Optimal Load Dispatch in Competitive Electricity Market by Using Different Models of Hopfield Lagrange Network
Abstract
1. Introduction
- (1)
- First apply the HLN to the OLD problem while considering the electric market.
- (2)
- Propose five different functions for updating outputs for continuous neurons.
- (3)
- Use different initial outputs for continuous neurons for evaluating the oscillations of the HLN.
- (1)
- Reduce the complicated level of the ALHN in establishing energy function.
- (2)
- Reduce control parameters by canceling the augmented terms in the Lagrange function. This can shorten simulation time.
- (3)
- Point out the best function for updating outputs for continuous neurons. The best function can stabilize the search performance of the HLN.
- (4)
- Survey the oscillations of the HLN by different initial outputs for continuous neurons.
- (5)
- Five functions form five HLN methods, and their results from two systems with three units and 10 units will be compared to those of other methods such as the cuckoo search algorithm (CSA), particle swarm optimization (PSO), differential evolution (DE) and the ALHN.
2. Problem Formulation
2.1. Objective Function
- Payment for delivered power
- Payment for allocated reserve
2.2. The Set of Constraints
- The active power balance between demand and supply: The total generation of all units and load demand PD must follow the following rule:
- Active power reserve constraint: The sum of reserve power from all units and the reserve demand PRD are constrained by the following inequality:
- Generation limits: The power output of each thermal generating unit must be within the lower bound and the upper bound as the following model:The constraint aims to assure the safety of the generator while producing electricity. Normally, each thermal generating unit does not have a lower bound subject to physical ability, but it must be constrained by the lower bound due to economic issues [34]. During the operation of thermal generating units, the fuel cost for starting up each thermal generating is significant. Thus, it must be worked with large enough power to avoid high fuel cost.
- Reserve limits: The active power reserve of the ith unit PRi must follow the rule below:In the two equations above, PRi is the power reserve of the ith thermal generating unit, and it is not constrained by a specific value. However, its maximum value must not be higher than (). However, the sum of the power reserve of all thermal generating units must satisfy Constraint (9) above. As Constraints (8)–(12) are exactly met, the power system can work stably and safely.
3. Implementation of the HLN for the OLD Problem in the Competitive Electric Market
- Establish the Lagrange function: The Lagrange function must include objective functions and constraints in which each constraint will have one Lagrange multiplier that needs to be tuned for optimal solutions that satisfy all constraints and have a high quality [35].
- Establish the energy function: The energy function is a converted function from the Lagrange function. Here, the control variables and the Lagrange multiplier in the Lagrange function will become outputs for continuous neurons and multiplier neurons, respectively. In addition, the inverse sigmoid function is also added in the energy function [33].
- Calculate the dynamics of neurons: The dynamics of neurons can be determined by taking partial derivatives of energy function with respect to the outputs for continuous neurons and multiplier neurons.
- Update inputs for multiplier neurons and continuous neurons: Inputs for neurons must be updated after determining the dynamics of neurons by adding a change step to old inputs. The change step is calculated from the dynamics of neurons.
- Update outputs for multiplier neurons and continuous neurons: The updated outputs for multiplier neurons are used to calculate dynamics of neurons in next iteration. Meanwhile, the updated outputs for continuous neurons are control variables that are added in an optimal solution if all termination conditions are exactly met as expected.
3.1. Main Steps of the HLN
3.1.1. Lagrange Optimization Function and Energy Function
3.1.2. Dynamics of Neurons
3.1.3. Update Inputs for Neurons
3.1.4. Update Output for Neurons
3.2. The Entire Search Process of the HLN
3.2.1. Selection of Parameters
- (1)
- σ
- (2)
- α1, α2, α3, α4 and α5
- (3)
- Predetermined tolerance Tolpre
- (4)
- Maximum iteration Gmax
3.2.2. Initialization
3.2.3. Condition of Computation Termination
3.2.4. The Iterative Algorithm of the HLN for Dealing with the Considered Problem
- Step 1:
- Set values for control parameters, as expressed in Section 3.2.1.
- Step 2:
- Randomly generate inputs as well as outputs for multiplier neurons and continuous neurons, as shown in Section 3.2.2.
- Step 3:
- Set current iteration G to 1.
- Step 4:
- Determine the dynamics of inputs and outputs for all neurons, as shown in Section 3.1.2.
- Step 5:
- Update the inputs for multiplier neurons and continuous neurons by using Section 3.1.3.
- Step 6:
- Update the outputs for multiplier neurons and continuous neurons by using Section 3.1.4.
- Step 7:
- Calculate individual error and maximum error, as shown in Section 3.2.2.
- Step 8:
- If Errormax > Tolpre and G < Gmax, set G = G + 1 and return to Step 3. Otherwise, stop the HLN and print results.
4. Numerical Results
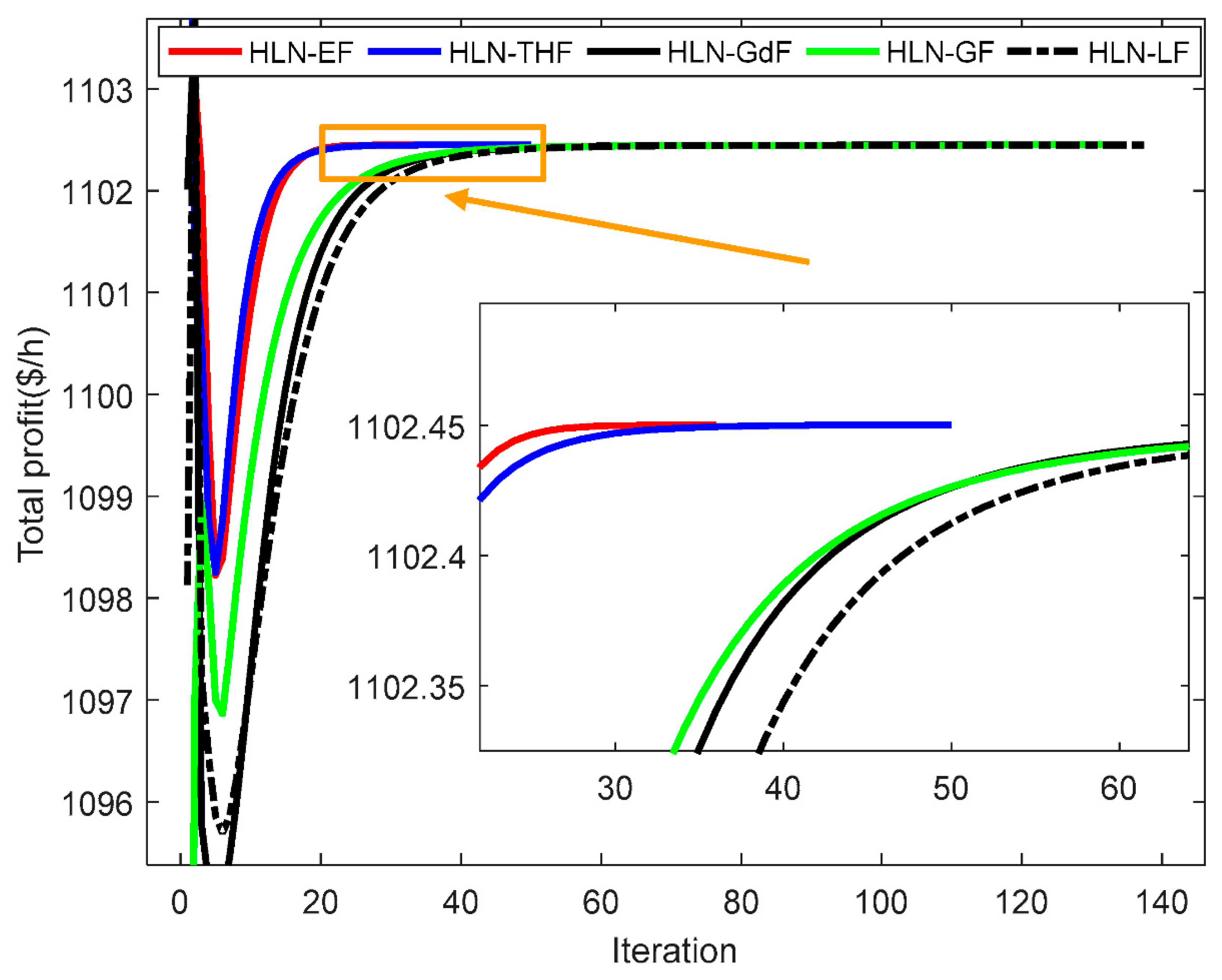
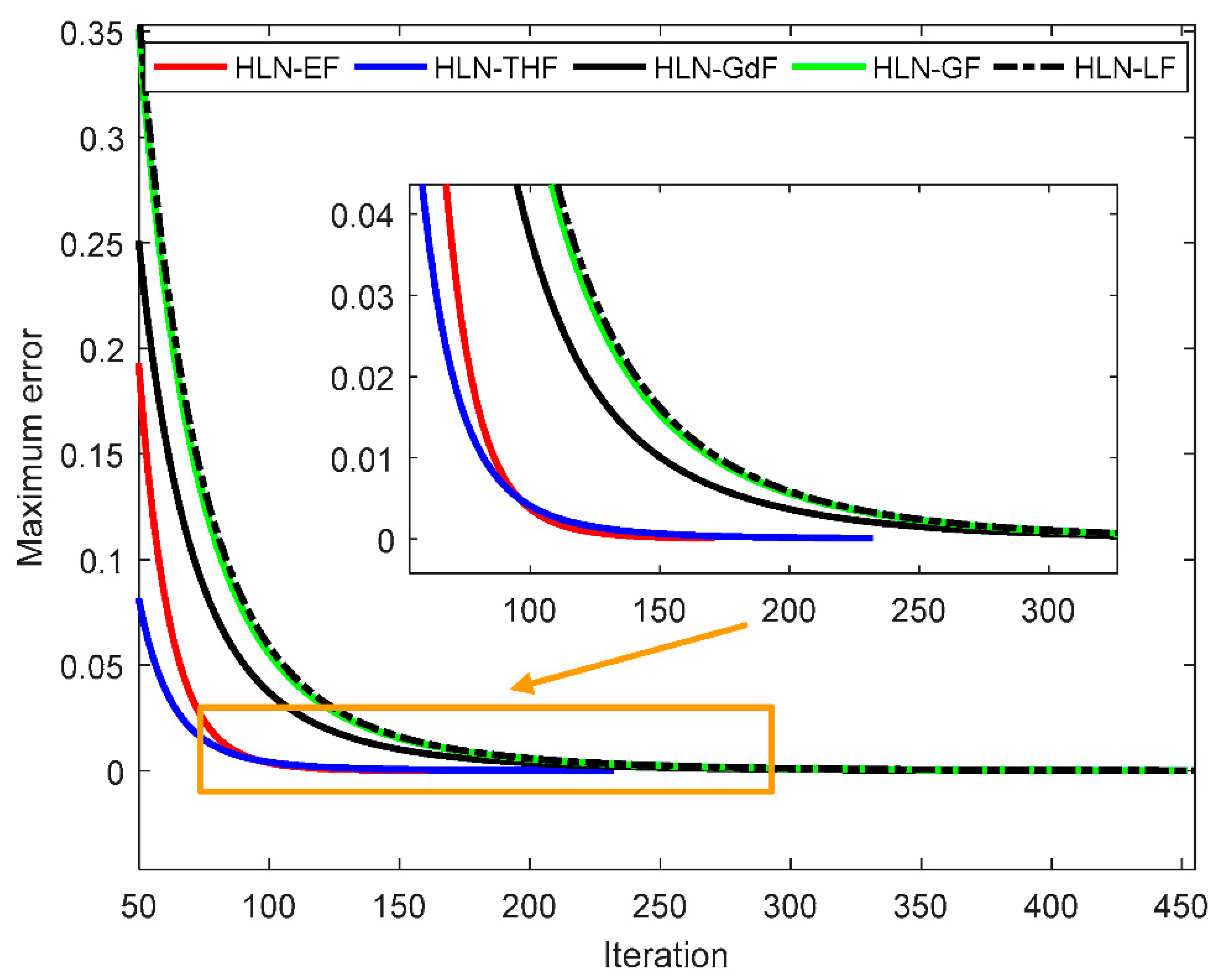
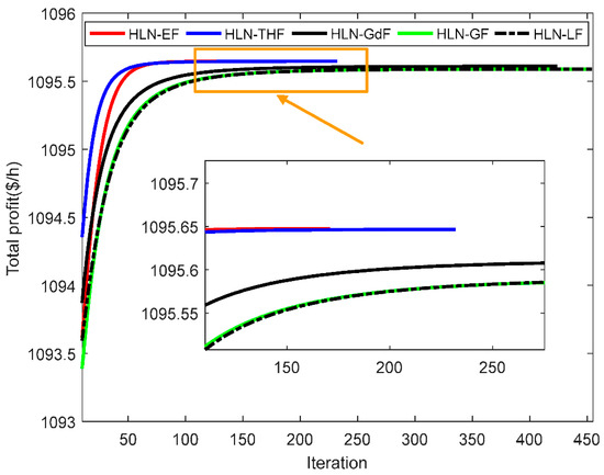
4.1. Three-Unit System
- CSA: The probability of replacing old solution for mutation operation Pro = 0.2, 0.4, 0.6, 0.8, 1.0 [37]
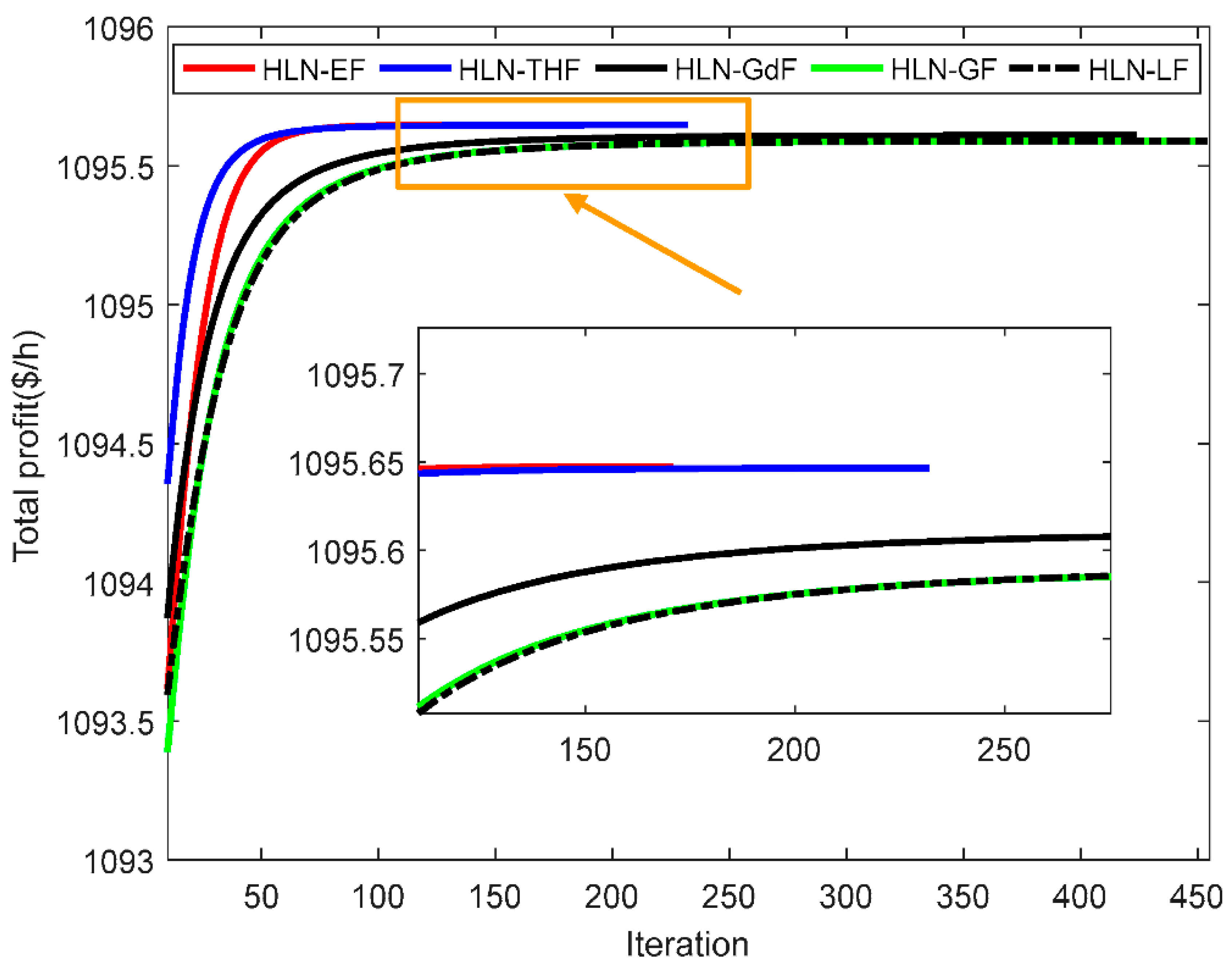
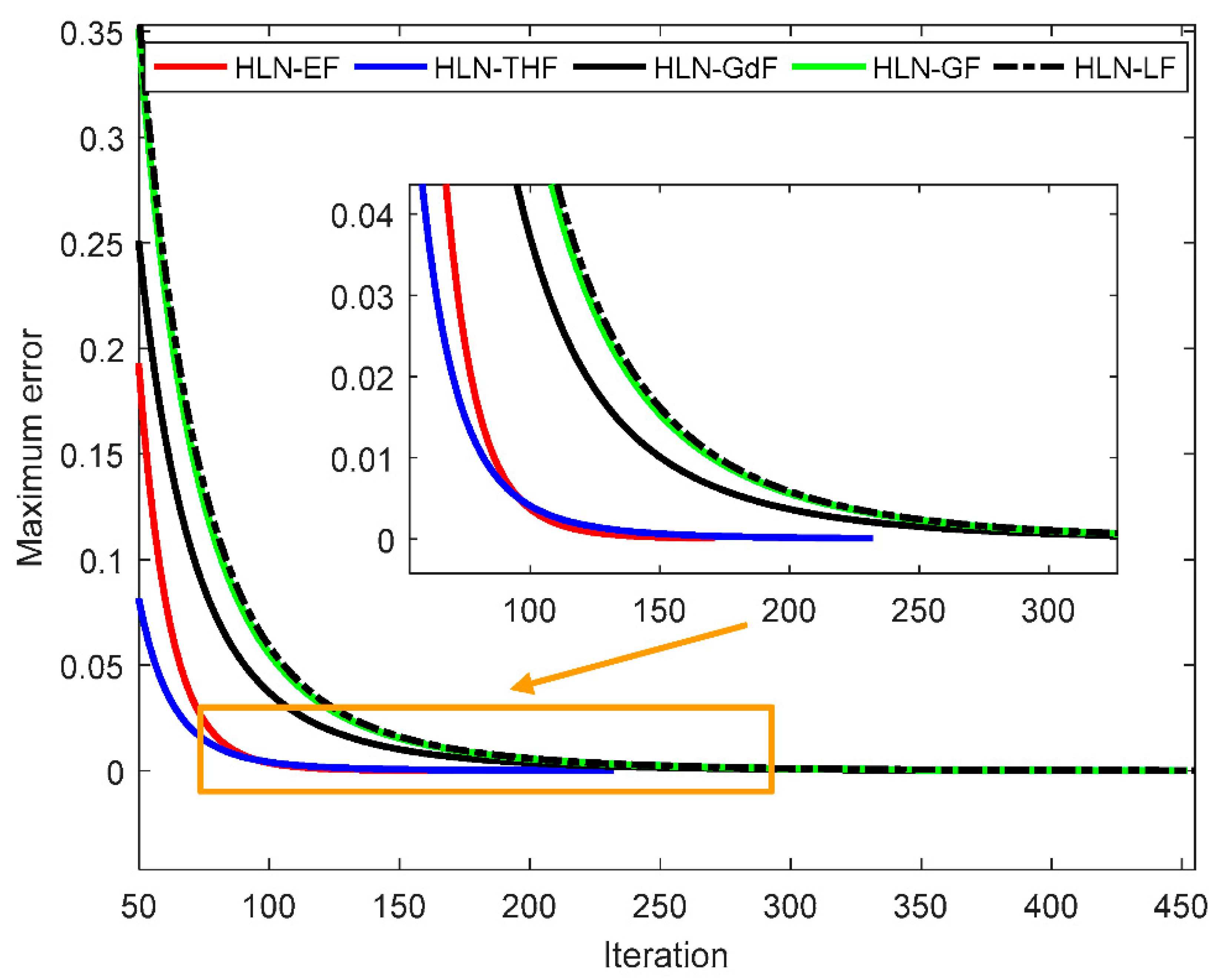
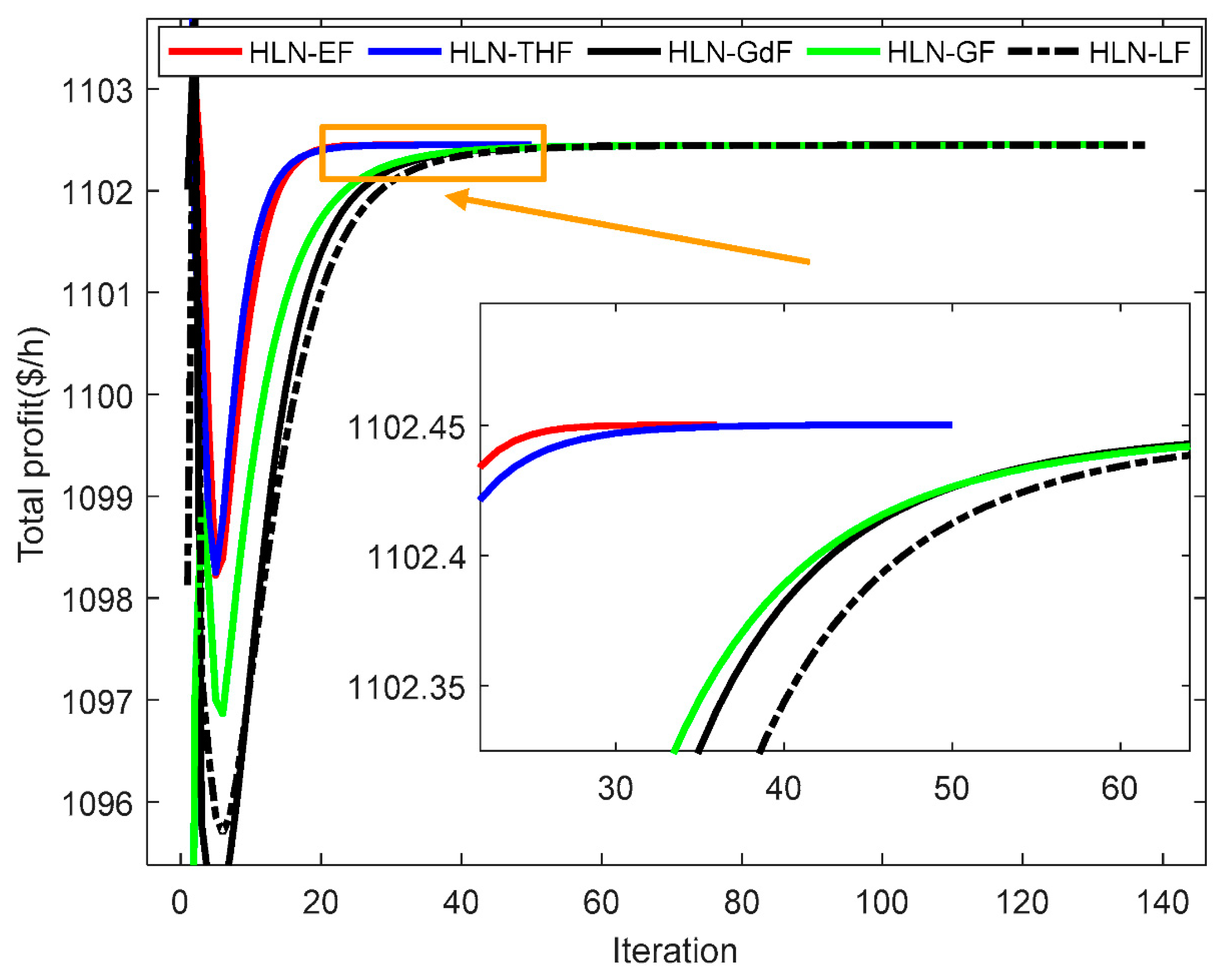
4.2. Ten-Unit System
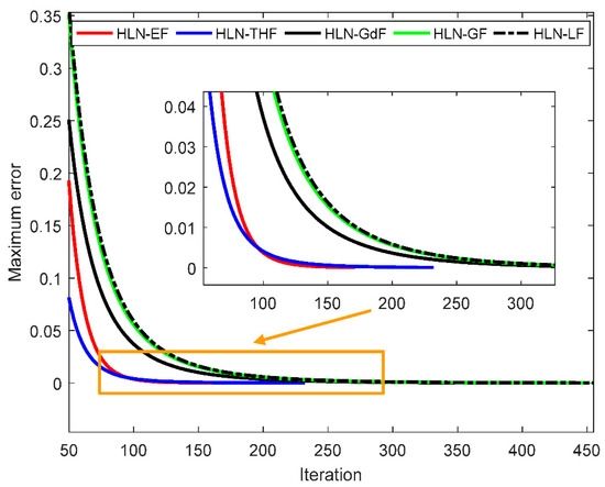
4.3. Discussion on the HLN with Different Applied Functions
5. Conclusions
Author Contributions
Funding
Conflicts of Interest
Nomenclature
| Fuel cost of the ith thermal generating unit corresponding to power (Pi + PRi) | |
| λ | Lagrange multiplier associated with active power balance constraint |
| γ | Lagrange multiplier associated with power reserve constraint of all available units |
| μi | Lagrange multiplier associated with active power reserve constraint of the ith thermal unit |
| , | Minimum and maximum reserve power of the ith thermal unit |
| , | Minimum and maximum power output of the ith thermal unit |
| ai, bi, ci | Given cost function coefficients |
| Errormax | Maximum error |
| Fi | Fuel cost of the ith thermal generating unit corresponding to power output Pi |
| G | Current iteration |
| Gc(V) | Sigmoid function corresponding to output of neuron V |
| Gmax | Maximum iteration |
| N | Number of available thermal units |
| Pa | Probability for power reserve required and produced |
| Pi | Power output of the ith thermal unit |
| PRi | Reserve power of the ith thermal generating unit |
| PSP, PRP | Predicted sell price and predicted reserve price |
| TFC | Total fuel cost |
| Tolpre | Predetermined tolerance |
| TP | Total profit |
| Uλ, Uγ, Ui,μ | Inputs for multiplier neurons |
| Ui,P, Ui,r | Inputs for continuous neurons |
| Vλ, Vγ, Vi,μ | Outputs for Lagrange multiplier neurons |
| Vi,P, Vi,PR | Outputs for continuous neurons corresponding to power output and reserve power of the ith unit |
Appendix A
| Unit i | ci | bi | ai | ||
|---|---|---|---|---|---|
| 1 | 0.002 | 10.000 | 500.000 | 100.000 | 600.000 |
| 2 | 0.0025 | 8.000 | 300.000 | 100.000 | 400.000 |
| 3 | 0.005 | 6.000 | 100.000 | 50.000 | 200.000 |
| Unit i | ci | bi | ai | ||
|---|---|---|---|---|---|
| 1 | 0.0004800 | 16.19 | 1000 | 150 | 455 |
| 2 | 0.0003100 | 17.26 | 970 | 150 | 455 |
| 3 | 0.00200 | 16.60 | 700 | 20 | 130 |
| 4 | 0.0021100 | 16.50 | 680 | 20 | 130 |
| 5 | 0.0039800 | 19.70 | 450 | 25 | 162 |
| 6 | 0.0071200 | 22.26 | 370 | 20 | 80 |
| 7 | 0.0007900 | 27.74 | 480 | 25 | 85 |
| 8 | 0.0041300 | 25.92 | 660 | 10 | 55 |
| 9 | 0.0022200 | 27.27 | 665 | 10 | 55 |
| 10 | 0.0017300 | 27.79 | 670 | 10 | 55 |
| i | Case 1 | Case 2 | ||
|---|---|---|---|---|
| Pi (MW) | PRi (MW) | Pi (MW) | PRi (MW) | |
| 1 | 324.8165 | 99.9999 | 324.8165 | 99.9958 |
| 2 | 400 | 0 | 400 | 0 |
| 3 | 200 | 0 | 200 | 0 |
| i | Case 1 | Case 2 | ||
|---|---|---|---|---|
| Pi (MW) | PRi (MW) | Pi (MW) | PRi (MW) | |
| 1 | 455 | 0 | 455.0000 | 0 |
| 2 | 455 | 0 | 455.0000 | 0 |
| 3 | 130 | 0 | 130.0000 | 0 |
| 4 | 130 | 0 | 130.0000 | 0 |
| 5 | 162 | 0 | 162.0000 | 0 |
| 6 | 80 | 0 | 80.0000 | 0 |
| 7 | 25 | 55.3590 | 25.0000 | 54.8954 |
| 8 | 43 | 12.0001 | 43.0001 | 12.0000 |
| 9 | 10 | 44.9669 | 10.0000 | 42.2942 |
| 10 | 10 | 37.6740 | 10.0000 | 40.8105 |
References
- Nguyen, T.T.; Nguyen, C.T.; Van Dai, L.; Vu Quynh, N. Finding Optimal Load Dispatch Solutions by Using a Proposed Cuckoo Search Algorithm. Math. Probl. Eng. 2019. [Google Scholar] [CrossRef]
- Jeyakumar, D.N.; Jayabarathi, T.; Raghunathan, T. Particle swarm optimization for various types of economic dispatch problems. Int. J. Electr. Power Energy Syst. 2006, 28, 36–42. [Google Scholar] [CrossRef]
- Noman, N.; Iba, H. Differential evolution for economic load dispatch problems. Electr. Power Syst. Res. 2008, 78, 1322–1331. [Google Scholar] [CrossRef]
- Walters, D.C.; Sheble, G.B. Genetic algorithm solution of economic dispatch with valve point loading. IEEE Trans. Power Syst. 1993, 8, 1325–1332. [Google Scholar] [CrossRef]
- Nguyen, T.T.; Vo, D.N. The application of one rank cuckoo search algorithm for solving economic load dispatch problems. Appl. Soft Comput. 2015, 37, 763–773. [Google Scholar] [CrossRef]
- Nguyen, T.; Vo, D.; Vu Quynh, N.; Van Dai, L. Modified cuckoo search algorithm: A novel method to minimize the fuel cost. Energies 2018, 11, 1328. [Google Scholar] [CrossRef]
- Pham, L.H.; Duong, M.Q.; Phan, V.D.; Nguyen, T.T.; Nguyen, H.N. A High-Performance Stochastic Fractal Search Algorithm for Optimal Generation Dispatch Problem. Energies 2019, 12, 1796. [Google Scholar] [CrossRef]
- Kien, L.C.; Nguyen, T.T.; Hien, C.T.; Duong, M.Q. A Novel Social Spider Optimization Algorithm for Large-Scale Economic Load Dispatch Problem. Energies 2019, 12, 1075. [Google Scholar] [CrossRef]
- Ghasemi, M.; Taghizadeh, M.; Ghavidel, S.; Abbasian, A. Colonial competitive differential evolution: An experimental study for optimal economic load dispatch. Appl. Soft Comput. 2016, 40, 342–363. [Google Scholar] [CrossRef]
- Adarsh, B.R.; Raghunathan, T.; Jayabarathi, T.; Yang, X.S. Economic dispatch using chaotic bat algorithm. Energy 2016, 96, 666–675. [Google Scholar] [CrossRef]
- Kong, X.Y.; Chung, T.S.; Fang, D.Z.; Chung, C.Y. An power market economic dispatch approach in considering network losses. In Proceedings of the IEEE Power Engineering Society General Meeting, San Francisco, CA, USA, 16 June 2005; pp. 208–214. [Google Scholar] [CrossRef]
- Richter, C.W.; Sheble, G.B. A profit-based unit commitment GA for the competitive environment. IEEE Trans. Power Syst. 2000, 15, 715–721. [Google Scholar] [CrossRef]
- Shahidehpour, M.; Marwali, M. Maintenance Scheduling in Restructured Power Systems; Springer Science Business Media: Berlin, Germany, 2012. [Google Scholar]
- Hermans, M.; Bruninx, K.; Vitiello, S.; Spisto, A.; Delarue, E. Analysis on the interaction between short-term operating reserves and adequacy. Energy Policy 2018, 121, 112–123. [Google Scholar] [CrossRef]
- Allen, E.H.; Ilic, M.D. Reserve markets for power systems reliability. IEEE Trans. Power Syst. 2000, 15, 228–233. [Google Scholar] [CrossRef]
- Attaviriyanupap, P.; Kita, H.; Tanaka, E.; Hasegawa, J. A hybrid LR-EP for solving new profit-based UC problem under competitive environment. IEEE Trans. Power Syst. 2003, 18, 229–237. [Google Scholar] [CrossRef]
- Chandram, K.; Subrahmanyam, N.; Sydulu, M. New approach with muller method for profit based unit commitment. In Proceedings of the 2008 IEEE Power and Energy Society General Meeting-Conversion and Delivery of Electrical Energy in the 21st Century, Pittsburgh, PA, USA, 20–24 July 2008; pp. 1–8. [Google Scholar] [CrossRef]
- Ictoire, T.A.A.; Jeyakumar, A.E. Unit commitment by a tabu-search-based hybrid-optimisation technique. IEE Proc.-Gener. Transm. Distrib. 2005, 152, 563–574. [Google Scholar] [CrossRef]
- Dimitroulas, D.K.; Georgilakis, P.S. A new memetic algorithm approach for the price based unit commitment problem. Appl. Energy 2011, 88, 4687–4699. [Google Scholar] [CrossRef]
- Columbus, C.C.; Simon, S.P. Profit based unit commitment: A parallel ABC approach using a workstation cluster. Comput. Electr. Eng. 2012, 38, 724–745. [Google Scholar] [CrossRef]
- Columbus, C.C.; Chandrasekaran, K.; Simon, S.P. Nodal ant colony optimization for solving profit based unit commitment problem for GENCOs. Appl. Soft Comput. 2012, 12, 145–160. [Google Scholar] [CrossRef]
- Sharma, D.; Trivedi, A.; Srinivasan, D.; Thillainathan, L. Multi-agent modeling for solving profit based unit commitment problem. Appl. Soft Comput. 2013, 13, 3751–3761. [Google Scholar] [CrossRef]
- Singhal, P.K.; Naresh, R.; Sharma, V. Binary fish swarm algorithm for profit-based unit commitment problem in competitive electricity market with ramp rate constraints. IET Gener. Trans. Distrib. 2015, 9, 1697–1707. [Google Scholar] [CrossRef]
- Sudhakar, A.V.V.; Karri, C.; Laxmi, A.J. A hybrid LR-secant method-invasive weed optimisation for profit-based unit commitment. Int. J. Power Energy Convers. 2018, 9, 1–24. [Google Scholar] [CrossRef]
- Reddy, K.S.; Panwar, L.K.; Panigrahi, B.K.; Kumar, R. A New Binary Variant of Sine–Cosine Algorithm: Development and Application to Solve Profit-Based Unit Commitment Problem. Arab. J. Sci. Eng. 2018, 43, 4041–4056. [Google Scholar] [CrossRef]
- Reddy, K.S.; Panwar, L.; Panigrahi, B.K.; Kumar, R. Binary whale optimization algorithm: A new metaheuristic approach for profit-based unit commitment problems in competitive electricity markets. Eng. Optim. 2019, 51, 369–389. [Google Scholar] [CrossRef]
- Gonidakis, D.; Vlachos, A. A new sine cosine algorithm for economic and emission dispatch problems with price penalty factors. J. Inf. Optim. Sci. 2019, 40, 679–697. [Google Scholar] [CrossRef]
- Liang, H.; Liu, Y.; Li, F.; Shen, Y. A multiobjective hybrid bat algorithm for combined economic/emission dispatch. Int. J. Electr. Power Energy Syst. 2018, 101, 103–115. [Google Scholar] [CrossRef]
- Rezaie, H.; Abedi, M.; Rastegar, S.; Rastegar, H. Economic emission dispatch using an advanced particle swarm optimization technique. World J. Eng. 2019. [Google Scholar] [CrossRef]
- Mason, K.; Duggan, J.; Howley, E. A multi-objective neural network trained with differential evolution for dynamic economic emission dispatch. Int. J. Electr. Power Energy Syst. 2018, 100, 201–221. [Google Scholar] [CrossRef]
- Bora, T.C.; Mariani, V.C.; dos Santos Coelho, L. Multi-objective optimization of the environmental-economic dispatch with reinforcement learning based on non-dominated sorting genetic algorithm. Appl. Therm. Eng. 2019, 146, 688–700. [Google Scholar] [CrossRef]
- Vo, D.N.; Ongsakul, W. Hopfield lagrange network for economic load dispatch. Innov. Power Control. Optim. 2012, 57–94. [Google Scholar] [CrossRef][Green Version]
- Vo, D.N.; Ongsakul, W.; Nguyen, K.P. Augmented Lagrange Hopfield network for solving economic dispatch problem in competitive environment. AIP Conf. Proc. 2012, 1499, 46–53. [Google Scholar] [CrossRef]
- Nguyen, T.; Vu Quynh, N.; Duong, M.; Van Dai, L. Modified differential evolution algorithm: A novel approach to optimize the operation of hydrothermal power systems while considering the different constraints and valve point loading effects. Energies 2018, 11, 540. [Google Scholar] [CrossRef]
- Nguyen, T.T. Solving Economic Dispatch Problem with Piecewise Quadratic Cost Functions Using Lagrange Multiplier Theory; International Conference Computer Technology Development ASME Press: New York, NY, USA, 2011; pp. 359–363. [Google Scholar] [CrossRef]
- Nguyen, T.T.; Vo, D.N. Improved particle swarm optimization for combined heat and power economic dispatch. Scientia Iranica. Trans. D Comput. Sci. Eng. Electr. 2016, 23, 1318. [Google Scholar] [CrossRef]
- Nguyen, T.T.; Nguyen, T.T.; Vo, D.N. An effective cuckoo search algorithm for large-scale combined heat and power economic dispatch problem. Neural Comput. Appl. 2018, 30, 3545–3564. [Google Scholar] [CrossRef]
- Guo, C.; Wang, D. Frequency Regulation and Coordinated Control for Complex Wind Power Systems. Complexity 2019. [Google Scholar] [CrossRef]
- Gammoudi, R.; Brahmi, H.; Dhifaoui, R. Estimation of Climatic Parameters of a PV. System Based on Gradient Method. Complexity 2019. [Google Scholar] [CrossRef]















| Method | Mean Error | Max. Profit ($/h) | Mean. Profit ($/h) | Min. Profit ($/h) | Mean Iterations | CPu Time (s) |
|---|---|---|---|---|---|---|
| HLN-EF | 0.000078 | 1102.45 | 1102.45 | 1102.45 | 40 | 0.017 |
| HLN-THF | 0.000091 | 1102.45 | 1102.45 | 1102.45 | 59 | 0.02 |
| HLN-GdF | 0.000098 | 1102.45 | 1102.45 | 1102.449 | 142 | 0.06 |
| HLN-GF | 0.000098 | 1102.45 | 1102.449 | 1102.449 | 155 | 0.062 |
| HLN-LF | 0.000098 | 1102.45 | 1102.45 | 1102.449 | 161 | 0.069 |
| PSO | 0.000078 | 1102.45 | 938.8674 | 325 | 500 | 0.383 |
| CSA | 0.000091 | 1102.45 | 1099.229 | 1040.159 | 500 | 0.765 |
| DE | 0.000098 | 1102.45 | 635.3542 | −111.923 | 500 | 0.808 |
| ALHN [33] | - | 1102.45 | - | - | 5000 | 0.16 |
| Method | Mean Error | Max. Profit ($/h) | Mean. Profit ($/h) | Min. Profit ($/h) | Mean Iterations | CPu Time (s) |
|---|---|---|---|---|---|---|
| HLN-EF | 0.000097 | 1095.648 | 1095.648 | 1095.6474 | 173 | 0.07 |
| HLN-THF | 0.0001 | 1095.647 | 1095.647 | 1095.646 | 240 | 0.1 |
| HLN-GdF | 0.000099 | 1095.61 | 1095.61 | 1095.61 | 421 | 0.18 |
| HLN-GF | 0.000098 | 1095.589 | 1095.589 | 1095.5893 | 432 | 0.185 |
| HLN-LF | 0.000102 | 1095.59 | 1095.59 | 1095.589 | 413 | 0.32 |
| PSO | - | 1095.648 | 943.7049 | 232.7724 | 500 | 0.77 |
| CSA | - | 1095.648 | 1088.329 | 959.5354 | 500 | 0.82 |
| DE | - | 1095.648 | 745.1618 | 57.8145 | 500 | 0.95 |
| ALHN [33] | - | 1095.65 | - | - | 5000 | 0.16 |
| Method | Mean Error | Max. Profit ($/MWh) | Mean Profit ($/MWh) | Min. Profit ($/MWh) | Mean Iterations | CPu Time (s) |
|---|---|---|---|---|---|---|
| HLN-EF | 0.000095 | 14,564.731 | 14,564.73 | 14,564.729 | 194 | 0.08 |
| HLN-THF | 0.000095 | 14,564.73 | 14,564.73 | 14,564.727 | 225.6 | 0.1 |
| HLN-GdF | 0.000092 | 14,564.716 | 14,564.715 | 14,564.70 | 256.81 | 0.11 |
| HLN-GF | 0.000093 | 14,564.714 | 14,564.714 | 14,564.713 | 195 | 0.08 |
| HLN-LF | 0.000082 | 14,564.714 | 14,564.713 | 14,564.712 | 279.57 | 0.22 |
| PSO | - | 14,182.186 | 9771.186 | 836.9154 | 500 | 1.5 |
| CSA | - | 14,564.05 | 14,501.86 | 14,201.51 | 500 | 1.7 |
| DE | - | 14,053.027 | 8416.1628 | 2281.539 | 500 | 1.9 |
| ALHN [33] | - | 14,564.73 | - | - | 5000 | 0.18 |
| Method | Mean Error | Max. Profit ($/MWh) | Mean Profit ($/MWh) | Min. Profit ($/MWh) | Mean Iterations | CPu Time (s) |
|---|---|---|---|---|---|---|
| HLN-EF | 0.000092 | 13,635.1083 | 13,635.1083 | 13,635.1083 | 187 | 0.08 |
| HLN-THF | 0.000084 | 13,635.1082 | 13,635.1081 | 13,635.1078 | 227.56 | 0.1 |
| HLN-GdF | 0.000088 | 13,635.1061 | 13,635.106 | 13,635.105 | 270.48 | 0.12 |
| HLN-GF | 0.000091 | 13,635.1067 | 13,635.1061 | 13,635.1059 | 195 | 0.09 |
| HLN-LF | 0.000085 | 13,635.1059 | 13,635.1058 | 13,635.105 | 278.86 | 0.22 |
| PSO | - | 13,158.0653 | 9824.8414 | 6246.4383 | 500 | 1.6 |
| CSA | - | 13,635.105 | 13,448.0525 | 13,177.6998 | 500 | 1.7 |
| DE | - | 13,093.1919 | 8346.2441 | 3729.7168 | 500 | 2.0 |
| ALHN [33] | - | 13,635.11 | - | - | 5000 | 0.18 |
© 2019 by the authors. Licensee MDPI, Basel, Switzerland. This article is an open access article distributed under the terms and conditions of the Creative Commons Attribution (CC BY) license (http://creativecommons.org/licenses/by/4.0/).
Share and Cite
Duong, T.L.; Nguyen, P.D.; Phan, V.-D.; Vo, D.N.; Nguyen, T.T. Optimal Load Dispatch in Competitive Electricity Market by Using Different Models of Hopfield Lagrange Network. Energies 2019, 12, 2932. https://doi.org/10.3390/en12152932
Duong TL, Nguyen PD, Phan V-D, Vo DN, Nguyen TT. Optimal Load Dispatch in Competitive Electricity Market by Using Different Models of Hopfield Lagrange Network. Energies. 2019; 12(15):2932. https://doi.org/10.3390/en12152932
Chicago/Turabian StyleDuong, Thanh Long, Phuong Duy Nguyen, Van-Duc Phan, Dieu Ngoc Vo, and Thang Trung Nguyen. 2019. "Optimal Load Dispatch in Competitive Electricity Market by Using Different Models of Hopfield Lagrange Network" Energies 12, no. 15: 2932. https://doi.org/10.3390/en12152932
APA StyleDuong, T. L., Nguyen, P. D., Phan, V.-D., Vo, D. N., & Nguyen, T. T. (2019). Optimal Load Dispatch in Competitive Electricity Market by Using Different Models of Hopfield Lagrange Network. Energies, 12(15), 2932. https://doi.org/10.3390/en12152932

