CFD Simulations of the Propagation of Free-Surface Waves Past Two Side-By-Side Fixed Squares with a Narrow Gap
Abstract
1. Introduction
2. Numerical Modeling and Setup
2.1. Governing Equations
2.2. Free Surface Capturing
2.3. The Numerical Wave Flume
2.4. The Post-Processing
3. Simulation Cases
3.1. Numerical Wave Flumes
3.2. Simulation Cases
3.3. Boundary Conditions
4. Mesh and Time-Step Refinement Studies
5. Results and Discussions
5.1. The Influences of Incident Wave Frequencies
5.2. The Influences of Gap Width
6. Conclusions
- For the cases of free surface waves past through twin alongside placed 2-D identical rectangular squares, the laminar model with the volume of fluid method was able to predict the gap resonance amplitudes, the viscous dissipation effects, and wave forces on the structures accurately when the KC number was small (e.g., , where is the incident wave amplitude and is the gap width).
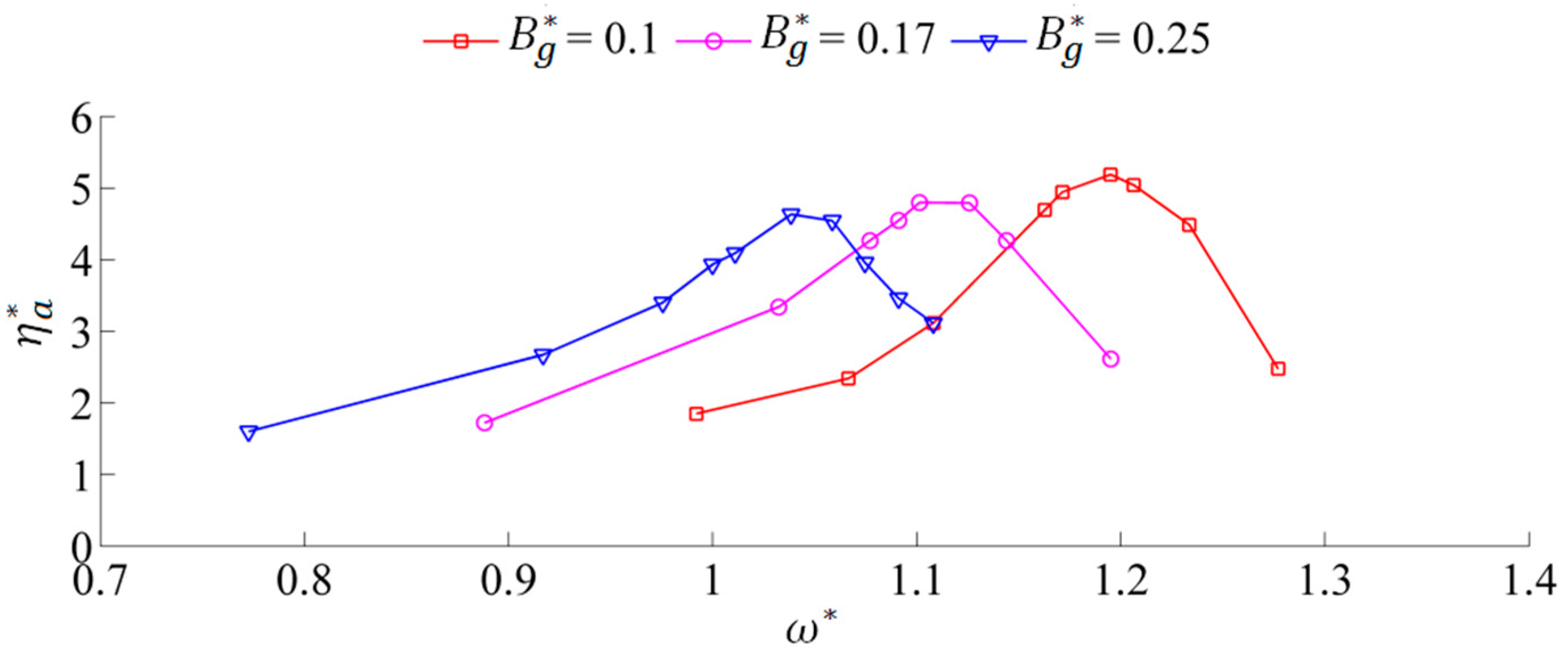
- As the incident wave frequency increased, the surface elevation amplitude inside the gap first increased and then decreased, a tendency which is in accordance with resonance phenomena. The horizontal force amplitude on the lee side square structure changed in-phase with the elevation amplitude inside the gap, while the horizontal force amplitude on the weather side structure reached the peak value at a larger frequency than the gap resonance frequency.
- In present simulations, the phase retardation of the elevation inside the gap relative to the wave phase in front of the weather side structure satisfied the phase-frequency characteristics of the vibration system and determined the change tendency of the horizontal force amplitude on the weather side structure. To be specific, the horizontal wave force on the left side of the weather side structure and the horizontal force on the right side of the structure (induced by the fluid inside the gap) counteracted each other when the wave frequency was smaller than the gap resonance frequency. This resulted in a smaller horizontal force amplitude on the structure than the horizontal fluid force inside the gap. The forces on each side of the structure mutually promoted when the incident wave frequency was larger than gap resonance frequency, making the peak frequency of the horizontal force on the structure fall behind the gap resonance frequency.
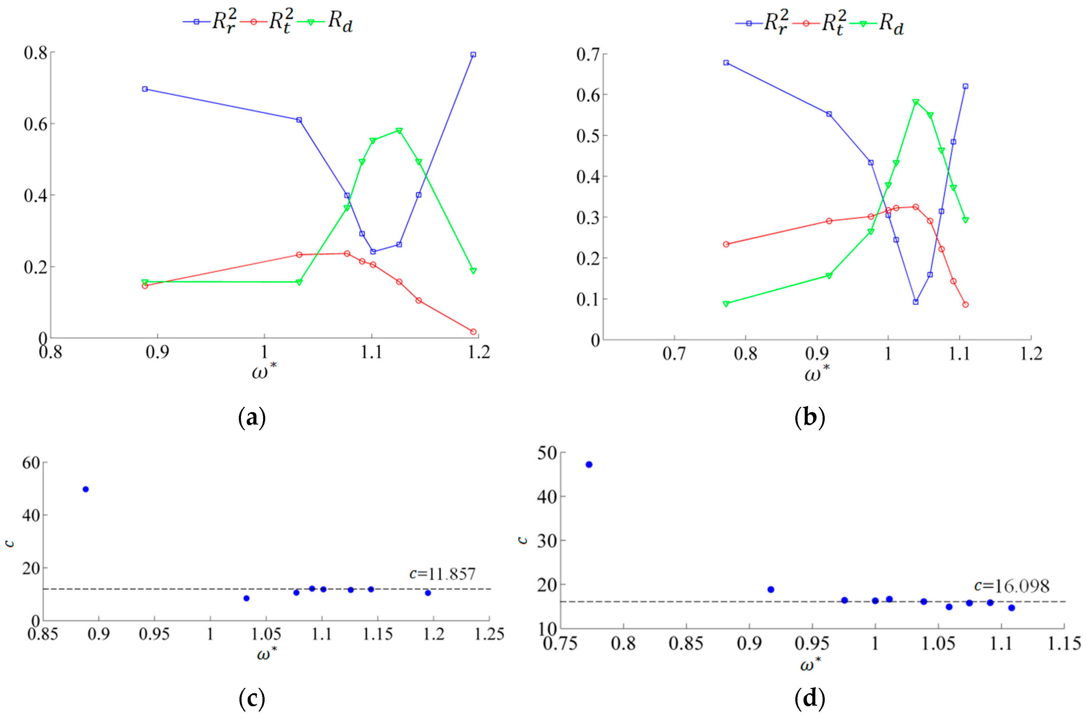
- The increase of the gap width resulted in the increase of the added mass and reduced the resonance frequency. Moreover, as the gap width increased, the decrease of resonance amplitude in the gap did not necessarily reduce the peak value of the horizontal forces on the squares.
- As the gap width increased, the viscous dissipation and the sloshing mode flow inside the gap both became stronger.
Author Contributions
Acknowledgments
Conflicts of Interest
Nomenclature
| The subscripts | |
| The parameter of the incident wave | |
| The parameter of the reflected wave | |
| The parameter of the transmitted wave | |
| The subscript for the wave energy dissipation ratio | |
| The resonance parameter of the surface elevation in the gap | |
| The horizontal physical quantity | |
| The horizontal physical quantity produced by waves | |
| xg | The horizontal physical quantity produced by the fluid vibration in the gap |
| 1 | The hydrodynamic parameter for the square structure 1 |
| 2 | The hydrodynamic parameter for the square structure 2 |
| The flow parameters | |
| The fluid density | |
| The dynamic viscosity coefficient | |
| The time | |
| The flow velocity | |
| The fluid pressure | |
| The excessive pressure | |
| The water volume fraction | |
| The general symbol of the fluid variables , , and | |
| The gravity vector | |
| The gravitational acceleration | |
| The geometrical parameters | |
| The water depth | |
| The breadth of the square structures | |
| The gap width between the square structures | |
| The draft of the square structures | |
| The hydrodynamic parameters | |
| The wave amplitude | |
| The wave height | |
| The wave frequency | |
| The dimensionless wave frequency, | |
| The wave period | |
| The dimensionless time coordinate, , where is the start time | |
| The wave length | |
| The wave number | |
| The instantaneous surface elevation in the gap | |
| The dimensionless (normalized) surface elevation in the gap, | |
| The surface elevation amplitude in the gap | |
| The dimensionless surface elevation amplitude in the gap, | |
| The instantaneous force on the square structures | |
| The instantaneous force on the square structures | |
| The dimensionless force magnitude, | |
| The force amplitude on the square structures | |
| The dimensionless force amplitude, | |
| The mass of the fluid in the gap | |
| The added mass of the fluid motion in the gap | |
| The damping coefficient of the fluid motion in the gap | |
| The stiffness of the fluid motion in the gap | |
| The wave reflection ratio | |
| The wave transmission ratio | |
| The wave dissipation ratio | |
| The wave phase of the surface elevation in the gap | |
| The wave phase in front of the square structure 1 | |
| The phase leg of the surface elevation inside the gap, | |
References
- Saitoh, T.; Miao, G.P.; Ishida, H. Theoretical analysis on appearance condition of fluid resonance in a narrow gap between two modules of very large floating structure. In Proceedings of the 3rd Asia-Pacific Workshop on Marine Hydrodynamics, Beijing, China, 27 June 2006; pp. 170–175. [Google Scholar]
- Molin, B. On the piston and sloshing modes in moonpools. J. Fluid Mech. 2001, 430, 27–50. [Google Scholar] [CrossRef]
- Liu, Y.; Li, H.J. A new semi-analytical solution for gap resonance between twin rectangular boxes. Proc. Inst. Mech. Eng. Part M J. Eng. Marit. Environ. 2014, 228, 3–16. [Google Scholar] [CrossRef]
- Tan, L.; Tang, G.Q.; Zhou, Z.B.; Cheng, L.; Chen, X.; Lu, L. Theoretical and numerical investigations of wave resonance between two floating bodies in close proximity. J. Hydrodyn. 2017, 29, 805–816. [Google Scholar] [CrossRef]
- Iwata, H.; Saitoh, T.; Miao, G.P. Fluid resonance in narrow gap of very large floating structure composed of regular modules. In Proceedings of the Fourth International Conference on Asian and Pacific Coasts, Nanjing, China, 21–24 September 2007; pp. 815–826. [Google Scholar]
- Cong, L.; Teng, B.; Gou, Y. Analytical analysis of the fundamental frequency of 2D gap resonance. J. Harbin Eng. Univ. 2015, 36, 882–887. [Google Scholar]
- Faltinsen, O.M.; Rognebakke, O.F.; Timokha, A.N. Two-dimensional resonant piston-like sloshing in a moonpool. J. Fluid Mech. 2007, 575, 359–397. [Google Scholar] [CrossRef]
- Kristiansen, T.; Faltinsen, O.M. A two-dimensional numerical and experimental study of resonant coupled ship and piston-mode motion. Appl. Ocean Res. 2010, 32, 158–176. [Google Scholar] [CrossRef]
- Huijsmans, R.H.M.; Pinkster, J.A.; De Wilde, J.J. Diffraction and radiation of waves around side-by-side moored vessels. In Proceedings of the Eleventh International Offshore and Polar Engineering Conference, Stavanger, Norway, 17–22 June 2001. [Google Scholar]
- Newman, J.N. Wave effects on multiple bodies. Hydrodyn. Ship Ocean Eng. 2001, 3, 3–26. [Google Scholar]
- Chen, X.B. Hydrodynamic analysis for offshore LNG terminals. In Proceedings of the 2nd International Workshop on Applied Offshore Hydrodynamics, Rio de Janeiro, Brazil, 14–15 April 2005. [Google Scholar]
- Kristiansen, T.; Faltinsen, O.M. Application of a vortex tracking method to the piston-like behaviour in a semi-entrained vertical gap. Appl. Ocean Res. 2008, 30, 1–16. [Google Scholar] [CrossRef]
- Kristiansen, T.; Faltinsen, O.M. Gap resonance analyzed by a new domain-decomposition method combining potential and viscous flow DRAFT. Appl. Ocean Res. 2012, 34, 198–208. [Google Scholar] [CrossRef]
- Fen, X.; Bai, W. Wave resonances in a narrow gap between two barges using fully nonlinear numerical simulation. Appl. Ocean Res. 2015, 50, 119–129. [Google Scholar]
- Moradi, N.; Zhou, T.; Cheng, L. Effect of inlet configuration on wave resonance in the narrow gap of two fixed bodies in close proximity. Ocean Eng. 2015, 103, 88–102. [Google Scholar] [CrossRef]
- Tan, L.; Lu, L.; Tang, G.Q.; Cheng, L. Experimental Study of Wave Resonance in a Narrow Gap with Various Edge Shapes. In Proceedings of the 20th Australasian Fluid Mechanics Conference, Perth, Australia, 5–8 December 2016. [Google Scholar]
- Lu, L.; Teng, B.; Cheng, L.; Sun, L.; Chen, X. Modelling of multibodies in close proximity under water waves-fluid resonance in narrow gaps. Sci. China Phys. Mech. Astron. 2011, 54, 16–25. [Google Scholar] [CrossRef]
- Lu, L.; Teng, B.; Sun, L.; Chen, B. Modelling of multibodies in close proximity under water waves-fluid forces on floating bodies. Ocean Eng. 2011, 38, 1403–1416. [Google Scholar] [CrossRef]
- Zhao, W.H.; Wolgamot, H.A.; Taylor, P.H.; Eatock Taylor, R. Gap resonance and higher harmonics driven by focused transient wave groups. J. Fluid Mech. 2017, 812, 905–939. [Google Scholar] [CrossRef]
- Wang, H.C. Development of a CFD Model to Simulate Three-Dimensional Gap Resonance Applicable to FLNG Side-By-Side Offloading. In Proceedings of the ASME 2017 36th International Conference on Ocean, Offshore and Arctic Engineering OMAE, Trondheim, Norway, 25–30 June 2017. [Google Scholar]
- Chua, K.H.; Eatock Taylor, R.; Choo, Y.S. Hydrodynamics of side-by-side fixed floating bodies. In Proceedings of the 35th International Conference on Ocean, Offshore and Arctic Engineering, Busan, South Korea, 19–24 June 2016; pp. 19–24. [Google Scholar]
- Chua, K.H.; Eatock Taylor, R.; Choo, Y.S. Hydrodynamic interaction of side-by-side floating bodies part I: Development of CFD-based numerical analysis framework and modified potential flow model. Ocean Eng. 2017, 166, 404–415. [Google Scholar] [CrossRef]
- Jasak, H. Openfoam: Open source CFD in research and industry. Int. J. Nav. Archit. Ocean Eng. 2009, 1, 89–94. [Google Scholar]
- Jacobsen, N.G.; Fuhrman, D.R.; Fredsøe, J. A wave generation toolbox for the open-source CFD library: OpenFoam®. Int. J. Numer. Meth. Fluids. 2011, 70, 1073–1088. [Google Scholar] [CrossRef]
- Rusche, H. Computational Fluid Dynamics of Dispersed Two-Phase Flows at High Phase Fractions. Ph.D. Thesis, Imperial College of Science, Technology and Medicine, London, UK, 2002. [Google Scholar]
- Liu, S.; Ong, M.C.; Obhrai, C.; Seng, S. CFD Simulations of Regular and Irregular Waves Past a Horizontal Semi-submerged Cylinder. J. Offshore Mech. Arctic Eng. 2017, 140. [Google Scholar] [CrossRef]
- Lamb, H. Hydrodynamics, 6th ed.; The Syndics of Cambridge University Press: London, UK, 1932; pp. 623–631. [Google Scholar]
- Yang, Y.; Grétar, T. Dissipation of energy by finite-amplitude surface waves. Comput. Fluids. 1998, 27, 829–845. [Google Scholar] [CrossRef]
- Goda, Y.; Suzuki, Y. Estimation of incident and reflected waves in random waves. In Proceedings of the Fifteenth Conference on Coastal Engineering, ASCE, New York, NY, USA, 11–17 July 1976; pp. 828–865. [Google Scholar]
- Liu, C.Y. Experimental and numerical study of hydrodynamic response of side-by-side floating bodies under wave action. Master Thesis, Dalian University of Technology, Dalian, China, 2017. [Google Scholar]
- Humar, J.L. Dynamics of Structures, 2nd ed.; A.A. Balkema Publishers: Lisse, The Netherlands; Abingdon, UK; Exton, PA, USA; Tokyo, Japan, 2002; pp. 225–226. [Google Scholar]























| Index | KC | ||||||||||||
|---|---|---|---|---|---|---|---|---|---|---|---|---|---|
| C1~C9 | 0.10 | 1.20 | 1.51 | C1 | C2 | C3 | C4 | C5 | C6 | C7 | C8 | C9 | |
| 0.99 | 1.07 | 1.11 | 1.16 | 1.17 | 1.20 | 1.21 | 1.24 | 1.28 | |||||
| C10~C17 | 0.17 | 1.09 | 0.89 | C10 | C11 | C12 | C13 | C14 | C15 | C16 | C17 | ||
| 0.89 | 1.03 | 1.08 | 1.09 | 1.10 | 1.13 | 1.14 | 1.20 | ||||||
| C18~C27 | 0.25 | 1.00 | 0.60 | C18 | C19 | C20 | C21 | C22 | C23 | C24 | C25 | C26 | C27 |
| 0.77 | 0.92 | 0.98 | 1.00 | 1.01 | 1.04 | 1.06 | 1.07 | 1.09 | 1.11 | ||||
| Mesh Index | Cell Number | |||
|---|---|---|---|---|
| A | 139,270 | |||
| B | 723,362 | |||
| C | 1,100,640 |
© 2019 by the authors. Licensee MDPI, Basel, Switzerland. This article is an open access article distributed under the terms and conditions of the Creative Commons Attribution (CC BY) license (http://creativecommons.org/licenses/by/4.0/).
Share and Cite
Zhang, H.; Liu, S.; Ong, M.C.; Zhu, R. CFD Simulations of the Propagation of Free-Surface Waves Past Two Side-By-Side Fixed Squares with a Narrow Gap. Energies 2019, 12, 2669. https://doi.org/10.3390/en12142669
Zhang H, Liu S, Ong MC, Zhu R. CFD Simulations of the Propagation of Free-Surface Waves Past Two Side-By-Side Fixed Squares with a Narrow Gap. Energies. 2019; 12(14):2669. https://doi.org/10.3390/en12142669
Chicago/Turabian StyleZhang, Haoyu, Shengnan Liu, Muk Chen Ong, and Renqing Zhu. 2019. "CFD Simulations of the Propagation of Free-Surface Waves Past Two Side-By-Side Fixed Squares with a Narrow Gap" Energies 12, no. 14: 2669. https://doi.org/10.3390/en12142669
APA StyleZhang, H., Liu, S., Ong, M. C., & Zhu, R. (2019). CFD Simulations of the Propagation of Free-Surface Waves Past Two Side-By-Side Fixed Squares with a Narrow Gap. Energies, 12(14), 2669. https://doi.org/10.3390/en12142669

