Large Eddy Simulation of Self-Excited Oscillation Pulsed Jet (SEOPJ) Induced by a Helmholtz Oscillator in Underground Mining
Abstract
1. Introduction
2. Computational Details
2.1. Flow Configuration
2.2. Governing Equation
2.3. Computational Domain and Boundary Condition
3. Results and Discussion
3.1. Validation
3.2. Frequency Spectrums
3.3. Transient Flow Field
3.4. Mean Flow Field
3.5. Coherent Structure
4. Conclusions
- The frequency spectrum of SEOPJ has multiple peaks, while the maximum value is at the low frequency. With increasing operating pressure, the major frequency of pulsation leans in the direction of high frequency.
- After the upstream fluid enters the Helmholtz oscillator, a stable periodic velocity core is formed at the outlet due to the effect of the chamber and the collision wall. After entering the outflow field, the external flow field will be subjected to periodic impact and the ambient fluid was strongly entrained.
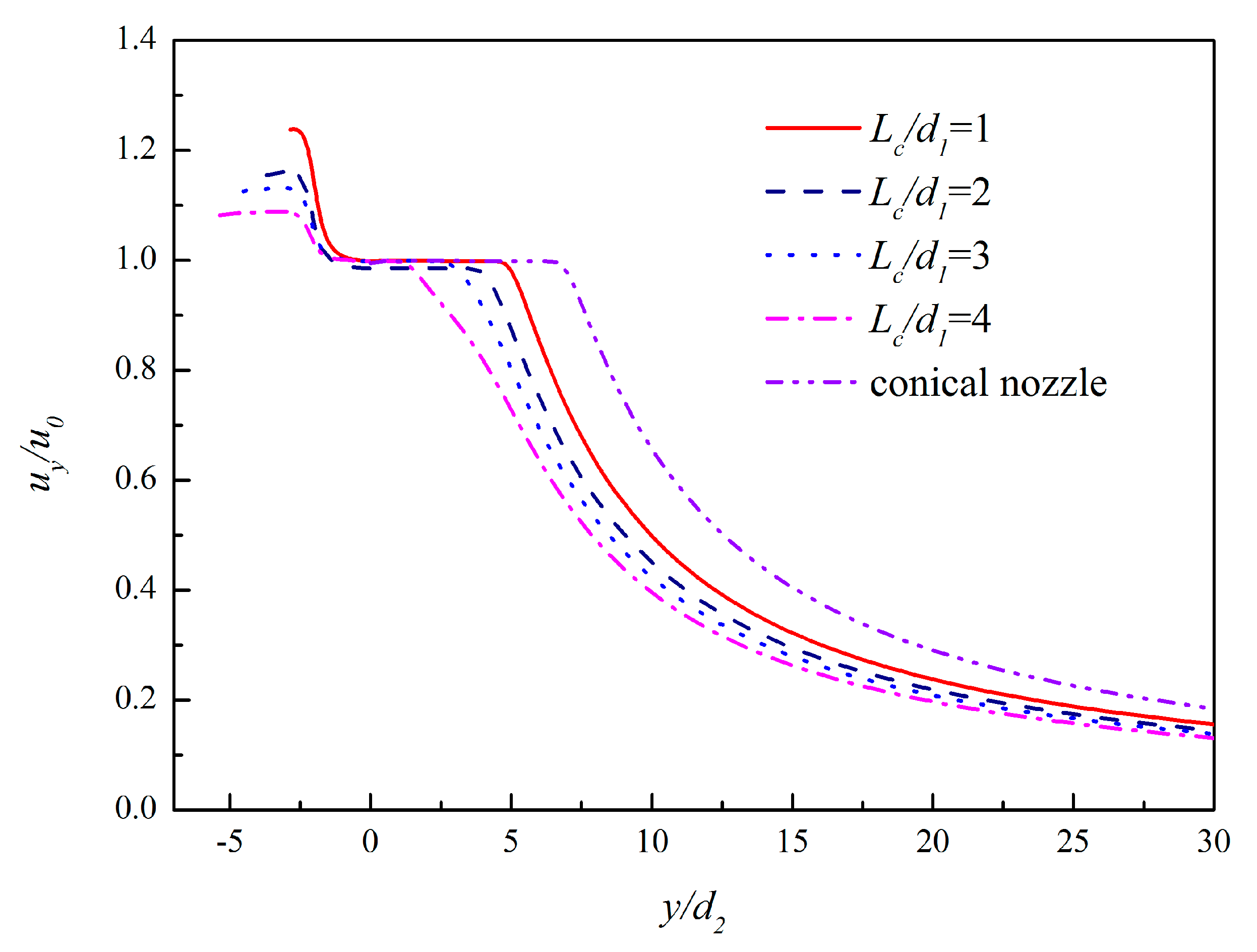
- For a SEOPJ Helmholtz oscillator with different cavity lengths, the length of the core segment decreases with the increase of the cavity length. The longer the cavity length, the greater the energy loss caused by the cavity and the faster the axial velocity attenuation at the jet outlet. Compared with the conical nozzle, the length of the core section of SEOPJ was shorter, but the jet had better bunching, smaller diffusion angle and better mixing performance.
- The nozzle with small cavity diameter is more disorderly near the nozzle outlet, and the vortex scale is larger, which is more obvious in the downstream section. As the cavity diameter is larger, the space for energy storage and modulation in the chamber increases, the instability of the flow field at the downstream outlet decreases, and the vortex at the outlet is more orderly. The effect of cavity diameter on the SEOPJ is mainly reflected in the feedback modulation of the jet in the cavity.
Author Contributions
Funding
Conflicts of Interest
Abbreviations
| x | Radial direction |
| y | Flow direction |
| z | Lateral direction |
| d1 | Upstream nozzle diameter |
| d2 | Downstream nozzle diameter |
| α | Impinge wall angle |
| Lc | Cavity length |
| Dc | Cavity diameter |
| Ub | Bulk velocity |
| Re | Reynolds number |
| ρ | Medium density |
| u | Medium velocity |
| p | Medium pressure |
| ui | Instantaneous velocity |
| xi | Three-dimensional coordinate directions |
| τij | Sub-grid-scale (SGS) tensor |
| δij | Kronecker’s delta |
| νt | Eddy viscosity |
| Sij | Resolved scale strain rate tensor |
| Δx | Cell length of x directions |
| Δy | Cell length of y directions |
| Δz | Cell length of z directions |
| uτ | Shear velocity |
| y1 | Mesh thickness of the first layer |
| Pmax | Maximum pressure of nozzle outlet |
| Pmin | Minimum pressure of nozzle outlet |
| Di | Upstream inlet pipe diameter |
| Pi | Inlet pressure |
| fp | Peak frequency |
| s | Flow distance |
| u0 | Average velocity at the nozzle outlet |
| Q | Q criterion |
| Ω | Vorticity tensor |
| S | Strain rate tensor |
| Δt | Time interval |
| t | Transient time |
| t0 | Initial time |
References
- Li, G.; Shen, Z.H.; Zhou, C.; Zhang, D.; Chen, H. Investigation and Application of Self-Resonating Cavitating Water Jet in Petroleum Engineering. Pet. Sci. Technol. 2005, 23, 1–15. [Google Scholar]
- Ge, Z.L.; Deng, K.; Lu, Y.Y.; Cheng, L.; Zuo, S.J.; Tian, X.D. A Novel Method for Borehole Blockage Removal and Experimental Study on a Hydraulic Self-Propelled Nozzle in Underground Coal Mines. Energies 2016, 9, 698. [Google Scholar] [CrossRef]
- Lu, Y.Y.; Zhou, Z.; Ge, Z.L.; Zhang, X.W.; Li, Q. Research on and Design of a Self-Propelled Nozzle for the Tree-Type Drilling Technique in Underground Coal Mines. Energies 2015, 8, 14260–14271. [Google Scholar] [CrossRef]
- Rockwell, D.; Naudascher, E. Self-Sustained Oscillations of Impinging Free Shear Layers. Annu. Rev. Fluid Mech. 1979, 11, 67–94. [Google Scholar] [CrossRef]
- Rockwell, D.; Naudascher, E. Review—Self-Sustaining Oscillations of Flow Past Cavities. J. Fluid Eng. 1978, 100, 152–165. [Google Scholar] [CrossRef]
- Morel, T. Experimental Study of a Jet-Driven Helmholtz Oscillator. J. Fluid Eng. 1979, 101, 383–390. [Google Scholar] [CrossRef]
- Maurel, A.; Ern, P.; Zielinska, B.J.; Wesfreid, J.E. Experimental study of self-sustained oscillations in a confined jet. Phys. Rev. E 1996, 54, 3643–3651. [Google Scholar] [CrossRef]
- Dairay, T.; Fortune, V.; Lamballais, E.; Brizzi, L.E. LES of a turbulent jet impinging on a heated wall using high-order numerical schemes. Int. J. Heat Fluid Flow 2014, 50, 177–187. [Google Scholar] [CrossRef]
- Stanley, S.A.; Sarkar, S.; Mellado, J.P. A study of the flow field evolution and mixing in aplanar turbulent jet using direct numerical simulation. J. Fluid Mech. 2002, 450, 377–407. [Google Scholar] [CrossRef]
- Bogey, C.; Bailly, C. Large eddy simulations of round free jets using explicit filtering with/without dynamic Smagorinsky model. Int. J. Heat Fluid Flow 2006, 27, 603–610. [Google Scholar] [CrossRef]
- Bogey, C.; Bailly, C. Large eddy simulations of transitional round jets: Influence of the Reynolds number on flow development and energy dissipation. Phys. Fluids 2006, 18, 065101. [Google Scholar] [CrossRef]
- Kim, J.; Choi, H. Large eddy simulation of a circular jet effect of inflow conditions on the near field. J. Fluid Mech. 2009, 620, 383–411. [Google Scholar] [CrossRef]
- Bonelli, F.; Viggiano, A.; Magi, V. How Does a High Density Ratio Affect the Near- and Intermediate-Field of High-Re Hydrogen Jets? Int. J. Hydrogen Energy 2016, 41, 15007–15025. [Google Scholar] [CrossRef]
- Wang, P.; Fröhlich, J.; Michelassi, V.; Rodi, W. Large-eddy simulation of variable-density turbulent axisymmetric jets. Int. J. Heat Fluid Flow 2008, 29, 654–664. [Google Scholar] [CrossRef]
- Zemtsop, C.P.; Stöllinger, M.K.; Heinz, S.; Stanescu, D. Large-eddy simulation of swirling turbulent jet flows in absence of vortex breakdown. AIAA J. 2009, 47, 3011–3021. [Google Scholar] [CrossRef][Green Version]
- Peng, G.; Shimizu, S.; Fujikawa, S. Numerical simulation of cavitating water jet by a compressible mixture flow method. J. Fluid Sci. Technol. 2011, 6, 499–509. [Google Scholar] [CrossRef][Green Version]
- Luo, X.; Ji, B.; Peng, X.; Xu, H.; Nishi, M. Numerical simulation of cavity shedding from a threedimensional twisted hydrofoil and induced pressure fluctuation by Large-Eddy Simulation. ASME J. Fluids Eng. 2012, 134, 041202. [Google Scholar] [CrossRef]
- Ji, B.; Luo, X.; Wu, Y.; Peng, X.; Duan, Y. Numerical analysis of unsteady cavitating turbulent flow and shedding horse-shoe vortex structure around a twisted hydrofoil. Int. J. Multiphas. Flow 2013, 51, 33–43. [Google Scholar] [CrossRef]
- Naqavi, I.Z.; Tucker, P.G.; Liu, Y. Large-eddy simulation of the interaction of wall jets with external stream. Int. J. Heat Fluid Flow 2014, 50, 431–444. [Google Scholar] [CrossRef]
- Pasquariello, V.; Grilli, M.; Hickel, S.; Adams, N.A. Large-eddy simulation of passive shock-wave/ boundary-layer interaction control. Int. J. Heat Fluid Flow 2014, 49, 116–127. [Google Scholar] [CrossRef]
- Li, D.; Kang, Y.; Ding, X.L.; Wang, X.C.; Liu, W.C. Effects of feeding pipe diameter on the performance of a jet-driven Helmholtz oscillator generating pulsed waterjets. J. Mech. Sci. Technol. 2017, 31, 1–10. [Google Scholar] [CrossRef]
- Li, D.; Kang, Y.; Ding, X.L.; Wang, X.C.; Fang, Z.L. Effects of area discontinuity at nozzle inlet on the characteristics of high speed self-excited oscillation pulsed waterjets. Exp. Therm. Fluid Sci. 2016, 79, 254–265. [Google Scholar] [CrossRef]
- Huang, M.; Kang, Y.; Wang, X.C.; Hu, Y.; Liu, Y.W.; Chen, H. Experimental investigation on the rock erosion characteristics of a self-excited oscillation pulsed supercritical CO2 jet. Appl. Therm. Eng. 2018, 139, 445–455. [Google Scholar] [CrossRef]
- Tuna, B.A.; Rockwell, D. Self-sustained oscillation of shallow flow past sequential cavities. J. Fluid Mech. 2014, 758, 655–685. [Google Scholar] [CrossRef]
- Cafiero, G.; Ceglia, G.; Discetti, S.; Ianiro, A.; Astarita, T.; Cardone, G. On the three-dimensional precessing jet flow past a sudden expansion. Exp. Fluids 2014, 55, 1677. [Google Scholar] [CrossRef]
- Kolsek, T.; Jelic, N.; Duhovnik, J. Numerical study of flow asymmetry and self-sustained jet oscillations in geometrically symmetric cavities. Appl. Math. Model. 2007, 31, 2355–2373. [Google Scholar] [CrossRef]
- Xu, M.; Mi, J.; Li, P. Large eddy simulation of an initially-confined triangular oscillating jet. Flow Turbul Combust. 2012, 88, 367–386. [Google Scholar] [CrossRef]
- Liu, W.; Kang, Y.; Zhang, M.; Wang, X.; Li, D. Self-sustained oscillation and cavitation characteristics of a jet in a Helmholtz resonator. Int. J. Heat Fluid Flow 2017, 68, 158–172. [Google Scholar] [CrossRef]
- Liu, W.; Kang, Y.; Zhang, M.; Wang, X.; Li, D.; Xie, L. Experimental and theoretical analysis on chamber pressure of a self-resonating cavitation waterjet. Ocean Eng. 2018, 151, 33–45. [Google Scholar] [CrossRef]
- Xu, B.P.; Wen, J.X.; Volkov, K.N. Large-eddy simulation of vortical structures in a forced plane impinging jet. Eur. J. Mech. B-Fluid. 2013, 42, 104–120. [Google Scholar] [CrossRef]
- He, C.X.; Liu, Y.Z.; Yavuzkurt, S. Large-eddy simulation of circular jet mixing: Lip- and inner-ribbed nozzles. Comput. Fluids 2018, 168, 245–264. [Google Scholar] [CrossRef]
- Li, X.P.; Zhou, R.; Yao, W.; Fan, X.J. Flow characteristic of highly underexpanded jets from various nozzle geometries. Appl. Therm. Eng. 2017, 125, 240–253. [Google Scholar] [CrossRef]
- Hidouri, A.; Yahya, N.; Boushaki, T.; Sadiki, A.; Sautet, J.C. Numerical and experimental investigation of turbulent three separated jets. Appl. Therm. Eng. 2016, 104, 153–161. [Google Scholar] [CrossRef]
- Smogorinsky, J. General circulation experiments with the primitive equations I: The basic experiment. Monthly Weather Rev. 1963, 91, 99–164. [Google Scholar] [CrossRef]
- Lilly, D.K. A proposed modification of the Germano-subgrid-scale closure method. Phys. Fluids 1992, 4, 633–635. [Google Scholar] [CrossRef]
- Baghel, K.; Sridharan, A.; Murallidharan, J.S. Numerical study of free jet impingement on orthogonal surface. Int. J. Multiphas. Flow 2019, 113, 89–106. [Google Scholar] [CrossRef]
- Liu, W.; Kang, Y.; Zhang, M.; Zhou, Y.; Wang, X.; Li, D. Frequency modulation and erosion performance of a self-resonating tet. Appl. Sci. 2017, 7, 932. [Google Scholar]
- Li, X.; Zhou, M.L.; Zhang, J.M.; Xu, W.L. Numerical study of the velocity decay of offset jet in a narrow and deep pool. Water 2019, 11, 59. [Google Scholar] [CrossRef]
- Wu, Q.; Wei, W.; Deng, B.; Jiang, P.; Li, D.; Zhang, M.; Fang, Z. Ddynamic characteristics of the cavitation clouds of submerged Helmholtz self-sustained oscillation jets with from high-speed photography. J. Mech. Sci. Technol. 2019, 33, 621–630. [Google Scholar] [CrossRef]
















| d1 [mm] | d2/d1 | L/d1 | D/d1 | α [°] | Re |
|---|---|---|---|---|---|
| 2.6 | 1.2 | 1 | 8 | 120 | 1 × 105~2 × 105 |
| 2 | 8 | ||||
| 3 | 8 | ||||
| 4 | 8 | ||||
| 4 | 4 | ||||
| 4 | 6 | ||||
| 4 | 10 |
| Mesh | Nodes | Pmax [MPa] | Pmin [MPa] |
|---|---|---|---|
| Case 1 (Coarse) | 6,350,000 | 2.551 | 0.943 |
| Case 2 (Medium) | 10,260,000 | 2.749 | 1.094 |
| Case 3 (Fine) | 15,420,000 | 2.698 | 1.116 |
© 2019 by the authors. Licensee MDPI, Basel, Switzerland. This article is an open access article distributed under the terms and conditions of the Creative Commons Attribution (CC BY) license (http://creativecommons.org/licenses/by/4.0/).
Share and Cite
Fang, Z.; Wu, Q.; Zhang, M.; Liu, H.; Jiang, P.; Li, D. Large Eddy Simulation of Self-Excited Oscillation Pulsed Jet (SEOPJ) Induced by a Helmholtz Oscillator in Underground Mining. Energies 2019, 12, 2161. https://doi.org/10.3390/en12112161
Fang Z, Wu Q, Zhang M, Liu H, Jiang P, Li D. Large Eddy Simulation of Self-Excited Oscillation Pulsed Jet (SEOPJ) Induced by a Helmholtz Oscillator in Underground Mining. Energies. 2019; 12(11):2161. https://doi.org/10.3390/en12112161
Chicago/Turabian StyleFang, Zhenlong, Qiang Wu, Mengda Zhang, Haoyang Liu, Pan Jiang, and Deng Li. 2019. "Large Eddy Simulation of Self-Excited Oscillation Pulsed Jet (SEOPJ) Induced by a Helmholtz Oscillator in Underground Mining" Energies 12, no. 11: 2161. https://doi.org/10.3390/en12112161
APA StyleFang, Z., Wu, Q., Zhang, M., Liu, H., Jiang, P., & Li, D. (2019). Large Eddy Simulation of Self-Excited Oscillation Pulsed Jet (SEOPJ) Induced by a Helmholtz Oscillator in Underground Mining. Energies, 12(11), 2161. https://doi.org/10.3390/en12112161

