A Multi-Objective Energy and Environmental Systems Planning Model: Management of Uncertainties and Risks for Shanxi Province, China
Abstract
:1. Introduction
2. Overview of the Study Area
2.1. The Province of Shanxi
2.2. Shanxi Electric Power System
2.3. Statement of Problems
3. Model Development
3.1. Methodology
3.2. Fuzzy Chance-Constrained Fractional Programming-Shanxi Modeling Formulation
- (1)
- the total cost for primary energy supply:
- (2)
- fixed and variable operating costs for power generation:
- (3)
- cost for capacity expansions:
- (4)
- cost for pollutant mitigation:
- (5)
- penalty for pollutant emission:
- (6)
- transmission cost of electricity export:
- (7)
- fiscal subsidy of renewable energy generation and pollution treatment:
- (1)
- electricity demand constraints:
- (2)
- capacity limitation constraint for power generation facilities:
- (3)
- primary energy availability constraints:
- (4)
- capacity expansion constraints:
- (5)
- expansion options constraints:Ytjm = 1, if expansion is undertakenYtjm = 0, otherwise
- (6)
- renewable energy availability constraints:
- (7)
- export electricity constraints:
- (1)
- pollutants emission constraints:
- (2)
- export constraints:
- (3)
- non-negativity constraints:
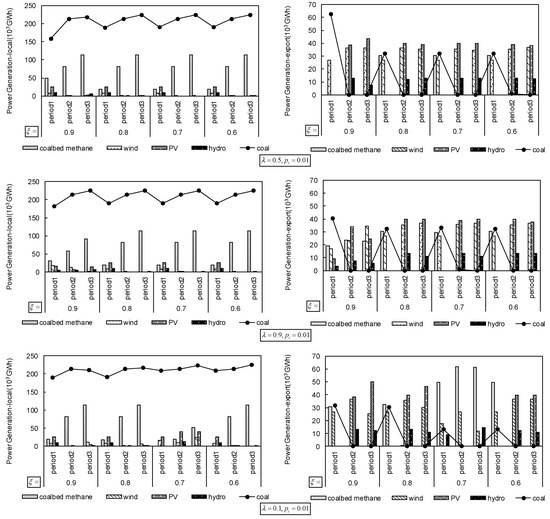
4. Data Collection and Results Analysis
5. Conclusions
- (a)
- A FCFP approach could balance the dual objectives of maximizing clean energy generation and minimizing economic cost and the trade-offs between the environmental constraints and system efficiency.
- (b)
- A FCFP approach could convert the availability parameters of renewable energy with intermittent characteristics into determined model input parameters.
- (c)
- A FCFP approach could provide various decision alternatives with different risk preferences. Comparison and sensitivity analysis of results obtained from the alternatives could help decision makers make more appropriate decisions.
- (d)
- A FCFP approach could offer a large number of scenario-based results, which could capture the impact of different energy policies on an expansion scheme, power generation patterns, and system costs.
Author Contributions
Funding
Conflicts of Interest
Nomenclature
| Indices | |
| t | index for the time periods (t = 1, 2, …, T, 5 year for each period). |
| j | index for the power generation technology (j = 1, 2, …, J, and j = 1 coal-fired power, j = 2 coalbed methane power, j = 3 hydropower, j = 4 wind power, j = 5 photovoltaic). |
| I | the number of non-renewable power generation technology (I = 2). |
| k | the type of electricity demand (where k = 1 for local demand, k = 2 for export). |
| m | index for the capacity expansion options (m = 1, 2, …, M). |
| n | the type of pollutant, n = 1, 2, 3 (where n = 1 for SOx, 2 for NOx, 3 for PM). |
| Decision Variables | |
| supply of primary energy resource (coal and coalbed methane) for power generation technology j in period t (TJ). | |
| decision variable and represents electricity generation from power generation technology j in period t (GWh). | |
| capacity option m for power generation technology j in period t. | |
| Parameters | |
| availability of hydropower in period t. | |
| availability of wind energy in period t under level pr. | |
| availability of solar energy in period t under level pr. | |
| cost for expanding capacity for generating electricity technology j in period t (103 $/GW). | |
| penalty of pollutant n emission of power generation technology j in period t (103 $/tonne). | |
| cost for primary energy supply for power generation technology in period t (103 $/TJ). | |
| fixed and variable costs for generating electricity via technology j in period t (103 $/GWh). | |
| cost for pollutant n mitigation of power generation technology j in period t (103 $/tonne). | |
| cost for transmission and distribution in period t (103 $/GWh). | |
| local electricity demand (GWh) in period t. | |
| export electricity demand of other provinces (GWh) in period t. | |
| capacity expansion option m of power generation technology j under different scheme in period t (GW). | |
| the permitted emission of air contaminant in period t (103 tonne). | |
| the current capacity of power generation technology j in period t (GW). | |
| retirement capacity of power generation technology j in period t (GW). | |
| subsidy of pollution treatment from fossil-fired generation technology j in period t. | |
| subsidy of renewable energy generation technology j in period t. | |
| the maximum service time of power generation technology j in period t (h). | |
| the maximum service time of electric transmission line in period t (h). | |
| maximum capacity of generation technology j in period t (GW). | |
| available primary energy j in period t (TJ). | |
| the maximum electric transmission capacity in period t. | |
| emission factor of the pollutant n in period t (103 tonne/GWh). | |
| conversion rate from hydropower to electricity in period t. | |
| conversion rate from wind energy to electricity in period t. | |
| conversion rate from solar energy to electricity in period t. | |
| energy consumption conversion rate by power generation technology j in period t (TJ/GWh). | |
| transmission loss in period t (k = 1, local; k = 2, export). | |
| the minimum share of power generation by renewable energy in the whole energy supply. | |
References
- Song, H.; Dotzauer, E.; Thorin, E.; Guziana, B.; Huopana, T.; Yan, J. A dynamic model to optimize a regional energy system with waste and crops as energy resources for greenhouse gases mitigation. Energy 2012, 46, 522–532. [Google Scholar] [CrossRef]
- Huang, G.H. A hybrid inexact-stochastic water management model. Eur. J. Oper. Res. 1998, 107, 137–158. [Google Scholar] [CrossRef]
- Huang, G.H.; Loucks, D.P. An inexact two-stage stochastic programming model for water resources management under uncertainty. Civ. Eng. Syst. 2000, 17, 95–118. [Google Scholar] [CrossRef]
- Cai, Y.P.; Huang, G.H.; Yang, Z.F.; Tan, Q. Identification of optimal strategies for energy management systems planning under multiple uncertainties. Appl. Energy 2009, 86, 480–495. [Google Scholar] [CrossRef]
- Li, Y.F.; Li, Y.P.; Huang, G.H.; Chen, X. Energy and environmental systems planning under uncertainty—An inexact fuzzy-stochastic programming approach. Appl. Energy 2010, 87, 3189–3211. [Google Scholar] [CrossRef]
- Zhu, Y.; Li, Y.P.; Huang, G.H. Planning carbon emission trading for Beijing’s electric power systems under dual uncertainties. Renew. Sustain. Energy Rev. 2013, 23, 113–128. [Google Scholar] [CrossRef]
- Chen, B.; Li, P.; Wu, H.J.; Husain, T.; Khan, F. MCFP: A Monte Carlo Simulation-based Fuzzy Programming Approach for Optimization under Dual Uncertainties of Possibility and Continuous Probability. J. Environ. Inform. 2017, 29, 88–97. [Google Scholar] [CrossRef]
- Zhang, Y.M.; Huang, G.H.; Lin, Q.G.; Lu, H.W. Integer fuzzy credibility constrained programming for power system management. Energy 2012, 38, 398–405. [Google Scholar] [CrossRef]
- Guo, X.; Bao, Z.; Li, Z.; Yan, W. Adaptively Constrained Stochastic Model Predictive Control for the Optimal Dispatch of Microgrid. Energies 2018, 11, 243. [Google Scholar] [CrossRef]
- Li, W.; Bao, Z.; Huang, G.H.; Xie, Y.L. An Inexact Credibility Chance-Constrained Integer Programming for Greenhouse Gas Mitigation Management in Regional Electric Power System under Uncertainty. J. Environ. Inform. 2017, 31, 111–122. [Google Scholar] [CrossRef]
- Hu, J.; Sun, L.; Li, C.H.; Wang, X.; Jia, X.L.; Cai, Y.P. Water Quality Risk Assessment for the Laoguanhe River of China Using a Stochastic Simulation Method. J. Environ. Inform. 2018, 31, 123–136. [Google Scholar] [CrossRef]
- Huang, C.Z.; Nie, S.; Guo, L.; Fan, Y.R. Inexact Fuzzy Stochastic Chance Constraint Programming for Emergency Evacuation in Qinshan Nuclear Power Plant under Uncertainty. J. Environ. Inform. 2017, 30, 63–78. [Google Scholar] [CrossRef]
- Wang, S.; Huang, G.H. A multi-level Taguchi-factorial two-stage stochastic programming approach for characterization of parameter uncertainties and their interactions: An application to water resources management. Eur. J. Oper. Res. 2015, 240, 572–581. [Google Scholar] [CrossRef]
- Wang, S.; Huang, G.H.; Baetz, B.W. An inexact probabilistic–possibilistic optimization framework for flood management in a hybrid uncertain environment. IEEE Trans. Fuzzy Syst. 2015, 23, 897–908. [Google Scholar] [CrossRef]
- Wu, C.B.; Huang, G.H.; Xin, B.G.; Chen, J.K. Scenario analysis of carbon emissions’ anti-driving effect on Qingdao’s energy structure adjustment with an optimization model, Part I: Carbon emissions peak value prediction. J. Clean. Prod. 2018, 172, 466–474. [Google Scholar] [CrossRef]
- Rekik, M.; Abdelkafi, A.; Krichen, L. A micro-grid ensuring multi-objective control strategy of a power electrical system for quality improvement. Energy 2015, 88, 351–363. [Google Scholar] [CrossRef]
- Azadeh, A.; Raoofi, Z.; Zarrin, M. A multi-objective fuzzy linear programming model for optimization of natural gas supply chain through a greenhouse gas reduction approach. J. Nat. Gas Sci. Eng. 2015, 26, 702–710. [Google Scholar] [CrossRef]
- Meza, J.; Espitia, H.; Montenegro, C.; Crespo, R.G. Statistical analysis of a multi-objective optimization algorithm based on a model of particles with vorticity behavior. Soft Comput. 2016, 20, 3521–3536. [Google Scholar] [CrossRef]
- Sarkar, B.; Ganguly, B.; Sarkar, M.; Pareek, S. Effect of variable transportation and carbon emission in a three-echelon supply chain model. Transp. Res. Part E 2016, 91, 112–128. [Google Scholar] [CrossRef]
- Habiboghli, A.; Jalali, T. A Solution to the N-Queens Problem Using Biogeography-Based Optimization. Int. J. Interact. Multimed. Artif. Intell. 2017, 4, 20–26. [Google Scholar] [CrossRef]
- Li, K.; Pan, L.; Xue, W.; Jiang, H.; Mao, H. Multi-objective optimization for energy performance improvement of residential buildings: A comparative study. Energies 2017, 10, 245. [Google Scholar] [CrossRef]
- Meza, J.; Espitia, H.; Montenegro, C.; Giménez, E.; González-Crespo, R. MOVPSO: Vortex multi-objective particle swarm optimization. Appl. Soft Comput. 2017, 52, 1042–1057. [Google Scholar] [CrossRef]
- Meza, J.L.C.; Yildirim, M.B.; Masud, A.S. A model for the multiperiod multiobjective power generation expansion problem. IEEE Trans. Power Syst. 2007, 22, 871–878. [Google Scholar] [CrossRef]
- Zhu, H.; Huang, G.H. Dynamic stochastic fractional programming for sustainable management of electric power systems. Int. J. Electr. Power Energy Syst. 2013, 53, 553–563. [Google Scholar] [CrossRef]
- Zhu, H.; Huang, W.W.; Huang, G.H. Planning of regional energy systems: An inexact mixed-integer fractional programming model. Appl. Energy 2014, 113, 500–514. [Google Scholar] [CrossRef]
- Wang, L.; Huang, G.; Wang, X.; Zhu, H. Risk-based electric power system planning for climate change mitigation through multi-stage joint-probabilistic left-hand-side chance-constrained fractional programming: A Canadian case study. Renew. Sustain. Energy Rev. 2018, 82, 1056–1067. [Google Scholar] [CrossRef]
- Cao, X. Policy and regulatory responses to coalmine closure and coal resources consolidation for sustainability in Shanxi, China. J. Clean. Prod. 2017, 145, 199–208. [Google Scholar] [CrossRef]
- Heilpern, S. The expected value of a fuzzy number. Fuzzy Sets Syst. 1992, 47, 81–86. [Google Scholar] [CrossRef]
- Gen, M.; Tsujimura, Y.; Ida, K. Method for solving multiobjective aggregate production planning problem with fuzzy parameters. Comput. Ind. Eng. 1992, 23, 117–120. [Google Scholar] [CrossRef]
- Jiménez, M.; Arenas, M.; Bilbao, A.; Rodrı, M.V. Linear programming with fuzzy parameters: An interactive method resolution. Eur. J. Oper. Res. 2007, 177, 1599–1609. [Google Scholar] [CrossRef]
- Zhou, Y.; Li, Y.P.; Huang, G.H. Planning sustainable electric-power system with carbon emission abatement through CDM under uncertainty. Appl. Energy 2015, 140, 350–364. [Google Scholar] [CrossRef]
- Liu, B.; Iwamura, K. Chance constrained programming with fuzzy parameters. Fuzzy Sets Syst. 1998, 94, 227–237. [Google Scholar] [CrossRef]
- Dubois, D.; Prade, H. (Eds.) Fundamentals of Fuzzy Sets; The Handbooks of Fuzzy Sets Series; Kluwer Academic Publishers: Boston, MA, USA, 2000. [Google Scholar]
- Zhang, C.; Zhang, F.; Guo, S.; Liu, X.; Guo, P. Inexact nonlinear improved fuzzy chance-constrained programming model for irrigation water management under uncertainty. J. Hydrol. 2018, 556, 397–408. [Google Scholar] [CrossRef]
- Ramík, J. Duality in fuzzy linear programming with possibility and necessity relations. Fuzzy Sets Syst. 2006, 157, 1283–1302. [Google Scholar] [CrossRef]
- Mula, J.; Peidro, D.; Poler, R. The effectiveness of a fuzzy mathematical programming approach for supply chain production planning with fuzzy demand. Int. J. Prod. Econ. 2010, 128, 136–143. [Google Scholar] [CrossRef]
- Chinnadurai, V.; Muthukumar, S. Solving the linear fractional programming problem in a fuzzy environment: Numerical approach. Appl. Math. Model. 2016, 40, 6148–6164. [Google Scholar] [CrossRef]














| Ref. No. | Objective Type | Mathematical Method | Solution Type | Analysis Mode | ||||||||||
|---|---|---|---|---|---|---|---|---|---|---|---|---|---|---|
| SO | MO | DO | FMP | SMP | ILP | FP | Others | MC | MB | MSE | Others | Scenario | Sensitivity | |
| [1] | ✓ | - | - | - | - | ✓ | - | - | ✓ | - | - | - | ✓ | ✓ |
| [4] | ✓ | - | - | ✓ | ✓ | ✓ | - | - | ✓ | - | - | - | - | - |
| [5] | ✓ | - | - | ✓ | ✓ | ✓ | - | - | ✓ | - | - | - | ✓ | - |
| [6] | ✓ | - | - | - | ✓ | ✓ | - | - | ✓ | - | - | - | ✓ | - |
| [7] | ✓ | - | - | ✓ | - | ✓ | - | - | ✓ | - | - | - | ✓ | - |
| [8] | ✓ | - | - | - | ✓ | - | - | - | ✓ | - | - | - | ✓ | - |
| [9] | ✓ | - | - | ✓ | - | - | - | - | ✓ | - | - | - | - | - |
| [10] | ✓ | - | - | ✓ | - | ✓ | - | - | ✓ | - | - | - | ✓ | - |
| [12] | ✓ | - | - | - | ✓ | ✓ | - | - | ✓ | - | - | - | ✓ | ✓ |
| [17] | ✓ | - | - | ✓ | - | - | - | - | ✓ | - | - | - | - | ✓ |
| [19] | ✓ | - | - | - | - | - | - | ✓ | ✓ | - | - | - | - | ✓ |
| [21] | - | ✓ | - | - | - | - | ✓ | - | - | - | ✓ | - | - | |
| [24] | - | - | ✓ | - | ✓ | - | ✓ | - | - | - | ✓ | - | ✓ | - |
| [26] | - | - | ✓ | - | ✓ | - | ✓ | - | - | - | ✓ | - | ✓ | - |
| [31] | ✓ | - | - | ✓ | - | ✓ | - | - | ✓ | - | - | - | - | - |
| [33] | ✓ | - | - | ✓ | - | - | - | - | - | - | - | ✓ | - | - |
| [37] | ✓ | - | - | ✓ | ✓ | - | - | ✓ | - | ✓ | - | - | - | ✓ |
| Period | t = 1 | t = 2 | t = 3 | ||
|---|---|---|---|---|---|
| Energy supply cost (103 $/TJ) | Coal | [3.26,4.05,4.48] | [4.46,4.68,5.19] | [5.38,5.76,5.90] | |
| Coalbed methane | [6.36,6.86,6.96] | [7.14,7.42,7.77] | [7.98,8.18,8.38] | ||
| Units of energy carrier per units of power generation (TJ/GWh) | Coal | 9.23 | 9.06 | 8.89 | |
| Coalbed methane | 7.81 | 7.54 | 6.79 | ||
| Emission factor of the pollutant (tonne/GWh) | Coal | SOx | 3.9 | 3.315 | 2.702 |
| NOx | 3.6 | 3.06 | 2.6 | ||
| PM | 0.8 | 0.65 | 0.5 | ||
| Coalbed methane | SOx | 3.734 | 3.174 | 2.698 | |
| NOx | 1.881 | 1.599 | 1.359 | ||
| PM | 0.703 | 0.563 | 0.45 | ||
| Residual | Period | |||||||||
|---|---|---|---|---|---|---|---|---|---|---|
| Capacity | t = 1 | t = 2 | t = 3 | |||||||
| Capacity expansion options (GW) | m = 1 | m = 2 | m = 3 | m = 1 | m = 2 | m = 3 | m = 1 | m = 2 | m = 3 | |
| Coal | 59.43 | 2.2 | 6.55 | 10.9 | 2.2 | 6.55 | 10.9 | 2.2 | 6.55 | 10.9 |
| Coalbed methane | 3.88 | 3.12 | 5.12 | 7.12 | 3.12 | 5.12 | 7.12 | 3.12 | 5.12 | 7.12 |
| Wind | 8.72 | 5.28 | 6.28 | 7.28 | 5.28 | 6.28 | 7.28 | 5.28 | 6.28 | 7.28 |
| PV | 5.9 | 4.1 | 6.1 | 8.1 | 4.1 | 6.1 | 8.1 | 4.1 | 6.1 | 8.1 |
| Hydro | 2.44 | 0.6 | 1.35 | 2.07 | 0.6 | 1.35 | 2.07 | 0.6 | 1.35 | 2.07 |
| Retirement unit capacity of coal-fired (GW) | 7.86 | 12.6 | 10.13 | |||||||
© 2018 by the authors. Licensee MDPI, Basel, Switzerland. This article is an open access article distributed under the terms and conditions of the Creative Commons Attribution (CC BY) license (http://creativecommons.org/licenses/by/4.0/).
Share and Cite
Zhou, C.; Huang, G.; Chen, J. A Multi-Objective Energy and Environmental Systems Planning Model: Management of Uncertainties and Risks for Shanxi Province, China. Energies 2018, 11, 2723. https://doi.org/10.3390/en11102723
Zhou C, Huang G, Chen J. A Multi-Objective Energy and Environmental Systems Planning Model: Management of Uncertainties and Risks for Shanxi Province, China. Energies. 2018; 11(10):2723. https://doi.org/10.3390/en11102723
Chicago/Turabian StyleZhou, Changyu, Guohe Huang, and Jiapei Chen. 2018. "A Multi-Objective Energy and Environmental Systems Planning Model: Management of Uncertainties and Risks for Shanxi Province, China" Energies 11, no. 10: 2723. https://doi.org/10.3390/en11102723
APA StyleZhou, C., Huang, G., & Chen, J. (2018). A Multi-Objective Energy and Environmental Systems Planning Model: Management of Uncertainties and Risks for Shanxi Province, China. Energies, 11(10), 2723. https://doi.org/10.3390/en11102723

