Reference and Limit Governors for Limit Protection of Turbofan Engines
Abstract
1. Introduction
2. Turbofan Engine Control Method and Prediction Model
2.1. Augment LQ Tracking Controllers for Discrete Systems
2.2. Modeling Methods of the Closed-Loop System
- (1)
- Establish a linearized turbofan engine model at an equilibrium point by hybrid fitting method.
- (2)
- Design a nominal tracking controller at the same equilibrium point.
- (3)
- The initials matrices of the closed-loop system prediction model are given by substituting the controller into the linearized model.
- (4)
- The closed-loop system prediction model matrices are tuned to the outputs differences of the closed-loop system and closed-loop system prediction model at the equilibrium point by fitting method. In the end, the closed loop system prediction model is established as:where matrices and are re-computed matrices.
3. Reference Governors with Limit Governors
3.1. Reference Governors
3.2. Constraints and Limit Governors
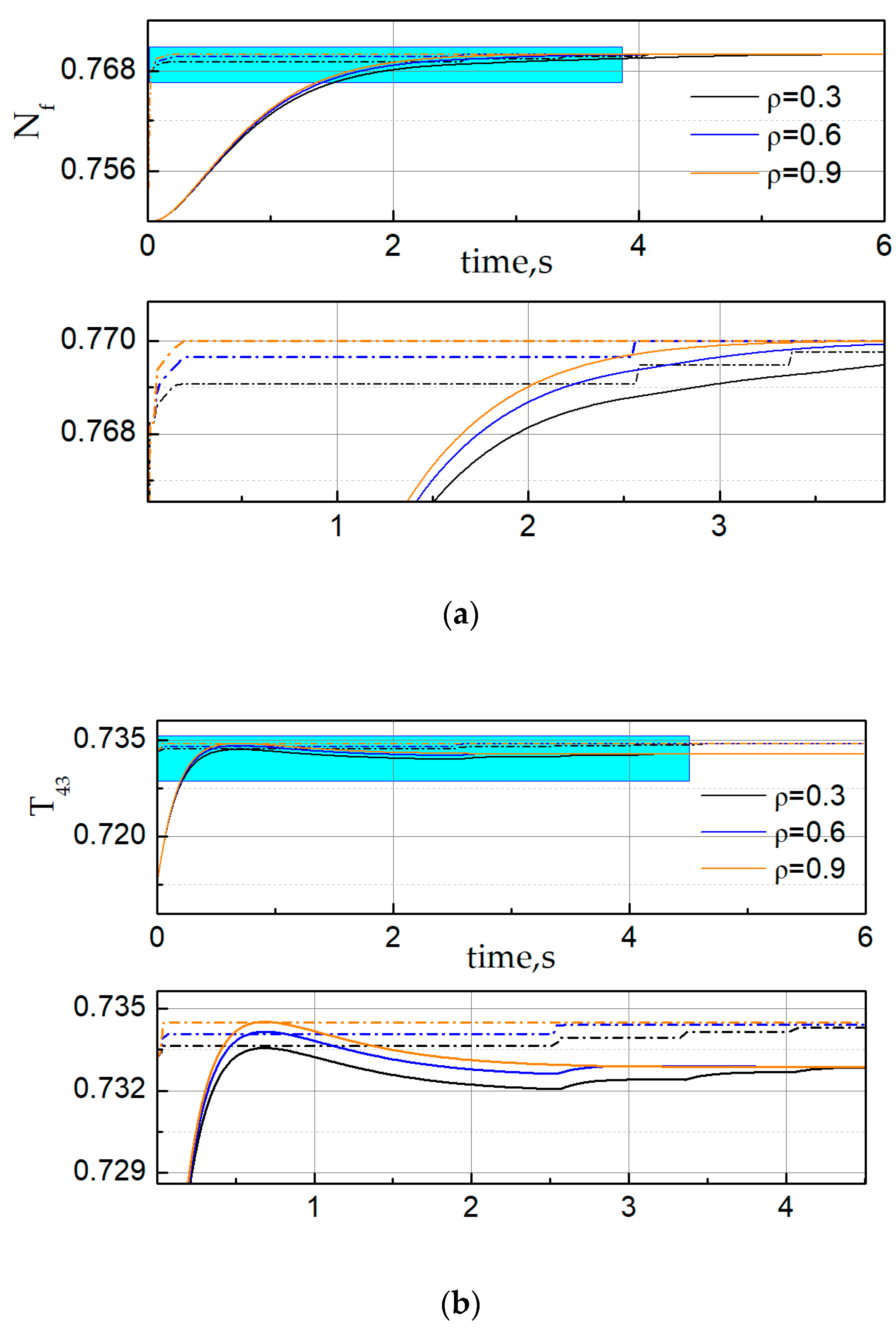
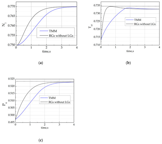
4. Simulation Results and Discussion
5. Conclusions
Author Contributions
Funding
Conflicts of Interest
References
- Richter, H. Advanced Control of Turbofan Engines; Springer: New York, NY, USA, 2012; pp. 137–147. [Google Scholar]
- Jaw, L.; Mattingly, J. Aircraft Engine Controls: Design, System Analysis, and Health Monitoring; American Institute of Aeronautics & Astronautics (AIAA): Reston, VA, USA, 2009; pp. 136–138. [Google Scholar]
- May, R.D.; Garg, S. Reducing conservatism in aircraft engine response using conditionally active min-max limit regulators. In Proceedings of the ASME Turbo Expo: Turbine Technical Conference and Exposition, Copenhagen, Denmark, 11–15 June 2012. [Google Scholar]
- Du, X.; Richter, H.; Guo, Y. Multivariable sliding-mode strategy with output constraints for aeroengine propulsion control. J. Guid. Control. Dyn. 2016, 39, 1631–1642. [Google Scholar] [CrossRef]
- Richter, H. Multiple sliding modes with override logic: Limit management in aircraft engine controls. J. Guid. Control. Dyn. 2012, 35, 1132–1142. [Google Scholar] [CrossRef]
- Qin, J.; Huang, J.; Pan, M. An optimal augmented monotonic tracking controller for aircraft engines with output constraints. Energies 2017, 10, 73. [Google Scholar] [CrossRef]
- Du, X.; Sun, X.-M.; Wang, Z.-M.; Dai, A.-N. A scheduling scheme of linear model predictive controllers for turbofan engines. IEEE Access 2017, 5, 24533–24541. [Google Scholar] [CrossRef]
- Richter, H.; Singaraju, A.V.; Litt, J.S. Multiplexed predictive control of a large commercial turbofan engine. J. Guid. Control. Dyn. 2008, 31, 273–281. [Google Scholar] [CrossRef]
- Kolmanovsky, I.; Merill, W. Limit protection in gas turbine engines based on reference and extended command governors. In Proceedings of the 50th AIAA/ASME/SAE/ASEE Joint Propulsion Conference, Cleveland, OH, USA, 28–30 July 2014. [Google Scholar]
- Kolmanovsky, I.; Weiss, A.; Merrill, W. Incorporating risk into control design for emergency operation of turbo-fan engines. In Proceedings of the Infotech@Aerospace 2011, St. Louis, MO, USA, 29–31 March 2011. [Google Scholar]
- Kolmanovsky, I.V.; Jaw, L.C.; Merrill, W.; Van, H.T. Robust control and limit protection in aircraft gas turbine engines. In Proceedings of the IEEE International Conference on Control Applications, Dubrovnik, Croatia, 3–5 October 2012. [Google Scholar]
- Tee, K.P.; Ge, S.S.; Tay, E.H. Barrier lyapunov functions for the control of output-constrained nonlinear systems. Automatica 2009, 45, 918–927. [Google Scholar] [CrossRef]
- Tian, Y.; Kolmanovsky, I. Reduced order and prioritized reference governors for limit protection in aircraft gas turbine engines. In Proceedings of the AIAA Guidance, Navigation, and Control Conference, National Harbor, MD, USA, 13–17 January 2014. [Google Scholar]
- Gong, X.; Kolmanovsky, I.; Garone, E.; Zaseck, K.; Chen, H. Constrained control of free piston engine generator based on implicit reference governor. Sci. China Inf. Sci. 2018, 61. [Google Scholar] [CrossRef]
- Hui, Y.; Mou, C.; Wu, Q.X. Flight envelope protection control based on reference governor method in high angle of attack maneuver. Math. Probl. Eng. 2015, 2015, 1–15. [Google Scholar] [CrossRef]
- Kalabic, U.V.; Buckland, J.H.; Cooper, S.L.; Wait, S.K.; Kolmanovsky, I.V. Reference governors for enforcing compressor surge constraints. IEEE Trans. Control Syst. Technol. 2016, 24, 1729–1739. [Google Scholar] [CrossRef]
- Garone, E.; Di Cairano, S.; Kolmanovsky, I. Reference and command governors for systems with constraints: A survey on theory and applications. Automatica 2017, 75, 306–328. [Google Scholar] [CrossRef]
- Kalabić, U.; Chitalia, Y.; Buckland, J.; Kolmanovsky, I. Prioritization schemes for reference and command governors. In Proceedings of the European Control Conference (ECC), Zürich, Switzerland, 17–19 July 2013. [Google Scholar]
- Gilbert, E.G.; Ong, C.-J. Constrained linear systems with hard constraints and disturbances: An extended command governor with large domain of attraction. Automatica 2011, 47, 334–340. [Google Scholar] [CrossRef]
- Guo, T.-H.; Litt, J.S. Risk management for intelligent fast engine response control. In Proceedings of the AIAA Infotech@Aerospace Conference, Seattle, WA, USA, 6–9 April 2009. [Google Scholar]
- Lu, F.; Zheng, W.; Huang, J.; Feng, M. Life cycle performance estimation and in-flight health monitoring for gas turbine engine. J. Dyn. Syst. Meas. Control 2016, 138. [Google Scholar] [CrossRef]
- Zhou, W.X. Research on Object-Oriented Modeling and Simulation for Aeroengine and Control System. Ph.D. Dissertation, Nanjing University of Aeronautics and Astronautics, Nanjing, China, 2007. [Google Scholar]
- Pang, S.; Li, Q.; Zhang, H.B. An exact derivative based aero-engine modelling method. IEEE Access 2018, 6, 34516–34526. [Google Scholar] [CrossRef]
- Pan, M.; Cao, L.; Zhou, W.; Huang, J.; Chen, Y.-H. Robust decentralized control design for aircraft engines: A fractional type. Chin. J. Aeronaut. 2019, 32, 347–360. [Google Scholar] [CrossRef]
- Tang, L.; Huang, J.; Pan, M. Switching LPV control with double-layer LPV model for aero-engines. Int. J. Turbo Jet-Engines 2016, 34, 313–320. [Google Scholar] [CrossRef]
- Lu, F.; Qian, J.; Huang, J.; Qiu, X. In-flight adaptive modeling using polynomial lpv approach for turbofan engine dynamic behavior. Aerosp. Sci. Technol. 2017, 64, 223–236. [Google Scholar] [CrossRef]
- Lin, Y.H.; Zhang, H.B. Establishment of state variable model of aeroengine with improved least square fitting. Appl. Mech. Mater. 2010, 40–41, 27–33. [Google Scholar] [CrossRef]
- Kalabic, U. Reference Governors: Theoretical Extensions and Practical Applications; Ford Motor Company: Dearborn, MI, USA, 2015. [Google Scholar]
- Gilbert, E.G.; Tan, K.T. Linear systems with state and control constraints: The theory and application of maximal output admissible sets. IEEE Trans. Autom. Control 1991, 36, 1008–1020. [Google Scholar] [CrossRef]








© 2019 by the authors. Licensee MDPI, Basel, Switzerland. This article is an open access article distributed under the terms and conditions of the Creative Commons Attribution (CC BY) license (http://creativecommons.org/licenses/by/4.0/).
Share and Cite
Xu, W.; Pan, M.; Qin, J.; Huang, J. Reference and Limit Governors for Limit Protection of Turbofan Engines. Energies 2019, 12, 2803. https://doi.org/10.3390/en12142803
Xu W, Pan M, Qin J, Huang J. Reference and Limit Governors for Limit Protection of Turbofan Engines. Energies. 2019; 12(14):2803. https://doi.org/10.3390/en12142803
Chicago/Turabian StyleXu, Wenhao, Muxuan Pan, Jiakun Qin, and Jinquan Huang. 2019. "Reference and Limit Governors for Limit Protection of Turbofan Engines" Energies 12, no. 14: 2803. https://doi.org/10.3390/en12142803
APA StyleXu, W., Pan, M., Qin, J., & Huang, J. (2019). Reference and Limit Governors for Limit Protection of Turbofan Engines. Energies, 12(14), 2803. https://doi.org/10.3390/en12142803

