Performance Improvement of Servo Control System Driven by Novel PMSM-DTC Based On Fixed Sector Division Criterion
Abstract
:1. Introduction
2. Analysis of the Active Factors
2.1. Design of the Novel Switching Table Considering the Error Rate State
2.2. Analysis of the Characteristics for the Active Vectors
3. Analysis of the Suitable Slave Vectors with the Variation of the Variables
3.1. Slave Vectors Selection in Main Sector
3.2. Slave Vectors Selection in Other Sectors
3.3. Analysisthe Characteristics of the Master and Slave Vectors
4. Design of Master and Slave Vectors’ Switching Table
4.1. Devision of Master and Slave Sectors
4.2. Master and Slave Vectors Switching Table
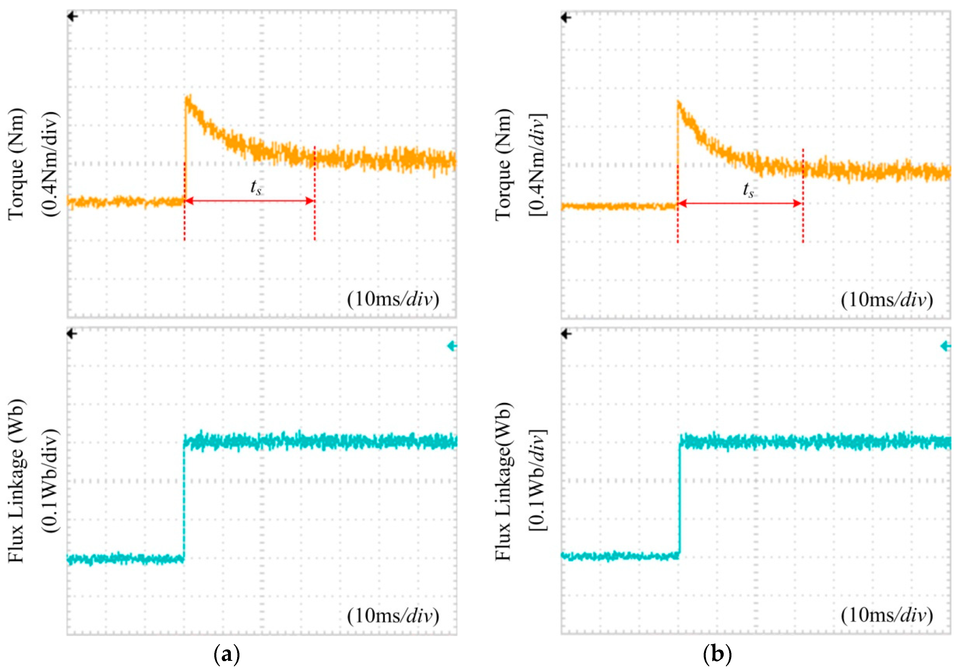
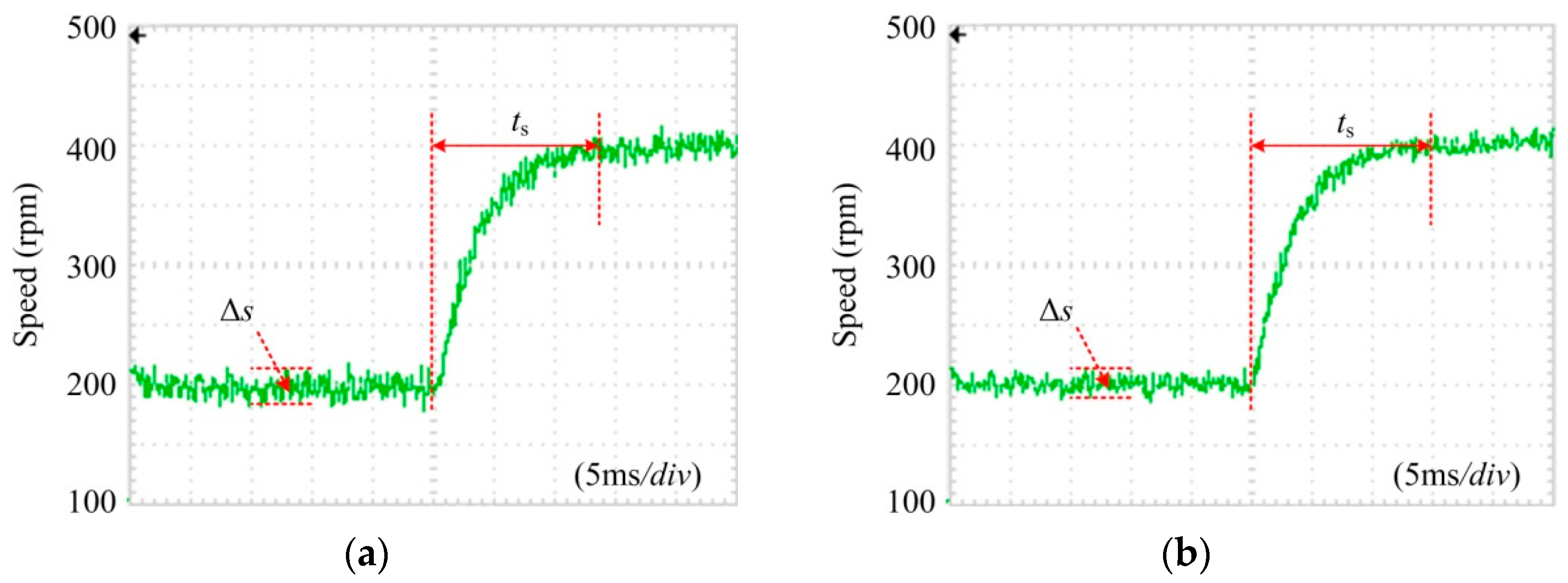
5. Experimental Analysis
5.1. Experimental System Setup
5.2. Steady-State Performance
5.3. Dynamic Performance
6. Conclusions
Author Contributions
Acknowledgments
Conflicts of Interest
References
- Yuan, T.Q.; Wang, D.Z.; Li, Y.L. Duty ratio modulation strategy to minimize torque and flux linkage ripples in IPMSM DTC system. IEEE Access 2017, 5, 14323–14332. [Google Scholar] [CrossRef]
- Yuan, T.Q.; Wang, D.Z.; Wang, X.H. High-Precision servo control of industrial robot driven by PMSM-DTC utilizing composite active vectors. IEEE Access 2019, 7, 7577–7587. [Google Scholar] [CrossRef]
- Abosh, A.; Zhu, Z.Q.; Ren, Y. Reduction of torque and flux ripples in space vector modulation-based direct torque control of asymmetric permanent magnet synchronous machine. IEEE Trans. Power Electron. 2017, 32, 2976–2986. [Google Scholar] [CrossRef]
- Zhou, Y.Z.; Chen, G.T. Predictive DTC Strategy with fault-tolerant function for six-phase and three-phase PMSM series-connected drive system. IEEE Trans. Ind. Electron. 2018, 65, 9101–9112. [Google Scholar]
- Shinohara, A.; Inoue, Y.; Morimoto, S.; Sanada, M. Direct calculation method of reference flux linkage for maximum torque per ampere control in DTC-based IPMSM drives. IEEE Trans. Power Electron. 2016, 32, 2114–2122. [Google Scholar]
- Alsofyani, I.M.; Idris, N.R.N.; Lee, K.B. Dynamic hysteresis torque band for improving the performance of lookup-table-based DTC of induction machines. IEEE Trans. Power Electron. 2018, 33, 7959–7970. [Google Scholar] [CrossRef]
- Putri, A.K.; Rick, S.; Franck, D.; Hameyer, K. Application of sinusoidal field pole in a permanent-magnet synchronous machine to improve the NVH behavior considering the MTPA and MTPV operation area. IEEE Trans. Ind. Appl. 2016, 52, 2280–2288. [Google Scholar] [CrossRef]
- Xia, C.; Zhao, J.; Yan, Y.; Shi, T. A novel direct torque and flux control method of matrix converter-fed PMSM drives. IEEE Trans. Power Electron. 2014, 29, 5417–5430. [Google Scholar] [CrossRef]
- Mohan, D.; Zhang, X.; Foo, G.H.B. A simple duty cycle control strategy to reduce torque ripples and improve low-speed performance of a three-level inverter fed DTC IPMSM drive. IEEE Trans. Ind. Electron. 2017, 64, 2709–2721. [Google Scholar]
- Niu, F.; Wang, B.; Babel, A.S.; Li, K.; Strangas, G.E. Comparative evaluation of direct torque control strategies for permanent magnet synchronous machines. IEEE Trans. Power Electron. 2016, 31, 1408–1424. [Google Scholar]
- Zhang, Y.; Zhu, J.; Xu, W.; Guo, Y. A simple method to reduce torque ripple in direct torque-controlled permanent-magnet synchronous motor by using vectors with variable amplitude and angle. IEEE Trans. Ind. Electron. 2011, 58, 2848–2859. [Google Scholar]
- Ren, Y.; Zhu, Z.Q.; Liu, J. Direct torque control of permanent-magnet synchronous machine drives with a simple duty ratio regulator. IEEE Trans. Ind. Electron. 2014, 61, 5249–5258. [Google Scholar]
- Niu, F.; Li, K.; Wang, Y. Direct torque control for permanent magnet synchronous machines based on duty ratio modulation. IEEE Trans. Ind. Electron. 2015, 62, 6160–6170. [Google Scholar]
- Lee, J.S.; Lorenz, R.D. Deadbeat direct torque and flux control of IPMSM drives using a minimum time ramp trajectory method at voltage and current limits. IEEE Trans. Ind. Appl. 2014, 50, 3795–3804. [Google Scholar] [CrossRef]
- Mohan, D.; Zhang, X.; Foo, G. Generalized DTC strategy for multilevel inverter fed IPMSMs with constant inverter switching frequency and reduced torque ripples. IEEE Trans. Energy Convers. 2017, 32, 1031–1041. [Google Scholar] [CrossRef]
- ZL, X.N.; Foo, G.H.B. Over-modulation of constant switching frequency based DTC for reluctance synchronous motors incorporating field-weakening operation. IEEE Trans. Ind. Electron. 2019, 66, 37–47. [Google Scholar]
- Berzoy, A.; Rengifo, J.; Mohammed, O. Fuzzy predictive DTC of induction machines with reduced torque ripple and high performance operation. IEEE Trans. Power Electron. 2018, 33, 2580–2587. [Google Scholar] [CrossRef]
- Choi, Y.-S.; Choi, H.H.; Jung, J.W. Feedback linearization direct torque control with reduced torque and flux ripples for IPMSM drives. IEEE Trans. Power Electron. 2016, 31, 3728–3737. [Google Scholar] [CrossRef]
- Zhang, Z.; Wei, C.; Qiao, W.; Qu, L. Adaptive saturation controller-based direct torque control for permanent-magnet synchronous machines. IEEE Trans. Power Electron. 2016, 31, 7112–7122. [Google Scholar] [CrossRef]
- Liang, D.L.; Li, J.; Qu, R.H.; Kong, W.B. Adaptive second-order sliding-mode observer for PMSM sensorless control considering VSI nonlinearity. IEEE Trans. Power Electron. 2018, 33, 8994–9004. [Google Scholar] [CrossRef]
















| Sector | Error Rate State | Error Property | Vn | Error Property | Vn |
|---|---|---|---|---|---|
| S2+ | τA/C | a | VN+1 | b | VN+3 |
| c | VN | d | VN+4 | ||
| τB | a | VN+2 | b | VN+2 | |
| c | VN+5 | d | VN+5 | ||
| S1+ | τA/B/C | a | VN+1 | b | VN+3 |
| c | VN | d | VN+4 | ||
| S0 | τA/B | a | VN+1 | b | VN+2 |
| c | VN+5 | d | VN+4 | ||
| τC | a | VN | b | VN+3 | |
| c | VN | d | VN+3 | ||
| S1− | τA/B/C | a | VN | b | VN+2 |
| c | VN+5 | d | VN+3 | ||
| S2− | τA/C | a | VN | b | VN+2 |
| c | VN+5 | d | VN+3 | ||
| τB | a | VN+1 | b | VN+1 | |
| c | VN+4 | d | VN+4 |
| Error Property | Torque Error Property | Flux Error Property |
|---|---|---|
| a | 1 | 1 |
| b | 1 | −1 |
| c | −1 | 1 |
| d | −1 | −1 |
| Error Rate State | τA | τB | τC | |||
|---|---|---|---|---|---|---|
| μT | μF | μT | μF | μT | μF | |
| S2+ | 0.5 | 0.9 | 1 | 0 | 0.5 | 0.9 |
| S1+ | (0.9, 0.5) | (0.5, 0.9) | (0.9, 0.5) | (0.5, 0.9) | (0.9, 0.5) | (0.5, 0.9) |
| S0 | 0.9 | 0.5 | 0.9 | 0.5 | 0 | 1 |
| S1− | (0.5, 0) | (0.9, 1) | (0.5, 0) | (0.9, 1) | (0.5, 0) | (0.9, 1) |
| S2− | 0.5 | 0.9 | 1 | 0 | 0.5 | 0.9 |
| Error Rate State | τA | τB | τC | |||
|---|---|---|---|---|---|---|
| Vm | Vs | Vm | Vs | Vm | Vs | |
| S2+ | V2 | V3 | V3 | V2 | V2 | V1 |
| S1++ | V2 | V3 | V2 | V3 | V2 | V1 |
| S1+− | V2 | V1 | V2 | V3 | V2 | V1 |
| S0 | V2 | V1 | V2 | V3 | V1 | V2 |
| S1− | V1 | V2 | V1 | V2 | V1 | V6 |
| S2− | V1 | V2 | V2 | V1 | V1 | V6 |
| τi | Sector | Error Property | Vs | Error Property | Vs |
|---|---|---|---|---|---|
| τA | Ss+ | a | VN+2 | b | VN+2 |
| c | VN+5 | d | VN+5 | ||
| Ss− | a | VN | b | VN+2 | |
| c | VN+5 | d | VN+5 | ||
| Sm+ | a | VN+1 | b | VN+1 | |
| c | VN | d | VN+4 | ||
| Sm− | a | VN+1 | b | VN+1 | |
| c | VN+4 | d | VN+4 | ||
| τB | Ss | a | VN+2 | b | VN+2 |
| c | VN+5 | d | VN+5 | ||
| Sm | a | VN+1 | b | VN+1 | |
| c | VN+4 | d | VN+4 | ||
| τC | Ss | a | VN | b | VN+4 |
| c | VN+1 | d | VN+3 | ||
| Sm | a | VN+5 | b | VN+3 | |
| c | VN | d | VN+2 |
© 2019 by the authors. Licensee MDPI, Basel, Switzerland. This article is an open access article distributed under the terms and conditions of the Creative Commons Attribution (CC BY) license (http://creativecommons.org/licenses/by/4.0/).
Share and Cite
Wang, D.; Yuan, T.; Wang, X.; Wang, X.; Ni, Y. Performance Improvement of Servo Control System Driven by Novel PMSM-DTC Based On Fixed Sector Division Criterion. Energies 2019, 12, 2154. https://doi.org/10.3390/en12112154
Wang D, Yuan T, Wang X, Wang X, Ni Y. Performance Improvement of Servo Control System Driven by Novel PMSM-DTC Based On Fixed Sector Division Criterion. Energies. 2019; 12(11):2154. https://doi.org/10.3390/en12112154
Chicago/Turabian StyleWang, Dazhi, Tianqing Yuan, Xingyu Wang, Xinghua Wang, and Yongliang Ni. 2019. "Performance Improvement of Servo Control System Driven by Novel PMSM-DTC Based On Fixed Sector Division Criterion" Energies 12, no. 11: 2154. https://doi.org/10.3390/en12112154
APA StyleWang, D., Yuan, T., Wang, X., Wang, X., & Ni, Y. (2019). Performance Improvement of Servo Control System Driven by Novel PMSM-DTC Based On Fixed Sector Division Criterion. Energies, 12(11), 2154. https://doi.org/10.3390/en12112154

