Free Convection of Hybrid Nanofluids in a C-Shaped Chamber under Variable Heat Flux and Magnetic Field: Simulation, Sensitivity Analysis, and Artificial Neural Networks
Abstract
:1. Introduction
2. Hybrid Multi-Layer Perceptron Neural Network and Particle Swarm Optimization
2.1. Multi-Layered Artificial Neural Networks
2.2. Particle Swarm Optimization (PSO)
3. Problem Definition
4. Governing Equations
- -
- host liquid (pure water) and nano-sized particles Fe3O4-MWCNT are in thermal equilibrium;
- -
- nanoliquid is an incompressible and Newtonian liquid;
- -
- the liquid circulation is considered to be stable and 2D;
- -
- thermal transmission is done by thermogravitational convection and the radiation influence is assumed negligible.
- -
- T = Th, u = v = 0 on the walls of BC and AB;
- , u = v = 0 on the walls of DE and AJ;
- T = Tc, u = v = 0 on the walls of GJ, FG, and EF;
- , u = v = 0 on the walls of CD.
5. Solution of the Governing Equations
6. Network Independence Analysis
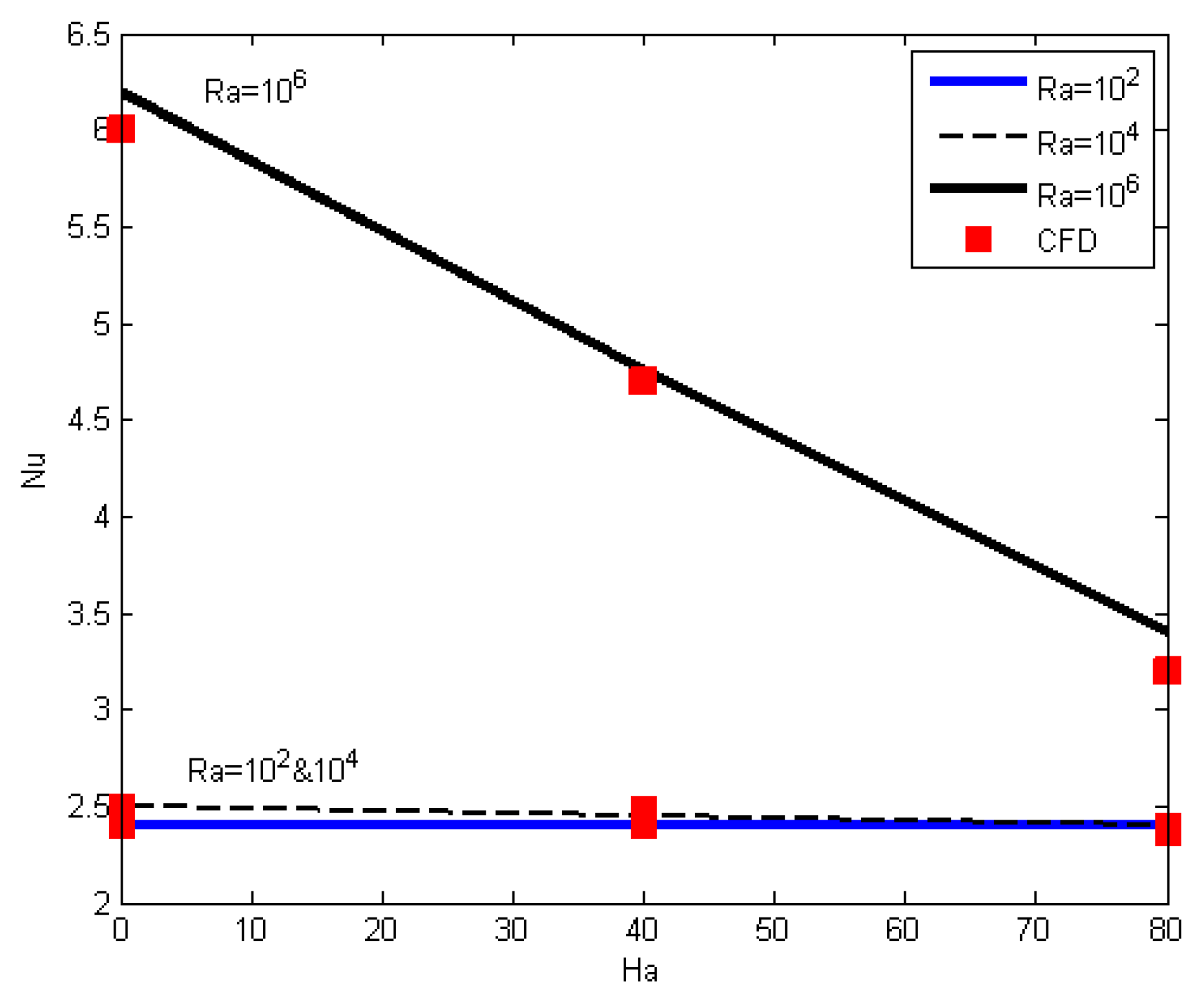
7. Validation of Results
8. ANN Error Analysis
9. Results and Discussion
10. Conclusions
- –
- The results obtained from the analysis of the Nusselt number by the ANN-PSO are in good harmony with the Nusselt obtained in CFD, suggesting the prediction accuracy of the optimal ANN.
- –
- The mean squared error in the ANN and ANN-PSO models was 0.35 and 0.22, respectively, indicating the accuracy of the latter.
- –
- The impact of five variables on Nu was investigated that among the variables studied. Ra and AR had the greatest effect on Nu so that Nu was increased with a growth of Ra and AR. Additionally, the data showed that increasing the Hartmann number for high Ra reduced the Nusselt number, while the changes in the Hartmann number did not significantly affect Nu for Ra between 104 and 106.
- –
- According to the results obtained, the use of a hybrid nanofluid instead of a mono nanofluid increases the heat transfer coefficient so that the Nusselt number increases in both low and high Rayleigh values.
Author Contributions
Funding
Conflicts of Interest
Abbreviations
| AR | aspect ratio |
| b1 | bias value for hidden layer |
| B0 | magnetic field strength (T) |
| c1, c2 | particle’s learning coefficients |
| Cp | specific heat at constant pressure (J/kg·K) |
| D | number of neurons |
| f | threshold function |
| F(X) | error function |
| g | gravitational acceleration (m/s2) |
| H | internal length of cavity (m) |
| Ha | Hartmann number |
| k | thermal conductivity (W/m·K) |
| L | external length of cavity (m) |
| Nu | Nusselt number |
| p | dimensional fluid pressure (Pa) |
| P | dimensionless pressure |
| particle position | |
| Pr | Prandtl number |
| heat flux at the bottom wall | |
| R2 | correlation coefficient |
| Ra | Rayleigh number |
| T | temperature (K) |
| u, v | dimensional velocity components in the x, y directions (m/s) |
| U, V | dimensionless velocity components |
| particle velocity | |
| w | network weighting parameters |
| particle’s best position | |
| x, y | Cartesian coordinates (m) |
| X, Y | dimensionless coordinates |
| Xi | neurons in the input layer |
| Yactual | real output |
| Ypredicted | predicted output |
| mean of the actual values | |
| Greek symbols | |
| α | inclination angle (deg) |
| αf | thermal diffusivity (m2/s) |
| β | thermal expansion coefficient (1/K) |
| φ | nanoparticles volume fraction |
| σ | effective electrical conductivity (1/X·m) |
| θ | dimensionless temperature |
| νf | kinematic viscosity (m2/s) |
| ρ | density (kg/m3) |
| μ | viscosity (mPa·s) |
| ω | inertia weight |
| Subscripts | |
| f | base fluid |
| loc | local |
| nf | nanofluid |
| np | nanoparticles |
References
- Choi, S.U.S. Enhancing thermal conductivity of fluids with nanoparticles. In Developments Applications of Non-NewtonianFlows; ASME: San Francisco, CA, USA, 1995; Volume 231, pp. 99–105. [Google Scholar]
- Izadi, M.; Shahmardan, M.M.; Behzadmehr, A. Richardson number ratio effect on laminar mixed convection of a nanofluid flow in an annulus. Int. J. Comput. Methods Eng. Sci. Mech. 2013, 14, 304–316. [Google Scholar] [CrossRef]
- Izadi, M.; Behzadmehr, A.; Shahmardan, M.M. Effects of inclination angle on laminar mixed convection of a nanofluid flowing through an annulus. Chem. Eng. Commun. 2015, 202, 1693–1702. [Google Scholar] [CrossRef]
- Izadi, M.; Behzadmehr, A.; Shahmardan, M.M. Effects of inclination angle on mixed convection heat transfer of a nanofluid in a square cavity. Int. J. Comput. Methods Eng. Sci. Mech. 2015, 16, 11–21. [Google Scholar] [CrossRef]
- Izadi, M.; Shahmardan, M.M.; Norouzi, M.; Rashidi, A.M.; Behzadmehr, A. Cooling performance of a nanofluid flow in a heat sink microchannel with axial conduction effect. Appl. Phys. A Mater. Sci. Process. 2014, 117, 1821–1833. [Google Scholar] [CrossRef]
- Izadi, M.; Mohebbi, R.; Chamkha, A.; Pop, I. Effects of cavity and heat source aspect ratios on natural convection of a nanofluid in a C-shaped cavity using Lattice Boltzmann method. Int. J. Numer. Methods Heat Fluid Flow 2018, 28, 1930–1955. [Google Scholar] [CrossRef]
- Mehryan, S.; Ghalambaz, M.; Izadi, M. Conjugate natural convection of nanofluids inside an enclosure filled by three layers of solid, porous medium and free nanofluid using Buongiorno’s and local thermal non-equilibrium models. J. Therm. Anal. Calorim. 2019, 135, 1047–1067. [Google Scholar] [CrossRef]
- Mohebbi, R.; Izadi, M.; Delouei, A.A.; Sajjadi, H. Effect of MWCNT–Fe3O4/water hybrid nanofluid on the thermal performance of ribbed channel with apart sections of heating and cooling. J. Therm. Anal. Calorim. 2019, 135, 3029–3042. [Google Scholar] [CrossRef]
- Izadi, M.; Sinaei, S.; Mehryan, S.; Oztop, H.F.; Abu-Hamdeh, N. Natural convection of a nanofluid between two eccentric cylinders saturated by porous material: Buongiorno’s two phase model. Int. J. Heat Mass Transf. 2018, 127, 67–75. [Google Scholar] [CrossRef]
- Mehryan, S.; Izadi, M.; Chamkha, A.J.; Sheremet, M.A. Natural convection and entropy generation of a ferrofluid in a square enclosure under the effect of a horizontal periodic magnetic field. J. Mol. Liq. 2018, 263, 510–525. [Google Scholar] [CrossRef]
- Izadi, M.; Mohebbi, R.; Delouei, A.A.; Sajjadi, H. Natural convection of a magnetizable hybrid nanofluid inside a porous enclosure subjected to two variable magnetic fields. Int. J. Mech. Sci. 2019, 151, 154–169. [Google Scholar] [CrossRef]
- Izadi, M.; Mehryan, S.; Sheremet, M.A. Natural convection of CuO-water micropolar nanofluids inside a porous enclosure using local thermal non-equilibrium condition. J. Taiwan Inst. Chem. Eng. 2018, 88, 89–103. [Google Scholar] [CrossRef]
- Sajjadi, H.; Delouei, A.A.; Izadi, M.; Mohebbi, R. Investigation of MHD natural convection in a porous media by double MRT lattice Boltzmann method utilizing MWCNT–Fe3O4/water hybrid nanofluid. Int. J. Heat Mass Transf. 2019, 132, 1087–1104. [Google Scholar] [CrossRef]
- Mehryan, S.; Sheremet, M.A.; Soltani, M.; Izadi, M. Natural convection of magnetic hybrid nanofluid inside a double-porous medium using two-equation energy model. J. Mol. Liq. 2019, 277, 959–970. [Google Scholar] [CrossRef]
- Izadi, M.; Pour, S.H.; Yasuri, A.K.; Chamkha, A.J. Mixed convection of a nanofluid in a three-dimensional channel: Effect of opposed buoyancy force on hydrodynamic parameters, thermal parameters and entropy generation. J. Therm. Anal. Calorim. 2019, 136, 2461–2475. [Google Scholar] [CrossRef]
- Izadi, M.; Maleki, N.M.; Pop, I.; Mehryan, S. Natural convection of a hybrid nanofluid subjected to non-uniform magnetic field within porous medium including circular heater. Int. J. Numer. Methods Heat Fluid Flow 2019, 29, 1211–1231. [Google Scholar] [CrossRef]
- Izadi, M.; Javanahram, M.; Zadeh, S.M.H.; Jing, D. Hydrodynamic and heat transfer properties of magnetic fluid in porous medium considering nanoparticle shapes and magnetic field-dependent viscosity. Chin. J. Chem. Eng. 2019. [Google Scholar] [CrossRef]
- Sajid, M.U.; Ali, H.M. Recent advances in application of nanofluids in heat transfer devices: A critical review. Renew. Sustain. Energy Rev. 2019, 103, 556–592. [Google Scholar] [CrossRef]
- Assael, M.J.; Antoniadis, K.D.; Wakeham, W.A.; Zhang, X. Potential applications of nanofluids for heat transfer. Int. J. Heat Mass Transf. 2019, 138, 597–607. [Google Scholar] [CrossRef]
- Huminic, G.; Huminic, A. Hybrid nanofluids for heat transfer applications—A state-of-the-art review. Int. J. Heat Mass Transf. 2018, 125, 82–103. [Google Scholar] [CrossRef]
- Khanafer, K.; Vafai, K.; Lightstone, M. Buoyancy-Driven heat transfer enhancement in a two-dimensional enclosure utilizing nanofluids. Int. J. Heat Mass Transf. 2003, 46, 3639–3653. [Google Scholar] [CrossRef]
- Ganvir, R.B.; Walke, P.V.; Kriplani, V.M. Heat transfer characteristics in nanofluid—A review. Renew. Sustain. Energy Rev. 2017, 75, 451–460. [Google Scholar] [CrossRef]
- Kalidasan, K.; Rajesh Kanna, P. Effective utilization of MWCNT-water nanofluid for enhancement of laminar natural convection inside the open square enclosure. J. Taiwan Inst. Chem. Eng. 2016, 65, 331–340. [Google Scholar] [CrossRef]
- Hasanuzzaman, M.; Oztop, H.F.; Rahman, M.M.; Rahim, N.A.; Saidur, R.; Varol, Y. Magnetohydrodynamic natural convection in trapezoidal cavities. Int. Commun. Heat Mass Transf. 2012, 39, 1384–1394. [Google Scholar] [CrossRef]
- Sheremet, M.A.; Cimpean, D.S.; Pop, I. Free convection in a partially heated wavy porous cavity filled with a nanofluid under the effects of Brownian diffusion and thermophoresis. Appl. Therm. Eng. 2017, 113, 413–418. [Google Scholar] [CrossRef]
- Kasaeipoor, A.; Ghasemi, B.; Aminossadati, S.M. Convection of Cu-water nanofluid in a vented T-shaped cavity in the presence of magnetic field. Int. J. Therm. Sci. 2015, 94, 50–60. [Google Scholar] [CrossRef]
- Rudraiah, N.; Barron, R.M.; Venkatachalappa, M.; Subbaraya, C.K. Effect of a magnetic field on free convection in a rectangular enclosure. Int. J. Eng. Sci. 1995, 33, 1075–1084. [Google Scholar] [CrossRef]
- Makulati, N.; Kasaeipoor, A.; Rashidi, M.M. Numerical study of natural convection of a water–alumina nanofluid in inclined C-shaped enclosures under the effect of magnetic field. Adv. Powder Technol. 2016, 27, 661–672. [Google Scholar] [CrossRef]
- Sidik, N.A.C.; Adamu, I.M.; Jamil, M.M.; Kefayati, G.H.R.; Mamat, R.; Najafi, G. Recent progress on hybrid nanofluids in heat transfer applications: A comprehensive review. Int. Commun. Heat Mass Transf. 2016, 78, 68–79. [Google Scholar] [CrossRef]
- Sundar, L.S.; Singh, M.K.; Sousa, A.C.M. Enhanced heat transfer and friction factor of MWCNT–Fe3O4/water hybrid nanofluids. Int. Commun. Heat Mass Transf. 2014, 52, 73–83. [Google Scholar] [CrossRef]
- Suresh, S.; Venkitaraj, K.P.; Selvakumar, P.; Chandrasekar, M. Effect of Al2O3-Cu/water hybrid nanofluid in heat transfer. Exp. Therm. Fluid Sci. 2012, 38, 54–60. [Google Scholar] [CrossRef]
- Rahimpour, N.; Moraveji, M.K. Free convection of water–Fe3O4 nanofluid in an inclined cavity subjected to a magnetic field: CFD modeling, sensitivity analysis. Adv. Powder Technol. 2017, 28, 1573–1584. [Google Scholar] [CrossRef]
- Islamoglu, Y.; Kurt, A. Heat transfer analysis using ANNs with experimental data for air flowing in corrugated channels. Int. J. Heat Mass Transf. 2004, 47, 1361–1365. [Google Scholar] [CrossRef]
- Esfe, M.H.; Saedodin, S.; Bahiraei, M.; Toghraie, D.; Mahian, O.; Wongwises, S. Thermal conductivity modeling of MgO/EG nanofluids using experimental data and artificial neural network. J. Therm. Anal. Calorim. 2014, 118, 287–294. [Google Scholar] [CrossRef]
- Ahmadi, M.H.; Tatar, A.; Seifaddini, P.; Ghazvini, M.; Ghasempour, R.; Sheremet, M.A. Thermal conductivity and dynamic viscosity modeling of Fe2O3/water nanofluid by applying various connectionist approaches. Numer. Heat Transf. A 2018, 74, 1301–1322. [Google Scholar] [CrossRef]
- Pham, D.T.; Liu, X. Neural Networks for Identification, Prediction and Control; Springer: Berlin, Germany, 1995. [Google Scholar]
- Assareh, E.; Behrang, M.A.; Assari, M.R.; Ghanbarzadeh, A. Application of PSO (particle swarm optimization) and GA (genetic algorithm) techniques on demand estimation of oil in Iran. Energy 2010, 35, 5223–5229. [Google Scholar] [CrossRef]
- Siddiqui, F.R.; Tso, C.Y.; Chan, K.C.; Fu, S.C.; Chao, C.Y.H. On trade-off for dispersion stability and thermal transport of Cu-Al2O3 hybrid nanofluid for various mixing ratios. Int. J. Heat Mass Transf. 2019, 132, 1200–1216. [Google Scholar] [CrossRef]
- Babu, J.A.R.; Kumar, K.K.; Rao, S.S. State-of-art review on hybrid nanofluids. Renew. Sustain. Energy Rev. 2017, 77, 551–565. [Google Scholar] [CrossRef]
- Armaghani, T.; Kasaeipoor, A.; Izadi, M.; Pop, I. MHD natural convection and entropy analysis of a nanofluid inside T-shaped baffled enclosure. Int. J. Numer. Methods Heat Fluid Flow 2018, 28, 2916–2941. [Google Scholar] [CrossRef]
- Brinkman, H.C. The viscosity of concentrated suspensions and solutions. J. Chem. Phys. 1952, 20, 571. [Google Scholar] [CrossRef]
- Sundar, L.S.; Sousa, A.C.M.; Singh, M.K. Heat transfer enhancement of low volume concentration of carbon nanotube-Fe3O4/water hybrid nanofluids in a tube with twisted tape inserts under turbulent flow. J. Therm. Sci. Eng. Appl. 2015, 7, 021015. [Google Scholar] [CrossRef]









| Parameters | |
|---|---|
| Number of Particles | 400 |
| Iterations | 240 |
| (c1) | 2 |
| (c2) | 2 |
| (ω) | 0.99 |
| Properties | Mono Nanoliquid | MWCNT-Fe3O4/Water |
|---|---|---|
| Density | ||
| Specific heat capacity | ||
| Thermal expansion coefficient | ||
| Electrical conductivity |
| Volume Fraction (%) | T (°C) | k (W m−1·K−1) | μ (mPa·s) |
|---|---|---|---|
| φ = 0.0 (host fluid) | 20 | 0.602 | 0.79 |
| 40 | 0.631 | 0.54 | |
| φ = 0.1 | 20 | 0.6734 | 0.91 |
| 40 | 0.72 | 0.61 | |
| φ = 0.3 | 20 | 0.6856 | 1.01 |
| 40 | 0.7656 | 0.76 |
| σ (Ω−1·m−1) | β (K−1) | K (W m−1·K−1) | C (J kg−1·K−1) | ρ (kg·m−3) | Media |
|---|---|---|---|---|---|
| 0.05 | 2.10 × 10−4 | 0.613 | 4179 | 997.1 | H2O |
| 25,000 | 1.30 × 10−5 | 6 | 670 | 5200 | Fe3O4 |
| 19,900 | 2.17 × 10−5 | 30 | 855 | 4100 | Al2O3 |
| Nu | Ra | AR | |||||
|---|---|---|---|---|---|---|---|
| Extra Fine | Finer | Fine | Normal | Coarse | Coarser | ||
| 0.87 | 0.87 | 0.87 | 0.87 | 0.88 | 0.88 | 102 | 0.2 |
| 0.092 | 0.092 | 0.092 | 0.093 | 0.093 | 0.094 | 104 | 0.2 |
| 0.243 | 0.243 | 0.244 | 0.245 | 0.246 | 0.248 | 106 | 0.2 |
| 2.53 | 2.53 | 2.53 | 2.54 | 2.54 | 2.55 | 102 | 0.05 |
| 2.65 | 2.65 | 2.66 | 2.67 | 2.68 | 2.60 | 104 | 0.05 |
| 4.73 | 4.75 | 4.76 | 4.77 | 4.79 | 4.81 | 106 | 0.05 |
© 2019 by the authors. Licensee MDPI, Basel, Switzerland. This article is an open access article distributed under the terms and conditions of the Creative Commons Attribution (CC BY) license (http://creativecommons.org/licenses/by/4.0/).
Share and Cite
Bagheri, H.; Behrang, M.; Assareh, E.; Izadi, M.; Sheremet, M.A. Free Convection of Hybrid Nanofluids in a C-Shaped Chamber under Variable Heat Flux and Magnetic Field: Simulation, Sensitivity Analysis, and Artificial Neural Networks. Energies 2019, 12, 2807. https://doi.org/10.3390/en12142807
Bagheri H, Behrang M, Assareh E, Izadi M, Sheremet MA. Free Convection of Hybrid Nanofluids in a C-Shaped Chamber under Variable Heat Flux and Magnetic Field: Simulation, Sensitivity Analysis, and Artificial Neural Networks. Energies. 2019; 12(14):2807. https://doi.org/10.3390/en12142807
Chicago/Turabian StyleBagheri, Hamed, Mohammadali Behrang, Ehsanolah Assareh, Mohsen Izadi, and Mikhail A. Sheremet. 2019. "Free Convection of Hybrid Nanofluids in a C-Shaped Chamber under Variable Heat Flux and Magnetic Field: Simulation, Sensitivity Analysis, and Artificial Neural Networks" Energies 12, no. 14: 2807. https://doi.org/10.3390/en12142807
APA StyleBagheri, H., Behrang, M., Assareh, E., Izadi, M., & Sheremet, M. A. (2019). Free Convection of Hybrid Nanofluids in a C-Shaped Chamber under Variable Heat Flux and Magnetic Field: Simulation, Sensitivity Analysis, and Artificial Neural Networks. Energies, 12(14), 2807. https://doi.org/10.3390/en12142807

