e c
Figure 14 and Figure 15 show that if lightning strikes either the phase conductor or overhead ground wire, then the voltage across the insulator will be 205 kV at the middle and 305 kV at the end, which is below the critical flashover of the insulator. When compared to the voltage across the insulator without the install arrester (Figure 8 and Figure 10), the voltage across the insulator is very high; this means that there is a high probability of a flashover of the insulator. Hence, we should install the arrester in order to increase the reliability of the distribution line system. However, the number of arresters and the distance between the arresters in each concrete pole must be considered.
(B) Effect of the Front and Tail Time of the Lightning Current Wave Shape on the Voltage across the Insulator
We consider the lightning current wave shape for various impact positions. If lightning strikes the phase conductor or overhead ground wire, then the voltage across the insulator does not change depending on the front and tail time of the lightning current wave shape, as shown in Figure 16 and Figure 17. The effects of the front and tail time are investigated with (Figure 11 and Figure 12) and without (Figure 16 and Figure 17) an arrester installed. The results show that changing the front time lightning current wave shape only affects the voltage across the insulator when an arrester is not installed, that is, the voltage across the insulator decreases as the front time of the lightning current increases. When an arrester is installed, there is no effect on the voltage across the insulator.
(C) Arrester Energy Discharge at Different Overhead Ground Wire Distances
The arrester energy discharge depends on the grounding distance of the overhead ground wire and the ground resistance value. This has been studied in case of a lightning strike to the phase conductor and overhead ground wire, as shown in Figure 18.
(C.1) Strike to the Phase Conductor
The simple arrester discharge energy equation is expressed by [38].
W A = 0 I A E A d t
From Equation (17), we see that the arrester energy depends on the discharge voltage (EA) and lightning current magnitude (I), and from Equation (13), we know that E A =   e c ( I R x R ) . Therefore, reducing the resistance of the ground rod (R) increases the discharge voltage (EA) and the current discharge (IA) through the struck arrester, increasing the energy discharge (WA).
Figure 19 shows that the energy absorbed by the arrester increases as the grounding distance of the overhead ground wire and ground resistance decrease; the energy absorbed at the end of the phase conductor is approximately 1.3 times that of the middle.
(C.2) Strike to the Overhead Ground Wire
The energy discharge can be estimated using the following equation [38]:
W A =   I A   x   E A   x   τ
Thus, we see that the arrester energy depends on the discharge voltage (EA) and the lightning current magnitude (I), and from Equation (15) we know that E A =   ( I R x R ) e c . Therefore, increasing the resistance of the ground rod (R) increases the discharge voltage (EA) and the current discharge (IA) through the struck arrester; the energy discharged (WA) when lightning strikes the ground wire also increases.
Figure 20 shows that the energy absorbed by the arrester increases when the grounding distance of the overhead ground wire and ground resistance increase; there is little difference in the energy absorbed at the end or in the middle of the overhead ground wire.
The ground resistance, the grounding distance of the overhead ground wire, and the location where a lightning strike impacts are important variables that affect the energy absorbed by an arrester. Figure 18b and Figure 20 show that an overhead ground wire is significant in reducing the arrester energy when the ground resistance is low (below 17 Ω) and that reducing the grounding distance of the overhead ground wire means that an arrester can withstand the current from a lightning strike. However, if a shielding failure occurs or lightning strikes the phase conductor, a shorter grounding distance of the overhead ground wire and a lower ground resistance will increase the probability of an arrester failure.
(D) Arrester Energy Discharge for Different Lightning Current Wave Shapes
The current wave shape for different impact points is shown in Figure 21. If lightning strikes the phase conductor, the front time of the lightning current wave shape has no effect on the arrester energy discharge. However, if lightning strikes the overhead ground wire, then the arresters are less stressed.
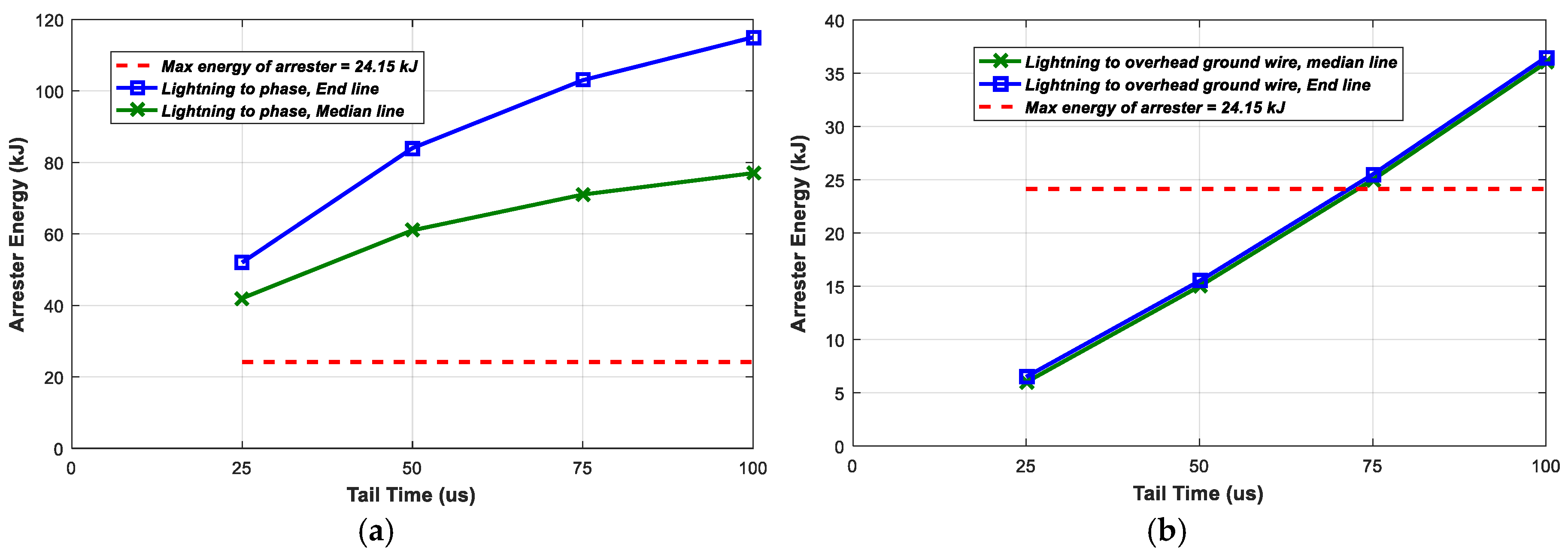
The tail time of the lightning current wave shape is an important parameter affecting the arrester energy discharge. As shown in Figure 22, if lightning strikes either the phase conductor or overhead ground wire, then the arrester energy discharge will increase as the tail time of the lightning current wave shape increases.
Figure 8, Figure 9, Figure 10, Figure 11, Figure 12, Figure 13, Figure 14, Figure 15, Figure 16, Figure 17, Figure 18, Figure 19, Figure 20, Figure 21 and Figure 22 show that the voltage across the insulator and the arrester energy may be sensitive to many factors, such as the ground resistance, grounding distance of the overhead ground wire, and the impact position and waveform of the lightning current. This is significant for the installation of lightning protection systems, which should be designed to optimize all of these factors. For example, it is important to know that if lightning strikes the phase conductor, then very low grounding resistance values can reduce the insulation flashover, but the surge arresters may fail because high discharged currents can flow through them easily when the grounding resistance is very low. It is also important to know that the end of the line should be considered specifically.

Average Critical Lightning Current and Back-Flashover Rate

Figure 1b shows the angle support structure used for the analysis of the critical lightning current and the back-flashover rate.
The average critical lightning current was obtained from the simulation using the ATP/EMTP; the result shows that the ground resistance and grounding distance of the overhead ground wire affect the critical lightning current. For example, when the grounding distance of the overhead grounding wire is 40 m, reducing the ground resistance from 50 to 1 Ω causes the average critical lightning current to increase from 10 to 107 kA. On the other hand, if the ground resistance is 1 Ω, then increasing the grounding distance from 40 to 200 m causes the average critical lightning current to decrease from 107 to 8 kA. It was found that, if the ground resistance is greater than 30 Ω, then the critical lightning current will be approximately equal to the average value for every grounding distance of the overhead ground wire. The critical lightning current close to the average is beneficial to the distribution line system because it is easier to withstand, as shown in Figure 23a.
The back-flashover rate was estimated in Reference [39], which showed that the ground resistance and grounding distance of the overhead ground wire affect the back-flashover rate. For example, when the grounding distance of overhead ground wire is 40 m, then increasing the ground resistance from 1 to 50 Ω will cause the back-flashover rate to increase from 0.7 to 15 flashes/100 km/year. On the other hand, if the ground resistance is 1 Ω, then increasing the grounding distance from 40 to 80 m will cause the back-flashover rate to increase from 0.7 to 8.5 flashes/100 km/year. We found that a ground resistance greater than 30 Ω resulted in a back-flashover rate of approximately 15 flashes/100 km/year at every grounding distance of the overhead ground wire, as shown in Figure 23b.

3.2. If Lightning Strikes Connection Point between Overhead Lines and Underground Cables

3.2.1. Method

This analysis shows the effect of a lightning strike to the connection point between the overhead lines and the underground cables. The average lightning current in Thailand is 40 kA injected into the connection point. The criterion is that, when lightning strikes at the connected point (point A), it causes overvoltage in the overhead line, underground cable, and 24 kV equipment. If this overvoltage is more than the basic impulse level of equipment (125 kV), it results in the electrical equipment, such as underground cable, potentially being damaged later. The system is shown in Figure 24.
The pole structure at point A, which is situated between the overhead distribution line and the underground cable, will use the 24 kV distribution system in Thailand, as shown in Figure 25, consisting of a 3-phase single-conductor cable (spaced aerial cable type) of 185 mm2 and an overhead line connected with 70, 240, or 400 mm2 underground cables by a connector called the terminator. The shield of the cable is connected to the ground wire outside the pole to the main ground rod system.
The underground cable is a 12/20 kV copper wire according to International Standard IEC 502. The line is a single core line, cross-linked polyethylene insulated (XLPE), copper wire screen, and polyethylene jacketed, which receives the maximum current of approximately 200, 400 and 600 amperes, respectively. The structure and conductor size are shown in Figure 26 and Table 5.

3.2.2. Results

The lightning arrester is used as a device to prevent lightning overvoltage to the connection point between overhead lines and underground cables. There are three scenarios in which this part can experience lightning overvoltage:
Scenario 1: Lightning arrester is not installed.
Scenario 2: Lightning arrester is installed at only the connection point between the overhead lines and the underground cables (point A).
Scenario 3: Lightning arrester is installed at both the connection point between the overhead line and the underground cables (point A) and also installed at the end of the underground cable (point B).

Scenario 1: Lightning Arrester is Not Installed

Figure 27, Figure 28, Figure 29, Figure 30, Figure 31, Figure 32 and Figure 33 can be summarized, as shown in Table 6. The results show that the system is not protected by the lightning arrester when the lightning strikes at the connection point (point A), causing the excess overvoltage that occurs at the connected points A and B (the end of the cables), which is greater than 125 kV (24 kV system’s insulation durability), and causes the underground cables and 24 kV equipment connected to them to be damaged.

Scenario 2: Protected with A Lightning Arrester, But Only at the Conjunction of the Overhead Line and Underground Cables (Point A)

Figure 34, Figure 35, Figure 36, Figure 37, Figure 38, Figure 39 and Figure 40 can be summarized, as shown in Table 7. The results show that the system is protected by lightning arrester at the connecter point (point A) in the case of a lightning strikes to the phase conductor causing overvoltage at the end of the cable (point B) of over 125 kV when the cable is longer than 400 m.

Scenario 3: Protection with A Lightning Arrester, Both at the Conjunction (Point A) and the End of Underground Cables (Point B)

Figure 41, Figure 42, Figure 43, Figure 44, Figure 45, Figure 46 and Figure 47 can be summarized, as shown in Table 8. The results show that the system is protected by lightning arrester at both the connected point (point A) and the end of the underground lines (point B), in the case of a lightning strikes to the phase conductor causing overvoltage throughout the cable of less than 125 kV.

4. Discussion

This study was designed to evaluate a direct lightning strike to the 24 kV distribution lines in Thailand by using overhead ground wire and surge arrester to protect the distribution line system. The aim of this study was to find ways to reduce the voltage across the insulator, the back-flashover rate, and the arrester energy discharge in order to reduce power outages on the 24 kV distribution line in Thailand. The ATP/EMTP was used for this project, and the following conclusions can be made.
  • The voltage across the insulator at the end of the line is greater than that in the middle of the line. For this reason, the end of the line should be specially protected by the lightning protection team. For example, an overhead ground wire should be installed above the structure, or a surge arrester should be applied at the end of the line.
  • The ground resistance and the grounding distance of overhead ground wire are significant variables for decreasing the back-flashover rate and power outage rates resulting from lightning strikes to the overhead ground wire. However, in areas where the ground resistance is high, the team should request to add the critical flashover of the insulator.
  • If installing surge arresters would make the voltage across the insulator lower than the critical flashover of the electrical insulator, then a small grounding distance of the overhead ground wire and a lower ground resistance are not always desirable. This is because they reduce the voltage across the insulator and the back-flashover rate if lightning strikes the overhead ground wire. However, if lightning strikes the phase conductor, then the absorbed arrester energy will increase, and there is the possibility that the arrester will fail.
  • The tail time is significant when considering the absorbed arrester energy, whereas the front time is important when the focus is on the voltage across the insulator.
  • This research can be applied to the design of the grounding system standard in order to improve the grounding system design of the 24 kV distribution lines in Thailand.
  • The lightning strikes directly to the connection point between overhead line and underground cable cause overvoltage at the connection and the end of the underground cable of over 125 kV (basic impulse level of the 24 kV system). Furthermore, when the system is protected with only a lightning arrester at the connection point, it results in overvoltage of lower than 125 kV, but at the end of the cable, it is still greater than 125 kV when the cable is longer than 400 m. Fortunately, we also found that the system is protected with lightning arrester at the connection point and the end of the cable resulting in overvoltage throughout the cable is lower than the basic impulse level of insulation of 125 kV.
  • The position of lightning current is investigated, such as the middle of the line, the end of the line and the connected point between overhead line and underground cables. The ATP/EMTP was used to find the results and compared to reliable equations. The ground resistance value at each pole was varied at 1–50 Ω; however, when the lightning strikes the system, then the grounding resistance may be slightly decreased. The span of the surge arrester was not considered in this paper.
  • Future work will consider a verifiable comparison between the ATP/EMTP and reliable equations, and the span of the surge arrester should be tested in more detail to produce a more effective insulation design.

Author Contributions

Conceptualization, P.S. and A.N.; methodology, A.N.; software, P.S.; validation, P.S. and A.N.; formal analysis, P.S.; investigation, P.S.; resources, P.S.; data curation, A.N.; writing—original draft preparation, P.S.; writing—review and editing, A.N.; supervision, A.N.

Funding

This research received no external funding.

Conflicts of Interest

The authors declare no conflict of interest.

Abbreviations

Ddistance between the surface of the pole and external ground wire (m).
dheight of the arrester (m) as given in the data sheet.
E0internal discharge voltage of the arrester (kV).
EAarrester discharge voltage (kV).
ebase natural log = 2.71828.
e1voltage across the insulator (kV).
e1,endvoltage across the insulator at the end of the phase (kV).
e1,middlevoltage across the insulator in the middle of the phase (kV).
ecvoltage in the phase conductor (kV).
ec,endvoltage in the phase conductor at the end of the phase (kV).
ec,middlevoltage in the phase conductor in the middle of the phase (kV).
egvoltage in the overhead ground wire (kV).
eg,endvoltage in the overhead ground wire (kV).
eg,middlevoltage in the overhead ground wire (kV).
hlength of conductors (m).
Ilightning current crest (kA).
IAarrester current (kA).
IRcurrent through the ground resistance (kA).
llength of the ground rod (m).
nnumber of parallel columns of metal oxide in the arrester.
ρresistivity of the soil (Ω·m).
rradius of the conductor (m).
rcradius of the concrete pole (m).
VRreflected wave voltage (kV).
Vacross-insulatorvoltage across the insulator.
Voverhead-ground-wirevoltage at the overhead ground wire (kV).
Vphasevoltage in the phase conductor (kV).
Rresistance of the ground rod (Ω).
Sgrounding distance of the overhead ground wire (m).
Smmaximum steepness (kA/μs).
twave time (µs).
tffront time (μs).
Γreflection coefficient.
τa time constant (µs).
νvelocity of the wave (300 m/µs).
WAarrester energy (kJ).
Zcsurge impedance of the phase conductor.
Zgoverhead ground wire surge impedance.
ZTsurge impedance of the external ground wire (Ω).
Ztotaltotal surge impedance at the end of the phase (kΩ).

References

  1. He, J.; Wang, X.; Yu, Z.; Zeng, R. Statistical Analysis on Lightning Performance of Transmission Lines in Several Regions of China. IEEE Trans. Power Deliv. 2015, 30, 1543–1551. [Google Scholar] [CrossRef]
  2. Rahiminejad, A.; Vahidi, B. LPM-Based Shielding Performance Analysis of High-Voltage Substations Against Direct Lightning Strokes. IEEE Trans. Power Deliv. 2017, 32, 2218–2227. [Google Scholar] [CrossRef]
  3. Wang, J.; Liu, J.; Wu, G.; Liu, Q.; Guo, W. Research and application of jet stream arc-quenching lightning protection gap (JSALPG) for transmission lines. IEEE Trans. Dielectr. Electr. Insul. 2015, 22, 782–788. [Google Scholar] [CrossRef]
  4. Statistics Department, Metropolitan Electricity Authority (MEA). Electrical Power Failures; Metropolitan Electricity Authority: Bangkok, Thailand, 2016. [Google Scholar]
  5. Omidiora, M.; Lehtonen, M. Mitigation of Lightning Flashover from Tree to Medium Voltage Aerial Cable Using Shield Wire. IEEE Trans. Power Deliv. 2017, 32, 1924–1934. [Google Scholar] [CrossRef]
  6. Paulino, J.O.S.; Barbosa, C.F.; Lopes, I.J.S.; Boaventura, W.D.C.; Miranda, G.C.D. Indirect Lightning Performance of Aerial Distribution Lines Considering the Induced-Voltage Waveform. IEEE Trans. Electromagn. Compat. 2015, 57, 1123–1131. [Google Scholar] [CrossRef]
  7. Grčić, B.F.; Franc, B.; Uglešić, I.; Betz, H.D. Lightning overvoltage protection of combined overhead line and underground cable distribution network. In Proceedings of the CIGRE International Colloquium on Lightning and Power Systems, Bologna, Italy, 27–29 June 2016. [Google Scholar]
  8. Christodoulou, C.A.; Kontargyri, V.T.; Kyritsis, A.C.; Damianaki, K.; Papanikolaou, N.P.; Gonos, I.F. Lightning Performance Study for Photovoltaic Systems. In Proceedings of the 19th International Symposium on High Voltage Engineering, Pilsen, Czech Republic, 23–28 August 2015. [Google Scholar]
  9. Mikropoulos, P.N.; Tsovilis, T.E. Estimation of the shielding performance of overhead transmission lines: The effects of lightning attachment model and lightning crest current distribution. IEEE Trans. Dielectr. Electr. Insul. 2012, 19, 2155–2164. [Google Scholar] [CrossRef]
  10. Bunjongjit, S.; Ngaopitakkul, A. Relation of Influential Parameters to Back-Flashover on the Insulators in Transmission Tower. Int. Rev. Electr. Eng. 2015, 10, 244–256. [Google Scholar] [CrossRef]
  11. Miyazaki, T.; Okabe, S. Experimental Investigation to Calculate the Lightning Outage Rate of a Distribution System. IEEE Trans. Power Deliv. 2010, 25, 2913–2922. [Google Scholar] [CrossRef]
  12. Gatta, F.M.; Geri, A.; Lauria, S.; Maccioni, M.; Palone, F. Tower Grounding Improvement Versus Line Surge Arresters: Comparison of Remedial Measures for High-BFOR Subtransmission Lines. IEEE Trans. Ind. Appl. 2015, 51, 4952–4960. [Google Scholar] [CrossRef]
  13. Chen, J.; Zhu, M. Calculation of Lightning Flashover Rates of Overhead Distribution Lines Considering Direct and Indirect Strokes. IEEE Trans. Electromagn. Compat. 2014, 56, 668–674. [Google Scholar] [CrossRef]
  14. Wang, J.; Wu, D. Development of an arc-extinguishing lightning protection gap for 35 kV overhead power lines. IET Gener. Transm. Distrib. 2017, 11, 2897–2901. [Google Scholar] [CrossRef]
  15. Christodoulou, C.A.; Ekonomou, L.; Papanikolaou, N.; Gonos, I.F. Effect of the grounding resistance to the behaviour of high-voltage transmission lines’ surge arresters. IET Sci. Meas. Technol. 2014, 8, 470–478. [Google Scholar] [CrossRef]
  16. Savic, M.S.; Savic, A.M. Substation Lightning Performance Estimation Due to Strikes Into Connected Overhead Lines. IEEE Trans. Power Deliv. 2015, 30, 1752–1760. [Google Scholar] [CrossRef]
  17. Nakada, K.; Yokota, T.; Yokoyama, S.; Asakawa, A.; Nakamura, M.; Taniguchi, H.; Hashimoto, A. Energy absorption of surge arresters on power distribution lines due to direct lightning strokes-effects of an overhead ground wire and installation position of surge arresters. IEEE Trans. Power Deliv. 1997, 12, 1779–1785. [Google Scholar] [CrossRef]
  18. Tu, Y.; He, J.; Zeng, R. Lightning impulse performances of grounding devices covered with low-resistivity materials. IEEE Trans. Power Deliv. 2006, 21, 1706–1713. [Google Scholar] [CrossRef]
  19. Podporkin, G.V.; Sivaev, A.D. Lightning protection of distribution lines by long flashover arresters (LFA). IEEE Trans. Power Deliv. 1998, 13, 814–823. [Google Scholar] [CrossRef]
  20. Omidiora, M.A.; Lehtonen, M. Simulation of Combined Shield Wire and MOV Protection on Distribution Lines in Severe Lightning Areas. In Proceedings of the World Congress on Engineering and Computer Science 2007, San Francisco, CA, USA, 24–26 October 2007. [Google Scholar]
  21. Visacro, S.; Silveira, F.H. Lightning Performance of Transmission Lines: Methodology to Design Grounding Electrodes to Ensure an Expected Outage Rate. IEEE Trans. Power Deliv. 2015, 30, 237–245. [Google Scholar] [CrossRef]
  22. Rizk, M.E.M.; Mahmood, F.; Lehtonen, M.; Badran, E.A.; Abdel-Rahman, M.H. Investigation of Lightning Electromagnetic Fields on Underground Cables in Wind Farms. IEEE Trans. Electromagn. Compat. 2016, 58, 143–152. [Google Scholar] [CrossRef]
  23. Goll, F.; Witzmann, R. Lightning Protection of 500-kV DC Gas-Insulated Lines (GIL) With Integrated Surge Arresters. IEEE Trans. Power Deliv. 2015, 30, 1602–1610. [Google Scholar] [CrossRef]
  24. Visacro, S.; Silveira, F.H. The Impact of the Frequency Dependence of Soil Parameters on the Lightning Performance of Transmission Lines. IEEE Trans. Electromagn. Compat. 2015, 57, 434–441. [Google Scholar] [CrossRef]
  25. Huangfu, Y.; Wang, S.; Tao, X. Transient Lightning Impulse Performance Analysis for Composite Transmission Line Tower. IEEE Trans. Electromagn. Compat. 2015, 57, 1103–1111. [Google Scholar] [CrossRef]
  26. Canadian-American EMTP Users Group. ATP Rule Book; Canadian-American EMTP Users Group: West Linn, OR, USA, 1997. [Google Scholar]
  27. Dommel, H.W. Electromagnetic Transients Program Reference Manual: (EMTP) Theory Book; Bonneville Power Administration: Portland, OR, USA, 1986.
  28. Power System Planning Department, Standard Section, Metropolitan Electricity Authority (MEA), Thailand. MEA Overhead Distribution Construction Standards; Metropolitan Electricity Authority: Bangkok, Thailand, 2019. [Google Scholar]
  29. CIGRE Working Group 33.01. Guide to Procedures for Estimating the Lightning Performance of Transmission Lines; CIGRE: Paris, France, 1991. [Google Scholar]
  30. Ametani, A.; Kawamura, T. A method of a lightning surge analysis recommended in Japan using EMTP. IEEE Trans. Power Deliv. 2005, 20, 867–875. [Google Scholar] [CrossRef]
  31. Bewley, L.V. Traveling Waves on Transmission Systems, 2nd ed.; Dover Publications, Inc.: New York, NY, USA, 1963; ISBN 0-4866-1104-3. [Google Scholar]
  32. Martinez, J.A.; Durbak, D.W. Parameter determination for modeling systems transients-Part V: Surge arresters. IEEE Trans. Power Deliv. 2005, 20, 2073–2078. [Google Scholar] [CrossRef]
  33. IEEE. IEEE Recommended Practice for Grounding of Industrial and Commercial Power Systems, IEEE Std 142-2007; Revision of IEEE Std 142-1991; IEEE: Piscataway, NJ, USA, 2007; pp. 1–225. [Google Scholar]
  34. Mozumi, T.; Nagaoka, N.; Ametani, A.; Sekioka, S. An Empirical formula for the Surge Impedance of a grounding conductor along a Reinforce concrete pole in a distribution Line. In Proceedings of the International Conference on Power System Transients, Rio de Janeiro, Brazil, 24–28 June 2001. [Google Scholar]
  35. Thai Industrial Standards Institute. TIS.1251-1994. Pin Post Insulator Type 56/57-2; Thai Industrial Standards Institute: Bangkok, Thailand, 1994.
  36. Thai Industrial Standards Institute. TIS.354-1985. Suspension Insulator Type 52-2; Thai Industrial Standards Institute: Bangkok, Thailand, 1985.
  37. IEEE Modeling and Analysis of System Transients Working Group. Modeling guidelines for fast front transients. IEEE Trans. Power Deliv. 1996, 11, 493–506. [Google Scholar] [CrossRef]
  38. Hileman, A.R. Insulation Coordination for Power System, 1st ed.; Marcel Dekker, Inc.: New York, NY, USA, 1999; ISBN 0-8247-9957-7. [Google Scholar]
  39. Sestasombut, P.; Ngaopitakkul, A. Lightning protection of MEA’s 24 kV distribution lines using overhead ground wires. In Proceedings of the 2017 IEEE Innovative Smart Grid Technologies-Asia (ISGT-Asia), Auckland, New Zealand, 4–7 December 2017; pp. 1–5. [Google Scholar]
Figure 1. Distribution line system arrangement used for analysis; (a) Single dead-end structure (end of the line); (b) Angle support structure (middle of the line); (c) Single dead-end structure with arrester (end of the line); (d) Double dead-end structure with arrester (middle of the line).
Figure 1. Distribution line system arrangement used for analysis; (a) Single dead-end structure (end of the line); (b) Angle support structure (middle of the line); (c) Single dead-end structure with arrester (end of the line); (d) Double dead-end structure with arrester (middle of the line).
Energies 12 03193 g001
Figure 2. International Council on Large Electric Systems (CIGRE) concave shape of the lightning current waveform.
Figure 2. International Council on Large Electric Systems (CIGRE) concave shape of the lightning current waveform.
Energies 12 03193 g002
Figure 3. Institute of Electrical and Electronics Engineers’ (IEEE) frequency-dependent model surge arrester.
Figure 3. Institute of Electrical and Electronics Engineers’ (IEEE) frequency-dependent model surge arrester.
Energies 12 03193 g003
Figure 4. Electrical insulators used in the Metropolitan Electricity Authority’s (MEA) 24 kV distribution line; (a) Pin-post insulator for the middle of the line; (b) Suspension insulator for the end of the line.
Figure 4. Electrical insulators used in the Metropolitan Electricity Authority’s (MEA) 24 kV distribution line; (a) Pin-post insulator for the middle of the line; (b) Suspension insulator for the end of the line.
Energies 12 03193 g004
Figure 5. Different grounding distance of overhead ground wire.
Figure 5. Different grounding distance of overhead ground wire.
Energies 12 03193 g005
Figure 6. Simulation model in the Alternative Transients Program/Electromagnetic Transients Program (ATP/EMTP).
Figure 6. Simulation model in the Alternative Transients Program/Electromagnetic Transients Program (ATP/EMTP).
Energies 12 03193 g006
Figure 7. Result of a lightning strike to the phase conductor; (a) Strike to the phase conductor (middle); (b) Strike to the phase conductor (end).
Figure 7. Result of a lightning strike to the phase conductor; (a) Strike to the phase conductor (middle); (b) Strike to the phase conductor (end).
Energies 12 03193 g007
Figure 8. Voltage across the insulator following a lightning strike to the phase conductor (lightning current wave shape = 4.12/77.5 μs, lightning current = 40 kA); (a) Strike to the middle of the phase conductor; (b) Strike to the end of the phase conductor.
Figure 8. Voltage across the insulator following a lightning strike to the phase conductor (lightning current wave shape = 4.12/77.5 μs, lightning current = 40 kA); (a) Strike to the middle of the phase conductor; (b) Strike to the end of the phase conductor.
Energies 12 03193 g008
Figure 9. Result of a lightning strike to the overhead ground wire; (a) Strike to the overhead ground wire; (b) Reflected wave voltage.
Figure 9. Result of a lightning strike to the overhead ground wire; (a) Strike to the overhead ground wire; (b) Reflected wave voltage.
Energies 12 03193 g009
Figure 10. Voltage across the insulator resulting from a lightning strike to the overhead ground wire (lightning current wave shape = 4.12/77.5 μs, lightning current = 40 kA); (a) Strike to the middle of the overhead ground wire; (b) Strike to the end of the overhead ground wire.
Figure 10. Voltage across the insulator resulting from a lightning strike to the overhead ground wire (lightning current wave shape = 4.12/77.5 μs, lightning current = 40 kA); (a) Strike to the middle of the overhead ground wire; (b) Strike to the end of the overhead ground wire.
Energies 12 03193 g010
Figure 11. Voltage across the insulator for different front time lightning current wave shapes (grounding distance of overhead ground wire = 200 m, lightning current = 40 kA, ground resistance = 10 Ω, tail time = 77.5 μs); (a) Strike to the phase conductor; (b) Strike to the overhead ground wire.
Figure 11. Voltage across the insulator for different front time lightning current wave shapes (grounding distance of overhead ground wire = 200 m, lightning current = 40 kA, ground resistance = 10 Ω, tail time = 77.5 μs); (a) Strike to the phase conductor; (b) Strike to the overhead ground wire.
Energies 12 03193 g011
Figure 12. Voltage across the insulator for different tail time lightning current wave shapes (grounding distance of overhead ground wire = 200 m, lightning current = 40 kA, ground resistance = 10 Ω, front time = 4.12 μs); (a) Strike to the phase conductor; (b) Strike to the overhead ground wire.
Figure 12. Voltage across the insulator for different tail time lightning current wave shapes (grounding distance of overhead ground wire = 200 m, lightning current = 40 kA, ground resistance = 10 Ω, front time = 4.12 μs); (a) Strike to the phase conductor; (b) Strike to the overhead ground wire.
Energies 12 03193 g012
Figure 13. Result of a lightning strike to the phase conductor and overhead ground wire when the arrester is installed; (a) Strike to the phase conductor; (b) Strike to the overhead ground wire.
Figure 13. Result of a lightning strike to the phase conductor and overhead ground wire when the arrester is installed; (a) Strike to the phase conductor; (b) Strike to the overhead ground wire.
Energies 12 03193 g013
Figure 14. Voltage across the insulator as a result of a lightning strike to the phase conductor (lightning current wave shape = 4.12/77.5 μs, lightning current = 40 kA); (a) Strike to the middle of the phase conductor; (b) Strike to the end of the phase conductor.
Figure 14. Voltage across the insulator as a result of a lightning strike to the phase conductor (lightning current wave shape = 4.12/77.5 μs, lightning current = 40 kA); (a) Strike to the middle of the phase conductor; (b) Strike to the end of the phase conductor.
Energies 12 03193 g014
Figure 15. Voltage across the insulator in case of a lightning strike to the overhead ground wire (lightning current wave shape = 4.12/77.5 μs, lightning current = 40 kA); (a) Strike to the middle of the overhead ground wire; (b) Strike to the end of the phase conductor.
Figure 15. Voltage across the insulator in case of a lightning strike to the overhead ground wire (lightning current wave shape = 4.12/77.5 μs, lightning current = 40 kA); (a) Strike to the middle of the overhead ground wire; (b) Strike to the end of the phase conductor.
Energies 12 03193 g015
Figure 16. Voltage across the insulator for different front time lightning current wave shapes (grounding distance of overhead ground wire = 200 m, ground resistance = 10 Ω, tail time = 77.5 μs); (a) Strike to the phase conductor; (b) Strike to the overhead ground wire.
Figure 16. Voltage across the insulator for different front time lightning current wave shapes (grounding distance of overhead ground wire = 200 m, ground resistance = 10 Ω, tail time = 77.5 μs); (a) Strike to the phase conductor; (b) Strike to the overhead ground wire.
Energies 12 03193 g016
Figure 17. Voltage across the insulator for different tail time lightning current wave shapes (grounding distance of overhead ground wire = 200 m, ground resistance = 10 Ω, front time = 4.12 μs); (a) Strike to the phase conductor; (b) Strike to the overhead ground wire.
Figure 17. Voltage across the insulator for different tail time lightning current wave shapes (grounding distance of overhead ground wire = 200 m, ground resistance = 10 Ω, front time = 4.12 μs); (a) Strike to the phase conductor; (b) Strike to the overhead ground wire.
Energies 12 03193 g017
Figure 18. Result of a lightning strike to the phase conductor and overhead ground wire when an arrester is installed; (a) Strike to the phase conductor; (b) Strike to the overhead ground wire.
Figure 18. Result of a lightning strike to the phase conductor and overhead ground wire when an arrester is installed; (a) Strike to the phase conductor; (b) Strike to the overhead ground wire.
Energies 12 03193 g018
Figure 19. Arrester energy discharge in the case of a lightning strike to the phase conductor (lightning current wave shape = 4.12/77.5 μs, lightning current = 40 kA); (a) Strike to the middle of phase conductor; (b) Strike to the end of the phase conductor.
Figure 19. Arrester energy discharge in the case of a lightning strike to the phase conductor (lightning current wave shape = 4.12/77.5 μs, lightning current = 40 kA); (a) Strike to the middle of phase conductor; (b) Strike to the end of the phase conductor.
Energies 12 03193 g019
Figure 20. Arrester energy discharge in the case of a lightning strike to the overhead ground wire (lightning current wave shape = 4.12/77.5 μs, lightning current = 40 kA); (a) Strike to the middle of the overhead ground wire; (b) Strike to the end of the overhead ground wire.
Figure 20. Arrester energy discharge in the case of a lightning strike to the overhead ground wire (lightning current wave shape = 4.12/77.5 μs, lightning current = 40 kA); (a) Strike to the middle of the overhead ground wire; (b) Strike to the end of the overhead ground wire.
Energies 12 03193 g020
Figure 21. Arrester energy discharge against front time lightning current waveforms (tail time = 77.5 μs, lightning current = 40 kA, 200 m grounding distance of the overhead ground wire and 10 Ω ground resistance); (a) Strike to the phase conductor; (b) Strike to the overhead ground wire.
Figure 21. Arrester energy discharge against front time lightning current waveforms (tail time = 77.5 μs, lightning current = 40 kA, 200 m grounding distance of the overhead ground wire and 10 Ω ground resistance); (a) Strike to the phase conductor; (b) Strike to the overhead ground wire.
Energies 12 03193 g021
Figure 22. Arrester energy discharge against tail time lightning current wave shapes (front time = 4.12 μs, lightning current = 40 kA, 200 m grounding distance of the overhead ground wire, 10 Ω ground resistance); (a) Strike to the phase conductor; (b) Strike to the overhead ground wire.
Figure 22. Arrester energy discharge against tail time lightning current wave shapes (front time = 4.12 μs, lightning current = 40 kA, 200 m grounding distance of the overhead ground wire, 10 Ω ground resistance); (a) Strike to the phase conductor; (b) Strike to the overhead ground wire.
Energies 12 03193 g022
Figure 23. Critical lightning current and the back-flashover rate (lightning current waveform = 4.12/77.5 μs); (a) Critical lightning current; (b) Back-flashover rate.
Figure 23. Critical lightning current and the back-flashover rate (lightning current waveform = 4.12/77.5 μs); (a) Critical lightning current; (b) Back-flashover rate.
Energies 12 03193 g023
Figure 24. The 24 kV distribution line system.
Figure 24. The 24 kV distribution line system.
Energies 12 03193 g024
Figure 25. Pole structure at point A that is situated between the overhead distribution line and the underground cable.
Figure 25. Pole structure at point A that is situated between the overhead distribution line and the underground cable.
Energies 12 03193 g025
Figure 26. The 24 kV cross-linked polyethylene (XLPE) underground cable structure.
Figure 26. The 24 kV cross-linked polyethylene (XLPE) underground cable structure.
Energies 12 03193 g026
Figure 27. System not protected by lightning arrester.
Figure 27. System not protected by lightning arrester.
Energies 12 03193 g027
Figure 28. A 100 m underground cable.
Figure 28. A 100 m underground cable.
Energies 12 03193 g028
Figure 29. A 200 m underground cable.
Figure 29. A 200 m underground cable.
Energies 12 03193 g029
Figure 30. A 300 m underground cable.
Figure 30. A 300 m underground cable.
Energies 12 03193 g030
Figure 31. A 400 m underground cable.
Figure 31. A 400 m underground cable.
Energies 12 03193 g031
Figure 32. A 500 m underground cable.
Figure 32. A 500 m underground cable.
Energies 12 03193 g032
Figure 33. A 600 m underground cable.
Figure 33. A 600 m underground cable.
Energies 12 03193 g033
Figure 34. System is protected by lightning arrester at the conjunction of overhead line and underground cables.
Figure 34. System is protected by lightning arrester at the conjunction of overhead line and underground cables.
Energies 12 03193 g034
Figure 35. A 100 m underground cable.
Figure 35. A 100 m underground cable.
Energies 12 03193 g035
Figure 36. A 200 m underground cable.
Figure 36. A 200 m underground cable.
Energies 12 03193 g036
Figure 37. A 300 m underground cable.
Figure 37. A 300 m underground cable.
Energies 12 03193 g037
Figure 38. A 400 m underground cable.
Figure 38. A 400 m underground cable.
Energies 12 03193 g038
Figure 39. A 500 m underground cable.
Figure 39. A 500 m underground cable.
Energies 12 03193 g039
Figure 40. A 600 m underground cable.
Figure 40. A 600 m underground cable.
Energies 12 03193 g040
Figure 41. Protection with lightning arrester both at conjunction and the end of underground cables.
Figure 41. Protection with lightning arrester both at conjunction and the end of underground cables.
Energies 12 03193 g041
Figure 42. A 100 m underground cable.
Figure 42. A 100 m underground cable.
Energies 12 03193 g042
Figure 43. A 200 m underground cable.
Figure 43. A 200 m underground cable.
Energies 12 03193 g043
Figure 44. A 300 m underground cable.
Figure 44. A 300 m underground cable.
Energies 12 03193 g044
Figure 45. A 400 m underground cable.
Figure 45. A 400 m underground cable.
Energies 12 03193 g045
Figure 46. A 500 m underground cable.
Figure 46. A 500 m underground cable.
Energies 12 03193 g046
Figure 47. A 600 m underground cable.
Figure 47. A 600 m underground cable.
Energies 12 03193 g047
Table 1. Systems of protection for distribution lines.
Table 1. Systems of protection for distribution lines.
MethodAdvantagesDisadvantages
Using shielding wire above the cable to intercept the lightning [5]Easy to install and not expensiveRelies on designs with low ground resistance
Adding vertical rods [12]Not expensiveHard to install, a slight decrease in ground resistance
Install surge arrester [14,17]The best option for reducing the back-flashover and outage rateExpensive, arrester may fail in cases with low ground resistance
Using the low-resistivity material covering the grounding conductor [18] Decrease the power-frequency grounding resistance A slight decrease in ground resistance
Using a composite transmission line tower by double grounding the conductor system [25]Flashover will not happen for negative or positive injected lightning currentHard to install, expensive
Table 2. Comparison of this study with similar work.
Table 2. Comparison of this study with similar work.
This StudySimilar Work
This paper evaluates the effect of a lightning strike directly to the 24 kV distribution lines in Thailand. The analysis shows that:
(1).
When surge arresters are not installed, the voltage across the insulator at the end of the line is approximately 1.4 times that in the middle of the line;
(2).
The ground resistance and grounding distance of the overhead ground wire affect the voltage across the insulator if the overhead ground wire is struck;
(3).
When surge arresters are installed, a shorter grounding distance of the overhead ground wire and a lower ground resistance are not always desirable; this is because they reduce the back-flashover rate and the voltage across the insulator if lightning strikes the overhead ground wire. However, lightning strikes to the phase conductor result in high arrester energy and the possibility that the arrester will fail;
(4).
The tail time of the lightning waveform is a significant variable when considering the energy absorbed by the arrester, whereas the front time is important for the voltage across the insulator;
(5).
In the case where lightning directly strikes the connecting point between the overhead lines and the underground cables, the distribution line system is protected only by the lightning arrester at the connection point. The overvoltage the connection point is lower than the basic impulse level at 24 kV of 125 kV, but the overvoltage at the end of the cable is still more than 125 kV when the cable is longer than 400 m. When the distribution line system is protected by lightning arrester at both the connection point and the end of the cable, overvoltage throughout the cable is lower than the critical flashover of insulation. This method is the best way to reduce the failure rate of underground cables and equipment that are connected to the distribution line system.
Reference [17] describes the effect of overhead ground wire and the influence of the installation location of the surge protection device on energy absorption, due to a direct lightning strike on the 6.6 kV distribution line. The analysis shows that:
(1).
The overhead ground is more effective in preventing damage to the surge arrester than increasing the surge arrester’s ability to withstand damage;
(2).
The energy absorption without an overhead ground wire is about 3–5 times larger than that with one;
(3).
In case lightning strikes directly to the overhead ground, the energy absorption of the surge protection device installed at the end of the line will be increased to approximately 2.3 times that of the arresters installed at the middle of the line;
(4).
Grčić et al. [7] deal with lightning overvoltage in a mixture of overhead line and underground cable distribution network supplying an industrial consumer with a 35 kV distribution line;
(5).
The open end of the cable was considered in simulations as the most unfavorable, and optimal overvoltage protection was selected, including the installation of surge arresters at both cable ends, which significantly improved the overvoltage protection of the cable.
Table 3. Arrester characteristics.
Table 3. Arrester characteristics.
CharacteristicsData
Maximum continuous operating voltage (kVrms)17
Nominal voltage (kV)21
Energy absorption (kJ/kV)1.15
Voltage (kV) for 5 kA, 8/20 μs70
No. of parallel columns of discs1
Length of arrester column (m)0.315
Table 4. Parameters used for the design.
Table 4. Parameters used for the design.
DescriptionData
Lightning currentPeak value40 kA
Time-to-half value77.5 μs
Time-to-crest value 0.936 I 0.411 = 4.12 μs
Conductor (single)Outside diameter16 mm
Direct current resistance0.2 Ω/km
Overhead ground wireOutside diameter7.93 mm
Direct current resistance4.7 Ω/km
External ground wireOutside diameter7.93 mm
Impedance (Zt)408 Ω
Speed of lightning wave300 m/μs
Concrete poleSpan of pole40 m
Height 12 m
Single ground rodDiameter of ground rod16 mm
Length of ground rod2.4 m
Ground resistance (R)1–50 Ω
Table 5. Conductor size of the 24 kV XLPE underground cable.
Table 5. Conductor size of the 24 kV XLPE underground cable.
Size (mm2)70240400
Conductor diameter (mm)9.73 ± 1%18.47 ± 1%23.39 ± 1%
Diameter over insulator (mm)21.7–23.930.5–33.435.4–38.9
Overall diameter (mm)28.0–30.039.7–42.444.5–48.0
Table 6. Maximum overvoltage (kV) at points A and B, where the current of the lightning strike to point A is 40 kA.
Table 6. Maximum overvoltage (kV) at points A and B, where the current of the lightning strike to point A is 40 kA.
Length of Underground Cables
100 m200 m300 m400 m500 m600 m
Point APoint BPoint APoint BPoint APoint BPoint APoint BPoint APoint BPoint APoint B
259274231246222255204250195255189240
Table 7. Maximum overvoltage (kV) at point A and B, where the current of the lightning strike to point A is 40 kA.
Table 7. Maximum overvoltage (kV) at point A and B, where the current of the lightning strike to point A is 40 kA.
Length of Underground Cables
100 m200 m300 m400 m500 m600 m
Point APoint BPoint APoint BPoint APoint BPoint APoint BPoint APoint BPoint APoint B
961019611098120981269813098132
Table 8. Maximum overvoltage (kV) at point A and B, where the current of the lightning strike to point A is 40 kA.
Table 8. Maximum overvoltage (kV) at point A and B, where the current of the lightning strike to point A is 40 kA.
Length of Underground Cables
100 m200 m300 m400 m500 m600 m
Point APoint BPoint APoint BPoint APoint BPoint APoint BPoint APoint BPoint APoint B
808081788177817781788280

Share and Cite

MDPI and ACS Style

Sestasombut, P.; Ngaopitakkul, A. Evaluation of a Direct Lightning Strike to the 24 kV Distribution Lines in Thailand. Energies 2019, 12, 3193. https://doi.org/10.3390/en12163193

AMA Style

Sestasombut P, Ngaopitakkul A. Evaluation of a Direct Lightning Strike to the 24 kV Distribution Lines in Thailand. Energies. 2019; 12(16):3193. https://doi.org/10.3390/en12163193

Chicago/Turabian Style

Sestasombut, Pornchai, and Atthapol Ngaopitakkul. 2019. "Evaluation of a Direct Lightning Strike to the 24 kV Distribution Lines in Thailand" Energies 12, no. 16: 3193. https://doi.org/10.3390/en12163193

APA Style

Sestasombut, P., & Ngaopitakkul, A. (2019). Evaluation of a Direct Lightning Strike to the 24 kV Distribution Lines in Thailand. Energies, 12(16), 3193. https://doi.org/10.3390/en12163193

Note that from the first issue of 2016, this journal uses article numbers instead of page numbers. See further details here.

Article Metrics

Back to TopTop