Petrophysical Characterization and Fractal Analysis of Carbonate Reservoirs of the Eastern Margin of the Pre-Caspian Basin
Abstract
1. Introduction
2. Materials and Methods
2.1. Geological Setting
2.2. Experiment Methods
2.3. Fractal Dimension
3. Results and Discussion
3.1. Pore Spaces and Types
3.1.1. Pores
3.1.2. Fractures
3.1.3. Dissolution Cavern
3.2. Petrophysical Characteristics and MICP Data
3.3. Estimation of Permeability
3.4. Fractal Dimension
3.5. Reservoir Classifications
4. Conclusions
- (1)
- The storage space of carbonate rocks in this study area is divided into three types: pores, fractures, and caverns. The main pore types are the intergranular pore, intergranular dissolution pore, and intragranular dissolution pore. The fractures can be divided into dissolution fracture, tectonic fracture, stylolite fracture, and grain cracks.
- (2)
- The Pd values of the studied samples range from 0.05 MPa to 41.39 MPa, with an average of 1.75 Mpa. Median radii (Rc50) are between 0.01 μm and 5.15 μm, with an average of 1.76 μm. The pore throats greater than 1 μm and lower than 0.1 μm account for 47.98% and 22.85% respectively, which suggests that the pore structure in the study area is relatively good.
- (3)
- Permeability ranges from 0.002 mD to 349 mD, and with a logarithmic mean value of 4.07 mD. A permeability prediction model was established in a power-law form which incorporated porosity, Swanson parameter, and R35. The coefficient of determination between the predicted and core analysis permeability is 0.834, showing that the proposed model is effective and reliable. The proposed model could be applicable to other study areas.
- (4)
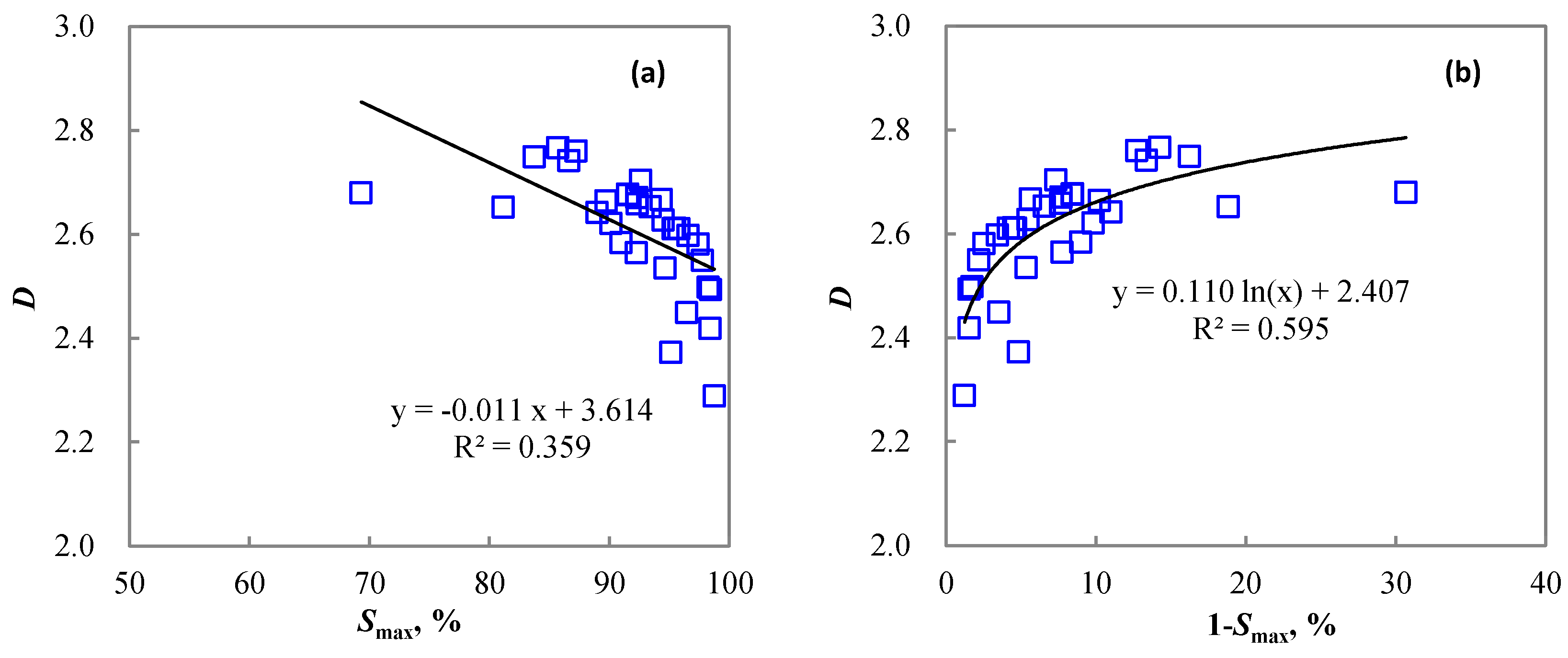
- Fractal dimension carried out based on MICP curves ranged from 2.29 to 2.77, with an average of 2.61. The pore structure parameters were not correlated with fractal dimension, indicating that the single fractal dimension could not characterize the pore structure characteristics. Multifractal analysis of the MICP data may be more suitable for pore structure investigation.
- (5)
- Combined with the pore types, MICP shape, and petrophysical parameters, the studied reservoirs were classified into four types: Types I, II, III, IV. Type I is the most favorable reservoir with daily oil production greater than 150 t, while Type IV is the worst reservoir and cannot produce oil. The good correlation between reservoir type and productivity demonstrates the effectiveness of the classification in this paper.
Author Contributions
Funding
Acknowledgments
Conflicts of Interest
References
- Qiang, Z. Carbonate Reservoir Geology; China University of Petroleum Press: Dongying, China, 2007; pp. 32–78. [Google Scholar]
- He, G.; Tang, H. Petrophysics; Petroleum Industry Press: Beijing, China, 2011; pp. 1–382. [Google Scholar]
- Volozh, Y.A.; Antipov, M.P.; Brunet, M.F.; Garagash, I.A.; Lobkovskii, L.I.; Cadet, J.P. Pre-Mesozoic geodynamics of the Precaspian basin (Kazakhstan). Sediment. Geol. 2003, 156, 35–58. [Google Scholar] [CrossRef]
- Deng, X.; Wang, H.; Bao, Z.; Sun, N.; Zhang, X. Distribution law and exploration potential of oil and gas in Pre-Caspian Basin. China Pet. Explor. 2012, 17, 36–47, (In Chinese with English Abstract). [Google Scholar]
- Zempolich, W.G.; Negri, A.; Leo, C.; Ojik, K.V.; Verdel, A. The Kashagan discovery: An example of the successful use of a multi-disciplined approach in reducing geologic risk. In Proceedings of the AAPG Annual Meeting, Houston, TX, USA, 10–13 March 2002; p. A197. [Google Scholar]
- He, L.; Zhao, L.; Li, J.; Ma, J.; Liu, R.; Wang, S.; Zhao, W. Complex relationship between porosity and permeability of carbonate reservoirs and its controlling factors: A case study of platform facies in Pre-Caspian Basin. Pet. Explor. Dev. 2014, 41, 225–234. [Google Scholar] [CrossRef]
- Zhao, H.; Ning, Z.; Wang, Q.; Zhang, R.; Zhao, T.; Niu, T.; Zeng, Y. Petrophysical characterization of tight oil reservoirs using pressure-controlled porosimetry combined with rate-controlled porosimetry. Fuel 2015, 154, 233–242. [Google Scholar] [CrossRef]
- Rezaee, R.; Saeedi, A.; Clennell, B. Tight gas sands permeability estimation from mercury injection capillary pressure and nuclear magnetic resonance data. J. Pet. Sci. Eng. 2012, 88–89, 92–99. [Google Scholar] [CrossRef]
- Ronchi, P.; Ortenzi, A.; Borromeo, O.; Claps, M.; Zempolich, W.G. Depositional setting and diagenetic processes and their impact on the reservoir quality in the late Visean–Bashkirian Kashagan carbonate platform (Pre-Caspian Basin, Kazakhstan). AAPG Bull. 2010, 94, 1313–1348. [Google Scholar] [CrossRef]
- Yang, F. A Study on Carbonate Sequence Stratigraphy in Block X of the Pre-Caspian Basin. Master’s Thesis, Northeast Petroleum University, Daqing, China, 2016. [Google Scholar]
- Shi, X.; Chen, X.; Wang, J.; Li, Z.; Jin, S.; Guo, H.; Zhu, M. Geochemical characteristics of the Carboniferours KT-I interval dolostone in eastern margin of coastal Caspian Sea Basin. J. Palaeogeogr. 2012, 14, 777–785, (In Chinese with English Abstract). [Google Scholar]
- Liu, D.; Dou, L.; Hao, Y.; Zhang, Y.; Li, J. The origin of hydrocarbon accumulation below the Lower Permian Salt Bed and the prospecting in the East Part of PreCaspian Basin. Mar. Origin Pet. Geol. 2004, 9, 53–58, (In Chinese with English Abstract). [Google Scholar]
- Hu, Y.; Xia, B.; Wang, Y.; Wan, Z.; Cai, Z. Tectonic evolution and hydrocarbon accumulation model in eastern Precaspian Basin. Sediment. Geol. Tethyan Geol. 2014, 34, 78–81, (In Chinese with English Abstract). [Google Scholar]
- Guo, K.; Cheng, X.; Fan, L.; Yan, S.; Ni, G.; Fu, H. Characteristics and Development Mechanism of Dolomite Reservoirs in North Truva of Eastern Pre-Caspian Basin. Acta Sedimentol. Sin. 2016, 34, 747–757, (In Chinese with English Abstract). [Google Scholar]
- Miao, Q.; Zhu, X.; Guo, H.; Zhao, H.; Zhu, M. Log evaluation of complex carbonate reservoirs in Centre Block of the Eastern Margin of Pre-Caspian Basin. Well Logging Technol. 2014, 38, 196–200, (In Chinese with English Abstract). [Google Scholar]
- He, L. Petrophysical Evaluation on the Microfracture-Typed Complex Carboniferous Carbonate Reservoirs in the Eastern Margin of the Caspian Sea Basin. Ph.D. Thesis, Yangtze University, Wuhan, China, 2015. [Google Scholar]
- Sakhaee-Pour, A.; Bryant, S.L. Effect of pore structure on the producibility of tight-gas sandstone. AAPG Bull. 2014, 98, 663–694. [Google Scholar] [CrossRef]
- Klaver, J.; Desbois, G.; Littke, R.; Urai, J.L. BIB-SEM pore characterization of mature and post mature Posidonia Shale samples from the Hills area, Germany. Int. J. Coal Geol. 2016, 158, 78–89. [Google Scholar] [CrossRef]
- Chalmers, G.R.; Bustin, R.M.; Power, I.M. Characterization of gas shale pore systems by porosimetry, pycnometry, surface area, and field emission scanning electron microscopy/transmission electron microscopy image analyses: Examples from the Barnett, Woodford, Haynesville, Marcellus, and Doig units. AAPG Bull. 2012, 1099–1119. [Google Scholar] [CrossRef]
- Washburn, E.D. The dynamics of capillary flow. Phys. Rev. 1921, 17, 273–283. [Google Scholar] [CrossRef]
- Feng, C.; Shi, Y.; Li, J.; Chang, L.; Li, G.; Mao, Z. A new empirical method for constructing capillary pressure curves from conventional logs in low permeability sandstones. J. Earth Sci. 2017, 28, 516–522. [Google Scholar] [CrossRef]
- Kuila, U.; Prasad, M. Specific surface area and pore-size distribution in clays and shales. Geophys. Prospect. 2013, 61, 341–362. [Google Scholar] [CrossRef]
- Kolodzie, S.J. Analysis of pore throat size and use of the Waxman–Smits equation to determine OOIP in spindle field. In Proceedings of the SPE Annual Technical Conference and Exhibition, Dallas, TX, USA, 21–24 September 1980. SPE-9382-MS. [Google Scholar]
- Swanson, B.F. A simple correlation between permeabilities and mercury injection capillary pressures. J. Pet. Technol. 1981, 33, 2498–2504. [Google Scholar] [CrossRef]
- Lafage, S. An Alternative to the Winland R35 Method for Determining Carbonate Reservoir Quality. Master’s Thesis, Texas A&M University, College Station, TX, USA, 2008. [Google Scholar]
- Xiao, L.; Wang, H.; Zou, C.; Mao, Z.; Guo, H. Improvements on “Application of NMR logs in tight gas reservoirs for formation evaluation: A case study of Sichuan basin in China”. J. Pet. Sci. Eng. 2016, 138, 11–17. [Google Scholar] [CrossRef]
- Zhao, P.; Sun, Z.; Luo, X.; Wang, Z.; Mao, Z.; Wu, Y.; Xia, P. Study on the response mechanisms of nuclear magnetic resonance (NMR) log in tight oil reservoirs. Chin. J. Geophys. 2016, 29, 1927–1937. [Google Scholar] [CrossRef]
- Dunn, K.J.; Bergman, D.J.; Latorraca, G.A. Nuclear Magnetic Resonance Petrophysical and Logging Application; Elsevier: Amsterdam, The Netherlands, 2002. [Google Scholar]
- Li, K. Analytical derivation of Brooks–Corey type capillary pressure models using fractal geometry and evaluation of rock heterogeneity. J. Pet. Sci. Eng. 2010, 73, 20–26. [Google Scholar] [CrossRef]
- Yang, F.; Ning, Z.; Liu, H. Fractal characteristics of shales from a shale gas reservoir in the Sichuan Basin, China. Fuel 2014, 115, 378–384. [Google Scholar] [CrossRef]
- Mandelbrot, B.B. The Fractal Geometry of Nature; W.H. Freeman: New York, NY, USA, 1982. [Google Scholar]
- Cai, J.; Perfect, E.; Cheng, C.; Hu, X. Generalized modeling of spontaneous imbibition based on Hagen-Poiseuille flow in tortuous capillaries with variably shaped apertures. Langmuir 2014, 30, 5142–5151. [Google Scholar] [CrossRef] [PubMed]
- Lyu, C.; Cheng, Q.; Zuo, R.; Wang, X. Mapping spatial distribution characteristics of lineaments extracted from remote sensing image using fractal and multifractal models. J. Earth Sci. 2017, 28, 507–515. [Google Scholar] [CrossRef]
- Wei, W.; Cai, J.; Hu, X.; Han, Q. An electrical conductivity model for fractal porous media. Geophy. Res. Lett. 2015, 42, 4833–4840. [Google Scholar] [CrossRef]
- Cai, J.; Wei, W.; Hu, X.; Liu, R.; Wang, J. Fractal characterization of dynamic fracture network extension in porous media. Fractals 2017, 25, 1750023. [Google Scholar] [CrossRef]
- Krohn, C.E. Fractal measurements of sandstones, shales, and carbonates. J. Geophys. Res. Solid Earth. 1988, 93, 3297–3305. [Google Scholar] [CrossRef]
- Billi, A.; Storti, F. Fractal distribution of particle size in carbonate cataclastic rocks from the core of a regional strike-slip fault zone. Tectonophysics 2004, 384, 115–128. [Google Scholar] [CrossRef]
- Xie, S.; Cheng, Q.; Ling, Q.; Li, B.; Bao, Z.; Fan, P. Fractal and multifractal analysis of carbonate pore-scale digital images of petroleum reservoirs. Mar. Pet. Geol. 2010, 27, 476–485. [Google Scholar] [CrossRef]
- Liu, H.; Tian, Z.; Xu, Z. Quantitative evaluation of carbonate reservoir pore structure based on fractal characteristics. Lithol. Reserv. 2017, 29, 97–105. [Google Scholar] [CrossRef]
- Ghanbarian-Alavijeh, B.; Hunt, A.G. Comments on “More general capillary pressure and relative permeability models from fractal geometry” by Kewen Li. J. Contam. Hydrol. 2012, 140, 21–23. [Google Scholar] [CrossRef] [PubMed]
- Ghanbarian, B.; Sahimi, M. Electrical conductivity of partially saturated packings of particles. Transp. Porous Med. 2017, 118, 1–16. [Google Scholar] [CrossRef]
- Ge, X.; Fan, Y.; Deng, S.; Han, Y.; Liu, J. An improvement of the fractal theory and its application in pore structure evaluation and permeability estimation. J. Geophys. Res. Solid Earth 2016, 121, 6333–6345. [Google Scholar] [CrossRef]
- Zhang, Z.; Weller, A. Fractal dimension of pore-space geometry of an Eocene sandstone formation. Geophysics 2014, 79, D377–D387. [Google Scholar] [CrossRef]
- Moore, H.C. Carbonate Reservoirs: Porosity Evolution and Diagenesis in a Sequence Stratigraphic Framework; Elsevier: Amsterdam, The Netherlands, 2001. [Google Scholar]
- Xu, Z.; Zhao, P.; Wang, Z.; Ostadhassan, M.; Pan, Z. Characterization and consecutive prediction of pore structures in tight oil reservoirs. Energies 2018, 11, 2705. [Google Scholar] [CrossRef]
- Schowalter, T.T. Mechanics of secondary hydrocarbon migration and entrapment. AAPG Bull. 1979, 63, 723–760. [Google Scholar]
- Mao, Z.; Xiao, L.; Wang, Z.; Jin, Y.; Liu, X.; Xie, B. Estimation of permeability by integrating nuclear magnetic resonance (NMR) logs with mercury injection capillary pressure (MICP) data in tight gas sands. Appl. Magn. Reson. 2013, 44, 449–468. [Google Scholar] [CrossRef]
- Ghanbarian-Alavijeh, B.; Millán, H. The relationship between surface fractal dimension and soil water content at permanent wilting point. Geoderma 2009, 151, 224–232. [Google Scholar] [CrossRef]













| Sample No. | Porosity | K | Pd | Pc50 | R50 | Swanson | R35 | Smax | D | Large Pore | Medium Pore | Small Pore |
|---|---|---|---|---|---|---|---|---|---|---|---|---|
| - | % | mD | MPa | MPa | μm | v/v/MPa | μm | % | / | % | % | % |
| 1 | 4.67 | 1.63 | 0.96 | 3.44 | 0.22 | 0.16 | 0.19 | 90.16 | 2.62 | 4.22 | 66.97 | 28.82 |
| 2 | 9.53 | 0.005 | 3.16 | 26.91 | 0.03 | 0.04 | 0.06 | 81.16 | 2.65 | 0.14 | 25.67 | 74.19 |
| 3 | 7.56 | 0.019 | 0.86 | 3.67 | 0.2 | 0.15 | 0.31 | 91.01 | 2.58 | 6.52 | 62.49 | 31.0 |
| 4 | 10.35 | 0.02 | 1.63 | 7.71 | 0.1 | 0.07 | 0.16 | 92.26 | 2.56 | 2.33 | 46.8 | 50.87 |
| 5 | 10.29 | 0.034 | 2.07 | 5.18 | 0.14 | 0.10 | 0.19 | 95.14 | 2.37 | 0.78 | 65.76 | 33.46 |
| 6 | 11.08 | 0.333 | 0.86 | 2.07 | 0.36 | 0.24 | 0.44 | 88.98 | 2.64 | 5.13 | 72.15 | 22.72 |
| 7 | 8.55 | 0.088 | 1.09 | 3.92 | 0.19 | 0.12 | 0.26 | 98.76 | 2.29 | 4.83 | 69.79 | 25.38 |
| 8 | 7.76 | 0.322 | 0.74 | 2.24 | 0.33 | 0.22 | 0.45 | 94.66 | 2.54 | 6.35 | 63.76 | 29.89 |
| 9 | 7.16 | 0.002 | 41.39 | 120.64 | 0.01 | 0.00 | 0.01 | 69.32 | 2.68 | 0.00 | 0.45 | 99.55 |
| 10 | 29.0 | 35.3 | 0.19 | 0.44 | 1.67 | 1.17 | 2.41 | 98.43 | 2.42 | 67.2 | 25.19 | 7.61 |
| 11 | 30.7 | 62.3 | 0.13 | 0.28 | 2.62 | 1.83 | 3.3 | 98.45 | 2.49 | 74.8 | 15.63 | 9.57 |
| 12 | 27.4 | 32 | 0.38 | 0.89 | 0.83 | 0.55 | 1.15 | 96.45 | 2.45 | 41.45 | 43.88 | 14.67 |
| 13 | 32.4 | 230 | 0.08 | 0.19 | 3.82 | 2.67 | 5.43 | 97.79 | 2.55 | 85.27 | 9.88 | 4.85 |
| 14 | 13.7 | 12.3 | 0.09 | 0.27 | 2.69 | 1.77 | 3.85 | 95.84 | 2.61 | 76.38 | 14.6. | 9.02 |
| 15 | 12.4 | 8.08 | 0.18 | 0.58 | 1.27 | 1.02 | 2.12 | 91.55 | 2.68 | 55.21 | 24.87 | 19.92 |
| 16 | 17.3 | 349 | 0.05 | 0.15 | 4.87 | 3.28 | 6.96 | 97.44 | 2.58 | 76.6 | 14.16 | 9.24 |
| 17 | 7.8 | 19.7 | 0.09 | 0.28 | 2.65 | 2.07 | 4.33 | 85.74 | 2.77 | 66.46 | 13.98 | 19.56 |
| 18 | 16.7 | 15.3 | 0.07 | 0.28 | 2.64 | 2.04 | 4.27 | 96.57 | 2.6 | 68.24 | 19.54 | 12.22 |
| 19 | 8.5 | 7.54 | 0.15 | 0.4 | 1.85 | 1.41 | 2.82 | 86.64 | 2.74 | 62.4 | 17.47 | 20.13 |
| 20 | 9.1 | 24.4 | 0.11 | 0.41 | 1.80 | 1.40 | 3 | 92.31 | 2.67 | 61.52 | 21.08 | 17.40 |
| 21 | 11.3 | 77.9 | 0.05 | 0.14 | 5.15 | 3.45 | 7.14 | 92.65 | 2.70 | 77.26 | 10.35 | 12.39 |
| 22 | 10.2 | 18.4 | 0.14 | 0.56 | 1.32 | 1.14 | 2.39 | 93.42 | 2.65 | 55.69 | 25.30 | 19.00 |
| 23 | 7.0 | 0.25 | 0.09 | 0.29 | 2.57 | 2.30 | 4.79 | 87.26 | 2.76 | 65.2 | 14.57 | 20.24 |
| 24 | 11.4 | 33.5 | 0.19 | 0.64 | 1.15 | 0.79 | 1.76 | 91.57 | 2.68 | 52.63 | 26.75 | 20.63 |
| 25 | 13.3 | 3.86 | 0.14 | 0.32 | 2.26 | 1.55 | 2.99 | 94.52 | 2.63 | 74.57 | 14.86 | 10.57 |
| 26 | 12.2 | 120 | 0.11 | 0.33 | 2.21 | 1.53 | 3.23 | 95.35 | 2.61 | 67.64 | 19.42 | 12.95 |
| 27 | 20.5 | 69.5 | 0.1 | 0.27 | 2.73 | 1.8 | 3.94 | 95.47 | 2.61 | 72.14 | 16.41 | 11.45 |
| 28 | 12.4 | 9.98 | 0.13 | 0.5 | 1.46 | 1.08 | 2.26 | 92.35 | 2.66 | 60.73 | 24.11 | 15.16 |
| 29 | 8.8 | 0.931 | 0.23 | 1.41 | 0.52 | 0.56 | 1.18 | 83.76 | 2.75 | 38.33 | 30.32 | 31.35 |
| 30 | 9.9 | 13.4 | 0.33 | 1.11 | 0.66 | 0.54 | 1.12 | 89.75 | 2.66 | 38.26 | 38.34 | 23.4 |
| 31 | 18.7 | 43.7 | 0.09 | 0.23 | 3.25 | 2.11 | 4.38 | 98.26 | 2.5 | 84.63 | 10.52 | 4.85 |
| 32 | 21.0 | 232 | 0.07 | 0.16 | 4.71 | 3.22 | 6.1 | 94.36 | 2.67 | 82.34 | 8.40 | 9.27 |
| Average | 13.71 | 44.43 | 1.75 | 5.81 | 1.76 | 1.26 | 2.59 | 92.11 | 2.61 | 47.98 | 29.17 | 22.85 |
| Por | K | Pd | Pc50 | R50 | Swanson | R35 | Large Pore | Medium Pore | Small Pore |
|---|---|---|---|---|---|---|---|---|---|
| 0.174 | 0.001 | 0.009 | 0.011 | 0.035 | 0.061 | 0.064 | 0.053 | 0.207 | 0.015 |
| Reservoir Types | Pore Space Types | Porosity (%) | K (mD) | R50 (μm) | Pd (MPa) |
|---|---|---|---|---|---|
| I | Dissolution caves; intergranular dissolution pore; fracture | 7.0–32.4 19.51 | 0.25–349.0 42.668 | 2.57–5.15 3.59 | 0.05–0.13 0.08 |
| II | Intergranular dissolution pore; intergranular pore | 7.8–29 13.29 | 0.931–120.0 14.266 | 0.52–2.69 1.6 | 0.09–0.38 0.18 |
| III | Intergranular pore; intragranular dissolution pores; intrafosill pore | 4.67–11.8 7.92 | 0.02–1.63 0.196 | 0.19–0.36 0.26 | 0.74–0.19 0.9 |
| IV | Intercrystal pore; or undeveloped pores | 7.16–10.35 9.33 | 0.002–0.034 0.009 | 0.01–0.14 0.07 | 1.63–41.39 12.06 |
© 2018 by the authors. Licensee MDPI, Basel, Switzerland. This article is an open access article distributed under the terms and conditions of the Creative Commons Attribution (CC BY) license (http://creativecommons.org/licenses/by/4.0/).
Share and Cite
Sha, F.; Xiao, L.; Mao, Z.; Jia, C. Petrophysical Characterization and Fractal Analysis of Carbonate Reservoirs of the Eastern Margin of the Pre-Caspian Basin. Energies 2019, 12, 78. https://doi.org/10.3390/en12010078
Sha F, Xiao L, Mao Z, Jia C. Petrophysical Characterization and Fractal Analysis of Carbonate Reservoirs of the Eastern Margin of the Pre-Caspian Basin. Energies. 2019; 12(1):78. https://doi.org/10.3390/en12010078
Chicago/Turabian StyleSha, Feng, Lizhi Xiao, Zhiqiang Mao, and Chen Jia. 2019. "Petrophysical Characterization and Fractal Analysis of Carbonate Reservoirs of the Eastern Margin of the Pre-Caspian Basin" Energies 12, no. 1: 78. https://doi.org/10.3390/en12010078
APA StyleSha, F., Xiao, L., Mao, Z., & Jia, C. (2019). Petrophysical Characterization and Fractal Analysis of Carbonate Reservoirs of the Eastern Margin of the Pre-Caspian Basin. Energies, 12(1), 78. https://doi.org/10.3390/en12010078
