Acoustic Emission Multi-Parameter Analysis of Dry and Saturated Sandstone with Cracks under Uniaxial Compression
Abstract
1. Introduction
2. Experimental Samples, Schemes and Results
2.1. Sample Preparation
2.2. Experimental System
2.3. Experimental Procedure
2.4. Experimental Results
3. Mechanical Behavior
3.1. Stress-Strain Characteristics
3.2. Failure Mode
4. AE Response
4.1. AE Time Series Characteristics
4.2. AE Frequency Domain Characteristics
4.3. AE Source Distribution and Evolution Characteristics
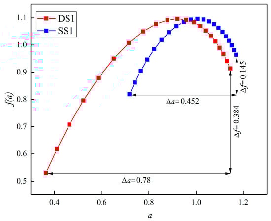
4.4. AE Time-Variable Multi-Fractal Characteristics
5. Discussion
6. Conclusions
Author Contributions
Funding
Conflicts of Interest
References
- He, M.C.; Xie, H.P.; Peng, S.P.; Jiang, Y.D. Study on rock mechanics in deep mining engineering. Chin. J. Rock Mech. Eng. 2005, 24, 2803–2813. [Google Scholar]
- Shen, R.X.; Qiu, L.M.; Lv, G.G.; Wang, E.Y.; Li, H.R.; Han, X.; Zhang, X.; Hou, Z.H. An effect evaluation method of coal seam hydraulic flushing by EMR. J. Nat. Gas Sci. Eng. 2018, 54, 154–162. [Google Scholar] [CrossRef]
- He, M.C.; Miao, J.L.; Feng, J.L. Rock burst process of limestone and its acoustic emission characteristics under true-triaxial unloading conditions. Int. J. Rock Mech. Min. Sci. 2010, 47, 286–298. [Google Scholar] [CrossRef]
- Baud, P.; Zhu, W.L.; Wong, T.F. Failure mode and weakening effect of water on sandstone. J. Geophys. Res. Solid Earth 2000, 105, 16371–16389. [Google Scholar] [CrossRef]
- Talesnick, M.; Shehadeh, S. The effect of water content on the mechanical response of a high-porosity chalk. Int. J. Rock Mech. Min. Sci. 2007, 44, 584–600. [Google Scholar] [CrossRef]
- Erguler, Z.A.; Ulusay, R. Water-induced variations in mechanical properties of clay-bearing rocks. Int. J. Rock Mech. Min. Sci. 2009, 46, 355–370. [Google Scholar] [CrossRef]
- Tang, S.B. The effects of water on the strength of black sandstone in a brittle regime. Eng. Geol. 2018, 239, 167–178. [Google Scholar] [CrossRef]
- Verstrynge, E.; Adriaens, R.; Elsen, J.; Balen, K.V. Multi-scale analysis on the influence of moisture on the mechanical behavior of ferruginous sandstone. Constr. Build. Mater. 2014, 54, 78–90. [Google Scholar] [CrossRef]
- Roy, D.G.; Singh, T.N.; Kodikara, J.; Das, R. Effect of Water Saturation on the Fracture and Mechanical Properties of Sedimentary Rocks. Rock Mech. Rock Eng. 2017, 50, 2585–2600. [Google Scholar]
- Zhou, Z.L.; Cai, X.; Ma, D.; Cao, W.Z.; Chen, L.; Zhou, J. Effects of water content on fracture and mechanical behavior of sandstone with a low clay mineral content. Eng. Fract. Mech. 2018, 193, 47–65. [Google Scholar] [CrossRef]
- Cox, S.J.D.; Meredith, P.G. Microcrack formation and material softening in rock measured by monitoring acoustic emissions. Int. J. Rock Mech. Min. Sci. Geomech. Abstr. 1993, 30, 11–24. [Google Scholar] [CrossRef]
- Mansurov, V.A. Acoustic emission from failing rock behaviour. Rock Mech. Rock Eng. 1994, 27, 173–182. [Google Scholar] [CrossRef]
- Přikryl, R.; Lokajíček, T.; Li, C.; Rudajev, V. Acoustic Emission Characteristics and Failure of Uniaxially Stressed Granitic Rocks: The Effect of Rock Fabric. Rock Mech. Rock Eng. 2003, 36, 255–270. [Google Scholar] [CrossRef]
- Kong, B.; Wang, E.Y.; Li, Z.H.; Wang, X.R.; Liu, J.; Li, N. Fracture Mechanical Behavior of Sandstone Subjected to High-Temperature Treatment and Its Acoustic Emission Characteristics Under Uniaxial Compression Conditions. Rock Mech. Rock Eng. 2016, 49, 4911–4918. [Google Scholar] [CrossRef]
- Kong, B.; Wang, E.Y.; Li, Z.H.; Wang, X.R.; Niu, Y.; Kong, X.G. Acoustic emission signals frequency-amplitude characteristics of sandstone after thermal treated under uniaxial compression. J. Appl. Geophys. 2017, 136, 190–197. [Google Scholar] [CrossRef]
- Li, D.X.; Wang, E.Y.; Kong, X.G.; Jia, H.S.; Wang, D.M.; Ali, M. Damage precursor of construction rocks under uniaxial cyclic loading tests analyzed by acoustic emission. Constr. Build. Mater. 2019, 206, 169–178. [Google Scholar]
- Moradian, Z.; Einstein, H.H.; Ballivy, G. Detection of Cracking Levels in Brittle Rocks by Parametric Analysis of the Acoustic Emission Signals. Rock Mech. Rock Eng. 2016, 49, 785–800. [Google Scholar] [CrossRef]
- Kong, B.; Wang, E.Y.; Li, Z.H.; Wang, X.R.; Chen, L.; Kong, X.G. Nonlinear characteristics of acoustic emissions during the deformation and fracture of sandstone subjected to thermal treatment. Int. J. Rock Mech. Min. Sci. 2016, 90, 43–52. [Google Scholar] [CrossRef]
- Kong, X.G.; Wang, E.Y.; He, X.Q.; Li, D.X.; Liu, Q.L. Time-varying multifractal of acoustic emission about coal samples subjected to uniaxial compression. Chaos Solitons Fractals 2017, 103, 571–577. [Google Scholar] [CrossRef]
- Ranjith, P.G.; Jasinge, D.; Song, J.Y.; Choi, S.K. A study of the effect of displacement rate and moisture content on the mechanical properties of concrete: Use of acoustic emission. Mech. Mater. 2008, 40, 453–469. [Google Scholar] [CrossRef]
- Chen, M.; Yang, S.Q.; Gamage, R.P.; Yang, W.D.; Yin, P.F.; Zhang, Y.C.; Zhang, Q.Y. Fracture Processes of Rock-Like Specimens Containing Nonpersistent Fissures under Uniaxial Compression. Energies 2019, 12, 79. [Google Scholar] [CrossRef]
- Yang, S.Q. Crack coalescence behavior of brittle sandstone samples containing two coplanar fissures in the process of deformation failure. Eng. Fract. Mech. 2011, 78, 3059–3081. [Google Scholar] [CrossRef]
- Bobet, A.; Einstein, H.H. Fracture coalescence in rock-type materials under uniaxial and biaxial compression. Int. J. Rock Mech. Min. Sci. 1998, 35, 863–888. [Google Scholar] [CrossRef]
- Wong, L.N.Y.; Einstein, H.H. Systematic evaluation of cracking behavior in specimens containing single flaws under uniaxial compression. Int. J. Rock Mech. Min. Sci. 2009, 46, 239–249. [Google Scholar] [CrossRef]
- Lee, H.; Jeon, S. An experimental and numerical study of fracture coalescence in pre-cracked specimens under uniaxial compression. Int. J. Solids Struct. 2011, 48, 979–999. [Google Scholar] [CrossRef]
- Yang, S.Q.; Dai, Y.H.; Han, L.J.; Jin, Z.Q. Experimental study on mechanical behavior of brittle marble samples containing different flaws under uniaxial compression. Eng. Fract. Mech. 2009, 76, 1833–1845. [Google Scholar] [CrossRef]
- Liu, D.Q.; Wang, Z.; Zhang, X.Y.; Wang, Y.; Zhang, X.L.; Li, D. Experimental investigation on the mechanical and acoustic emission characteristics of shale softened by water absorption. J. Nat. Gas Sci. Eng. 2018, 50, 301–308. [Google Scholar] [CrossRef]
- Lu, C.P.; Dou, L.M.; Wu, X.R.; Mou, Z.L.; Chen, G.X. Experimental and empirical research on frequency-spectrum evolvement rule of rockburst precursory microseismic signals of coal-rock. Chin. J. Rock Mech. Eng. 2008, 27, 519–525. [Google Scholar]
- Hu, S.B.; Wang, E.Y.; Li, Z.H.; Shen, R.X.; Liu, J. Time-varying multifractal characteristics and formation mechanism of loaded coal electromagnetic radiation. Rock Mech. Rock Eng. 2014, 47, 1821–1838. [Google Scholar] [CrossRef]
- Kong, B.; Wang, E.Y.; Li, Z.H.; Lu, W. Study on the feature of electromagnetic radiation under coal oxidation and temperature rise based on multi-fractal theory. Fractals 2019, 27, 1950038-14. [Google Scholar] [CrossRef]
- Ciantia, M.O.; Castellanza, R.; Prisco, C.D. Experimental study on the water-induced weakening of calcarenites. Rock Mech. Rock Eng. 2015, 48, 441–461. [Google Scholar] [CrossRef]
- Zhou, C.Y.; Deng, Y.M.; Tan, X.S.; Liu, Z.Q.; Shang, W.; Zhan, S. Experimental research on the softening of mechanical properties of saturated soft rocks and application. Chin. J. Rock Mech. Eng. 2005, 24, 33–38. [Google Scholar]
- Zhu, B.L.; Li, X.N.; Wu, X.Y.; Wang, Y.J. Experimental Study of micro-characteristics of swelling for black shale under influence of water. Chin. J. Rock Mech. Eng. 2015, 34, 3896–3905. [Google Scholar]
- Liu, X.R.; Fu, Y.; Zheng, Y.R.; Liang, N.H. A Review on Deterioration of Rock Caused by Water-Rock Interaction. Chin. J. Undergr. Space Eng. 2012, 8, 77–82. [Google Scholar]
- Zhou, H.; Meng, F.Z.; Liu, H.T.; Zhang, C.Q.; Lu, J.J.; Xu, R.C. Experimental study on characteristics and mechanism of brittle failure of granite. Chin. J. Rock Mech. Eng. 2014, 33, 1822–1827. [Google Scholar]
- Miao, J.L.; He, M.C.; Li, D.J.; Zeng, F.J.; Zhang, X. Acoustic emission characteristics of granite under strain rockburst test and its micro-fracture mechanism. Chin. J. Rock Mech. Eng. 2009, 28, 1593–1603. [Google Scholar]
- Zhu, Z.F.; Chen, G.Q.; Xiao, H.Y.; Liu, H.; Zhao, C. Study on crack propagation of rock bridge based on multi parameters analysis of acoustic emission. Chin. J. Rock Mech. Eng. 2018, 37, 909–918. [Google Scholar]
- Cai, W.; Dou, L.M.; Zhang, M.; Cao, W.Z.; Shi, J.Q.; Feng, L.F. A fuzzy comprehensive evaluation methodology for rock burst forecasting using microseismic monitoring. Tunn. Undergr. Space Technol. 2018, 80, 232–245. [Google Scholar] [CrossRef]














| Sample No. | Mass (g) | Wave Velocity (m·s−1) | Uniaxial Compressive Strength (MPa) | Peak Strain (10−3) | Elasticity Modulus (GPa) | Cracking Stress Level | AE Peak Count | AE Cumulative Count | ||||||||
|---|---|---|---|---|---|---|---|---|---|---|---|---|---|---|---|---|
| Value | Average Value | Value | Average Value | Value | Average Value | Value | Average Value | Value | Average Value | Value | Average Value | Value | Average Value | Value | Average Value | |
| DS1 | 527.51 | 527.17 | 1945 | 1945.2 | 24.37 | 24.6 | 4.28 | 4.69 | 6.39 | 6.01 | 0.92 | 0.93 | 10,297 | 13,300 | 209,444 | 250,661 |
| DS2 | 525.31 | 1948 | 24.78 | 5.06 | 6.13 | 0.94 | 16,785 | 210,067 | ||||||||
| DS3 | 524.48 | 1944 | 24.39 | 4.49 | 6.14 | 0.89 | 12,811 | 288,108 | ||||||||
| DS4 | 531.21 | 1943 | 24.88 | 5.15 | 5.51 | 0.94 | 14,135 | 303,359 | ||||||||
| DS5 | 527.34 | 1946 | 24.59 | 4.49 | 5.88 | 0.95 | 12,472 | 242,327 | ||||||||
| SS1 | 542.78 | 544.32 | 2148 | 2145 | 18.97 | 17.31 | 6.17 | 6.2 | 4.35 | 3.88 | 0.67 | 0.68 | 5586 | 5199.4 | 41,977 | 44,937.2 |
| SS2 | 539.53 | 2145 | 17.03 | 6.07 | 3.62 | 0.71 | 4934 | 39,037 | ||||||||
| SS3 | 544.62 | 2147 | 16.34 | 6.54 | 3.71 | 0.64 | 4759 | 43,735 | ||||||||
| SS4 | 548.76 | 2142 | 16.26 | 6.38 | 3.54 | 0.68 | 6565 | 54,496 | ||||||||
| SS5 | 545.92 | 2143 | 17.94 | 5.86 | 4.17 | 0.69 | 4153 | 45,441 | ||||||||
© 2019 by the authors. Licensee MDPI, Basel, Switzerland. This article is an open access article distributed under the terms and conditions of the Creative Commons Attribution (CC BY) license (http://creativecommons.org/licenses/by/4.0/).
Share and Cite
Li, H.; Shen, R.; Li, D.; Jia, H.; Li, T.; Chen, T.; Hou, Z. Acoustic Emission Multi-Parameter Analysis of Dry and Saturated Sandstone with Cracks under Uniaxial Compression. Energies 2019, 12, 1959. https://doi.org/10.3390/en12101959
Li H, Shen R, Li D, Jia H, Li T, Chen T, Hou Z. Acoustic Emission Multi-Parameter Analysis of Dry and Saturated Sandstone with Cracks under Uniaxial Compression. Energies. 2019; 12(10):1959. https://doi.org/10.3390/en12101959
Chicago/Turabian StyleLi, Hongru, Rongxi Shen, Dexing Li, Haishan Jia, Taixun Li, Tongqing Chen, and Zhenhai Hou. 2019. "Acoustic Emission Multi-Parameter Analysis of Dry and Saturated Sandstone with Cracks under Uniaxial Compression" Energies 12, no. 10: 1959. https://doi.org/10.3390/en12101959
APA StyleLi, H., Shen, R., Li, D., Jia, H., Li, T., Chen, T., & Hou, Z. (2019). Acoustic Emission Multi-Parameter Analysis of Dry and Saturated Sandstone with Cracks under Uniaxial Compression. Energies, 12(10), 1959. https://doi.org/10.3390/en12101959

