A Mixed-Strategy-Based Whale Optimization Algorithm for Parameter Identification of Hydraulic Turbine Governing Systems with a Delayed Water Hammer Effect
Abstract
1. Introduction
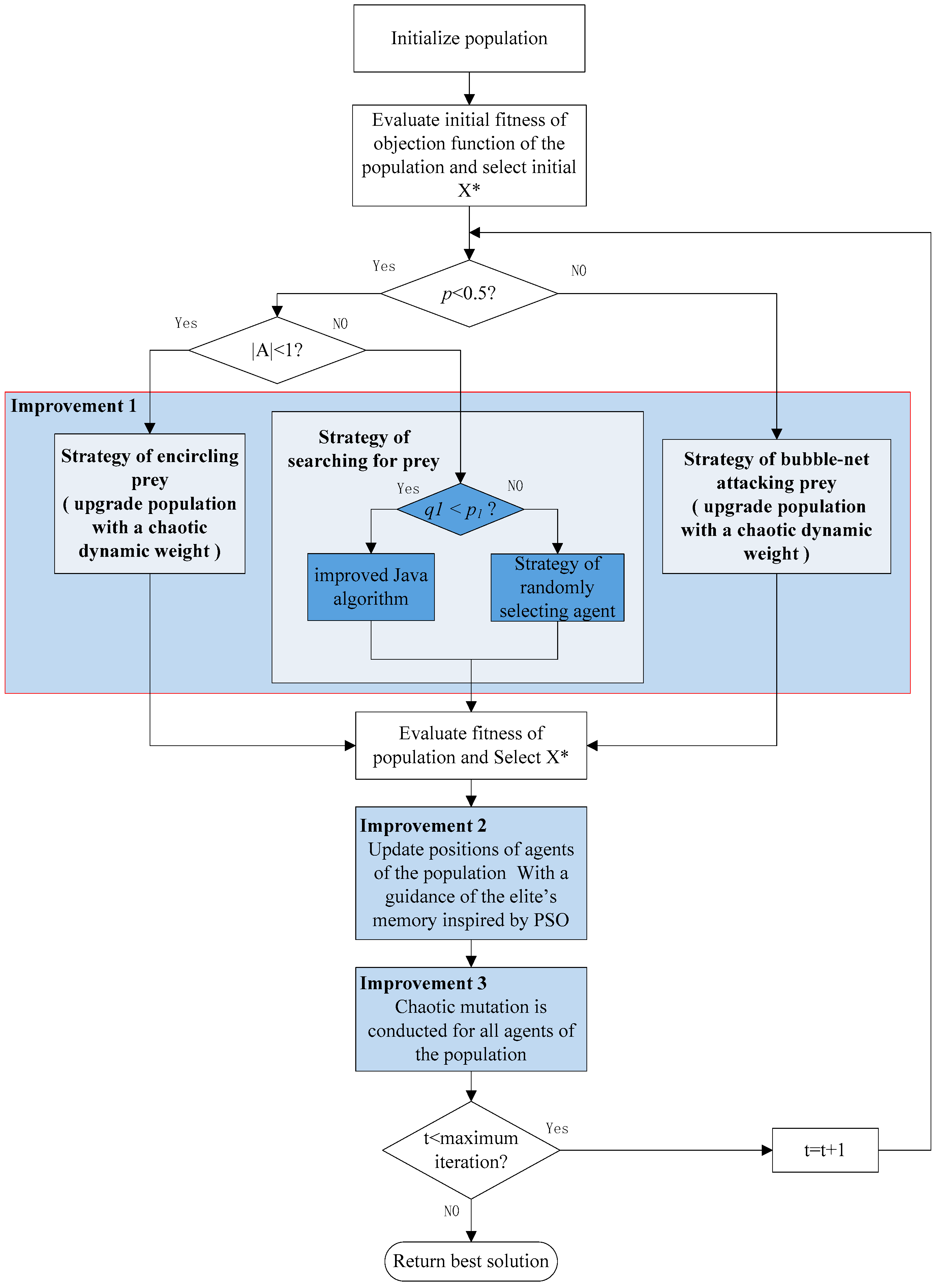
2. The Mixed-Strategy Based Whale Optimization Algorithm
2.1. Brief Introduction of WOA
2.1.1. Modeling the Course of Searching for Prey
2.1.2. Modeling the Course of Encircling Prey
2.1.3. Modeling the Course of Bubble-Net Attacking (Getting) Prey
2.2. The Mixed-Strategy Based WOA
2.2.1. Improvement 1: Hybrid Movement Strategy
2.2.2. Improvement 2: Movement Strategy Inspired by Guidance of the Elite’s Memory
2.2.3. Improvement 3: Mutation Operator Based on The Sinusoidal Chaotic Mutation
2.3. Procedure of Mixed-Strategy WOA
| Algorithm 1. Pseudo-Code. |
| 1. Initialize the agents population X, and (i = 1, 2 … N, N is total number of all agents) denotes position of the i-th agent of X; 2. While (t < tmax) For to (1) Evaluate objective function value of each agent of the population and select the worst solution and the best solution and update , , in the current iteration; (2) Update A, C, a, l, p and calculate the chaotic weight ω in the current iteration; (3) if 1 (p and p1 are random in [0,1], q1 = c1·(1 − t/tmax)) if 2 if 3 q1 < p1 select in Equation (11) and update the position of each agent of population as in Equations (1) and (2) else if 3 q1 > p1 pdate in Equation (12) and update the position of each agent of population as in Equations (1) and (2) end if 3 else if 2 update the position of each agent of population as in Equation (14) else if 2 else if 1 update the position of each agent of population as in Equation (15) else if 1 end for For to Use Equations (16) and (17) to update the position of each agent of population end for For to Use chaotic mutation as in Equation (18) to achieve new positions to . if obj() < obj() else end for Check whether the position of any agent of population is out of the boundaries. t = t + 1 end while 3. end |
3. Experiments and Result Discussion
3.1. Experiments Setting and Benchmark Function
3.2. Results Analysis Based on Statistical Test Methods
3.2.1. The Wilcoxon’s Test
3.2.2. Box and Whisker
3.3. Performance Comparison
3.3.1. Analysis of Test Results of F1–F7
3.3.2. Analysis of Test Results of F8–F13
3.3.3. Analysis of Test Results of F14–F23
4. Parameter Identification of the Hydraulic Turbine Governing System
4.1. Model of Hydraulic Turbine Governing System with a Delay Water Hammer Effect
4.1.1. PID Controller Model
4.1.2. Servomechanism Model
4.1.3. Hydraulic Turbine Model
4.1.4. Penstock System Model
4.1.5. Generator System Model
4.2. Identification Strategy Based on MSWOA
4.3. Experiments and Analysis of Parameters Identification
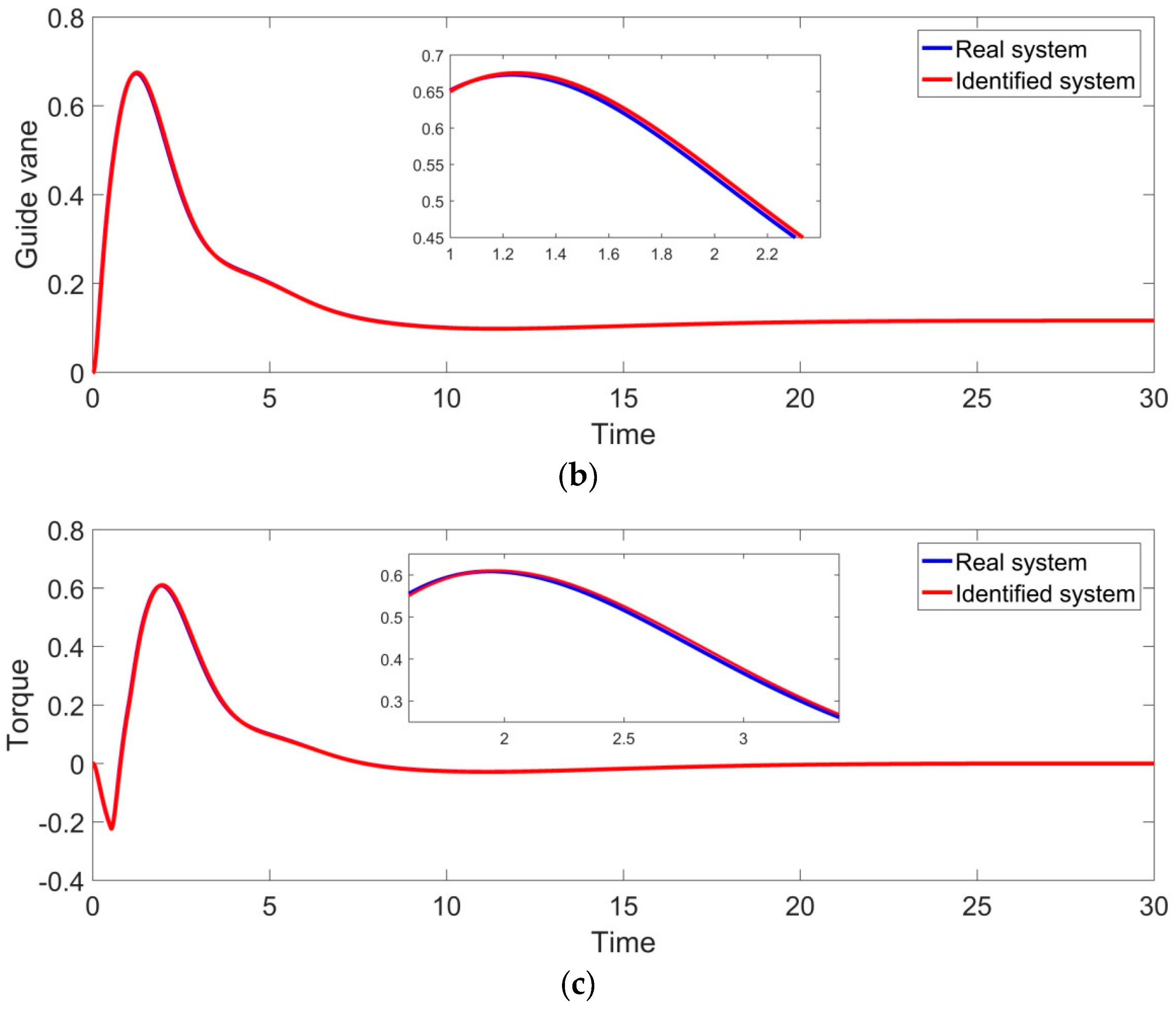
4.3.1. Comparison of Different Identification Methods under No-Load Condition
4.3.2. Comparison of Different Identification Methods under Load Conditions
5. Conclusions
Author Contributions
Funding
Acknowledgments
Conflicts of Interest
References
- Li, C.S.; Zhou, J.Z. Parameters identification of hydraulic turbine governing system using improved gravitational search algorithm. Energy Convers. Manag. 2011, 52, 374–381. [Google Scholar] [CrossRef]
- Chen, Z.; Yuan, X.; Tian, H.; Ji, B. Improved gravitational search algorithm for parameter identification of water turbine regulation system. Energy Convers. Manag. 2014, 78, 306–315. [Google Scholar] [CrossRef]
- Zhang, H.; Chen, D.; Xu, B.; Wang, F. Nonlinear modeling and dynamic analysis of hydro-turbine governing system in the process of load rejection transient. Energy Convers. Manag. 2015, 90, 128–137. [Google Scholar] [CrossRef]
- Li, C.; Zhou, J.; Xiao, J.; Xiao, H. Hydraulic turbine governing system identification using T–S fuzzy model optimized by chaotic gravitational search algorithm. Eng. Appl. Artif. Intell. 2013, 26, 2073–2082. [Google Scholar] [CrossRef]
- Fang, H.; Chen, L.; Shen, Z. Application of an improved PSO algorithm to optimal tuning of PID gains for water turbine governor. Energy Convers. Manag. 2011, 52, 1763–1770. [Google Scholar] [CrossRef]
- Zheng, Y.; Zhou, J.; Zhu, W.; Zhang, C.; Li, C.; Fu, W. Design of a multi-mode intelligent model predictive control strategy for hydroelectric generating unit. Neurocomputing 2016, 207, 287–299. [Google Scholar] [CrossRef]
- Wang, Z.; Li, C.; Lai, X.; Zhang, N.; Xu, Y.; Hou, J. An Integrated Start-Up Method for Pumped Storage Units Based on a Novel Artificial Sheep Algorithm. Energies 2018, 11, 151. [Google Scholar] [CrossRef]
- Ma, P.; Ding, F.; Alsaedi, A.; Hayat, T. Recursive least squares identification methods for multivariate pseudo-linear systems using the data filtering. Multidimens. Syst. Signal Proc. 2018, 29, 1135–1152. [Google Scholar] [CrossRef]
- Li, J.; Ding, F.; Yang, G. Maximum likelihood least squares identification method for input nonlinear finite impulse response moving average systems. Math. Comput. Model. 2012, 55, 442–450. [Google Scholar] [CrossRef]
- Stoica, P.; Li, J. On nonexistence of the maximum likelihood estimate in blind multichannel identification. IEEE Signal Proc. Mag. 2005, 22, 99–101. [Google Scholar] [CrossRef]
- Fontan, M.; Breysse, D.; Bos, F. A hierarchy of sources of errors influencing the quality of identification of unknown parameters using a meta-heuristic algorithm. Comput. Struct. 2014, 139, 1–17. [Google Scholar] [CrossRef]
- Stefanescu, R.; Schmidt, K.; Hite, J.; Smith, R.C.; Mattingly, J. Hybrid optimization and Bayesian inference techniques for a non-smooth radiation detection problem. Inter. J. Numer. Methods Eng. 2017, 111, 955–982. [Google Scholar] [CrossRef]
- Kennedy, J.; Eberhart, R. Particle swarm optimization. In Proceedings of the 1995 IEEE international conference on neural networks, Perth, WA, Australia, 27 November–1 December 1995; pp. 1942–1948. [Google Scholar]
- Rashedi, E.; Nezamabadi-Pour, H.; Saryazdi, S. GSA: A gravitational search algorithm. Inf. Sci. 2009, 179, 2232–2248. [Google Scholar] [CrossRef]
- Laudani, A.; Fulginei, F.R.; Lozito, G.M.; Salvini, A. Swarm/flock optimization algorithms as continuous dynamic systems. Appl. Math. Comput. 2014, 243, 670–683. [Google Scholar] [CrossRef]
- Mirjalili, S. SCA: A sine cosine algorithm for solving optimization problems. Knowl.-Based Syst. 2016, 96, 120–133. [Google Scholar] [CrossRef]
- Mirjalili, S. The ant lion optimizer. Adv. Eng. Softw. 2015, 83, 80–98. [Google Scholar] [CrossRef]
- Mirjalili, S.; Mirjalili, S.M.; Lewis, A. Grey wolf optimizer. Adv. Eng. Softw. 2014, 69, 46–61. [Google Scholar] [CrossRef]
- Lai, X.; Li, C.; Zhang, N.; Zhou, J. A multi-objective artificial sheep algorithm. Neural Comput. Appl. 2018, 1–35. [Google Scholar] [CrossRef]
- Wang, W.; Li, C.; Liao, X.; Qin, H. Study on unit commitment problem considering pumped storage and renewable energy via a novel binary artificial sheep algorithm. Appl. Energy 2017, 187, 612–626. [Google Scholar] [CrossRef]
- Mirjalili, S.; Lewis, A. The whale optimization algorithm. Adv. Eng. Softw. 2016, 95, 51–67. [Google Scholar] [CrossRef]
- Zhang, J.; Xia, P. An improved PSO algorithm for parameter identification of nonlinear dynamic hysteretic models. J. Sound Vib. 2017, 389, 153–167. [Google Scholar] [CrossRef]
- Wu, Z.; Yu, D.; Kang, X. Parameter identification of photovoltaic cell model based on improved ant lion optimizer. Energy Convers. Manag. 2017, 151, 107–115. [Google Scholar] [CrossRef]
- Ali, M.; El-Hameed, M.A.; Farahat, M.A. Effective parameters’ identification for polymer electrolyte membrane fuel cell models using grey wolf optimizer. Renew. Energy 2017, 111, 455–462. [Google Scholar] [CrossRef]
- Tsai, S.H.; Chen, Y.W. A novel fuzzy identification method based on ant colony optimization algorithm. IEEE Access 2016, 4, 3747–3756. [Google Scholar] [CrossRef]
- Zou, W.; Li, C.; Zhang, N. AT-S Fuzzy Model Identification Approach based on a Modified Inter Type-2FRCM Algorithm. IEEE Trans. Fuzzy Syst. 2018, 26, 1104–1113. [Google Scholar] [CrossRef]
- Li, C.; Chang, L.; Huang, Z.; Liu, Y.; Zhang, N. Parameter identification of a nonlinear model of hydraulic turbine governing system with an elastic water hammer based on a modified gravitational search algorithm. Eng. Appl. Artif. Intell. 2016, 50, 177–191. [Google Scholar] [CrossRef]
- Zhang, N.; Li, C.; Li, R.; Lai, X.; Zhang, Y. A mixed-strategy based gravitational search algorithm for parameter identification of hydraulic turbine governing system. Knowl.-Based Syst. 2016, 109, 218–237. [Google Scholar] [CrossRef]
- Li, C.; Mao, Y.; Zhou, J.; Zhang, N.; An, X. Design of a fuzzy-PID controller for a nonlinear hydraulic turbine governing system by using a novel gravitational search algorithm based on Cauchy mutation and mass weighting. Appl. Soft Comput. 2017, 52, 290–305. [Google Scholar] [CrossRef]
- Li, C.; Zhang, N.; Lai, X.; Zhou, J.; Xu, Y. Design of a fractional-order PID controller for a pumped storage unit using a gravitational search algorithm based on the Cauchy and Gaussian mutation. Inf. Sci. 2017, 396, 162–181. [Google Scholar] [CrossRef]
- Li, C.; Xiao, Z.; Xia, X.; Zou, W.; Zhang, C. A hybrid model based on synchronous optimisation for multi-step short-term wind speed forecasting. Appl. Energy 2018, 215, 131–144. [Google Scholar] [CrossRef]
- Majdi, M.; Seyedali, M. Whale optimization approaches for wrapper feature selection. Appl. Soft Comput. 2018, 62, 441–453. [Google Scholar]
- Majdi, M.; Seyedali, M. Hybrid whale optimization algorithm with simulated annealing for feature selection. Neurocomputing 2017, 260, 302–312. [Google Scholar]
- Ling, Y.; Zhou, Y.; Luo, Q. Lévy Flight Trajectory-Based Whale Optimization Algorithm for Global Optimization. IEEE Access 2017, 5, 6168–6186. [Google Scholar] [CrossRef]
- Abdel-Basset, M.; Manogaran, G.; El-Shahat, D.; Mirjalili, S. A hybrid whale optimization algorithm based on local search strategy for the permutation flow shop scheduling problem. Future Gener. Comput. Syst. 2018, 85, 129–145. [Google Scholar] [CrossRef]
- Kaveh, A.; Ghazaan, M.I. Enhanced whale optimization algorithm for sizing optimization of skeletal structures. Mech. Based Des. Struct. Mach. 2017, 45, 345–362. [Google Scholar] [CrossRef]
- Emary, E.; Zawbaa, H.M.; Salam, M.A. A proposed whale search algorithm with adaptive random walk. In Proceedings of the IEEE 13th International Conference on Intelligent Computer Communication and Processing, Cluj-Napoca, Romania, 7–9 September 2017; pp. 171–177. [Google Scholar]
- Oliva, D.; El Aziz, M.A.; Hassanien, A.E. Parameter estimation of photovoltaic cells using an improved chaotic whale optimization algorithm. Appl. Energy 2017, 200, 141–154. [Google Scholar] [CrossRef]
- Rao, R.V. Jaya: A simple and new optimization algorithm for solving constrained and unconstrained optimization problems. Inter. J. Ind. Eng. Comput. 2016, 7, 19–34. [Google Scholar]
- Heikki, H.; Marko, L.; Antonietta, M.; Eero, S. DRAM: Efficient adaptive MCMC. Stat. Comput. 2006, 16, 339–354. [Google Scholar]
- Mirjalili, S.; Gandomi, A.H. Chaotic gravitational constants for the gravitational search algorithm. Appl. Soft Comput. 2017, 53, 407–419. [Google Scholar] [CrossRef]
- Cheng, X.; Zhang, J. Water Turbine Automatic Regulation; Waterpower Press: Beijing, China, 2010. [Google Scholar]



















| Symbol | Unit | Meaning |
|---|---|---|
| t | time | Current iteration |
| tmax | time | The maximum iteration |
| X | / | Each agent position of population |
| Xrand | / | The agent position selected randomly |
| X* | / | The best position in the current iteration |
| Xworst | / | The worst position in the current iteration |
| Xgbest | / | The best position obtained so far |
| A | / | A variable in [−2,2] |
| C | / | A random number in [0,2] |
| a | / | A variable in [0,2] |
| b | / | A positive constant |
| l | / | A random number in [−1,1] |
| a1 | / | Chaotic constant a1 = 2.3 |
| p | / | A random probability value in [0,1] |
| p1 | / | A random probability value in [0,1] |
| r | / | A random in [0,1] |
| r2–r9 | / | Randoms in [0,1] |
| c2, c3, c6–c12 | / | Coefficients in [0,2] |
| c1 | / | A coefficients in [0,1] |
| c4, c5 | / | A variable in [0,1] |
| q1 | / | A dynamic ratio in [0,0.5] |
| σ | / | Output of PID Controller |
| c | / | Relative value of given speed |
| x | / | Relative value of speed |
| bp | / | Permanent transition coefficient |
| y1 | / | Relative value of position of the auxiliary servomotor |
| y | / | Relative value of position of the main servomotor |
| Td | second | The differential time |
| Kp | / | The proportional gain, |
| Ki | / | The integral gain |
| Kd | / | The differential gain |
| Ty1 | second | The response time constant of auxiliary servomotor |
| Ty | second | The response time constant of main servomotor |
| mt | / | Relative value of moment |
| q | / | Relative value of water flow |
| h | / | Relative value of water head |
| hw | / | The pipeline characteristic coefficient |
| Tr | second | The reflection time of the water hammer pressure wave |
| Ta | second | The inertial time constant of the generator |
| eg | / | The adjusting coefficient of the generator |
| Function | Dimension | Range | fmin |
|---|---|---|---|
| 30 | [−100,100] | 0 | |
| 30 | [−10,10] | 0 | |
| 30 | [−100,100] | 0 | |
| 30 | [−100,100] | 0 | |
| 30 | [−30,30] | 0 | |
| 30 | [−100,100] | 0 | |
| 30 | [−1.28,1.28] | 0 |
| Function | Dimension | Range | fmin |
|---|---|---|---|
| 30 | [−500,500] | −12569 | |
| 30 | [−5.12,5.12] | 0 | |
| 30 | [−32,32] | 0 | |
| 30 | [−600,600] | 0 | |
| 30 | [−50,50] | 0 | |
| , | – | – | – |
| 30 | [−50,50] | 0 |
| Function | dimension | Range | fmin |
|---|---|---|---|
| 2 | [−65,65] | 1 | |
| 4 | [−5,5] | 0.0003 | |
| 2 | [−5,5] | −1.0316 | |
| 2 | [−5,5] | 0.398 | |
| 2 | [−2,2] | 3 | |
| 3 | [0,1] | −3.86 | |
| 6 | [0,1] | −3.32 | |
| 4 | [0,10] | −10.1532 | |
| 4 | [0,10] | −10.4028 | |
| 4 | [0,10] | −10.5363 |
| Algorithm | Parameter Settings |
|---|---|
| PSO12 | c1 = 2, c2 = 2, inertia weight ω = 1, inertia weight damping ratio ω2 = 0.99 |
| GSA13 | G0 = 100, α = 20 |
| ALO16 | All parameter settings are recommended in [15] |
| WOA20 | a decrease linearly from 2 to 0 |
| CWOA37 | a decrease linearly from 2 to 0, other settings are same to [19] |
| EWOA35 | a decrease linearly from 2 to 0, c = 0.3, other settings are same to [19] |
| MSWOA | a decrease linearly from 2 to 0, q1 = 0.5(1 − t/tmax), inertia weight ω = 1,inertia weight damping ratio ω2 = 0.99, other settings are same to WOA [19] |
| Function | Index | PSO | GSA | ALO | WOA | CWOA | EWOA | MSWOA |
|---|---|---|---|---|---|---|---|---|
| F1 | Ave | 1.36 × 10−8 | 3.29 × 10−16 | 7.52 × 10−9 | 6.13 × 10−74 | 0 | 2.22 × 10−32 | 0 |
| Std | 2.55 × 10−8 | 3.74× 10−16 | 3.3× 10−9 | 2.18× 10−73 | 0 | 6.01× 10−32 | 0 | |
| Anc | 500 | 500 | 500 | 500 | 64 | 500 | 14 | |
| F2 | Ave | 0.0403 | 0.0361 | 0.5907 | 4.06× 10−51 | 0 | 7.24× 10−26 | 0 |
| Std | 0.0690 | 0.1127 | 1.0355 | 6.45× 10−51 | 0 | 8.73× 10−26 | 0 | |
| Anc | 411 | 351 | 487 | 500 | 39 | 500 | 11 | |
| F3 | Ave | 96.484 | 905.77 | 0.1921 | 45,988 | 33,120 | 47,649 | 0.0218 |
| Std | 85.763 | 409.34 | 0.4005 | 8114 | 7478.3 | 13702 | 0.0819 | |
| Anc | 500 | 456 | 499 | 500 | 500 | 500 | 500 | |
| F4 | Ave | 2.4409 | 6.9393 | 0.2225 | 40.874 | 40.173 | 69.994 | 0 |
| Std | 1.0333 | 1.5297 | 0.9838 | 26.297 | 17.893 | 14.454 | 0 | |
| Anc | 500 | 394 | 497 | 428 | 490 | 283 | 16 | |
| F5 | Ave | 45.171 | 58.224 | 194.96 | 27.964 | 26.869 | 18.794 | 24.253 |
| Std | 41.859 | 38.846 | 436.28 | 0.4795 | 1.1668 | 12.561 | 0.2296 | |
| Anc | 500 | 445 | 500 | 257 | 447 | 500 | 500 | |
| F6 | Ave | 3.11 × 10−8 | 6.1 | 1.26 × 10−8 | 0.41 | 0.0951 | 0.0026 | 4.11 × 10−12 |
| Std | 4.56 × 10−8 | 4.5986 | 2.03 × 10−8 | 0.2589 | 0.1292 | 0.0014 | 4.35 × 10−12 | |
| Anc | 500 | 100 | 500 | 274 | 456 | 500 | 500 | |
| F7 | Ave | 0.0261 | 0.0770 | 0.0306 | 0.0023 | 8.66 × 10−5 | 0.0151 | 6.63 × 10−5 |
| Std | 0.0121 | 0.0268 | 0.0162 | 0.0032 | 7.72 × 10−5 | 0.0120 | 7.16 × 10−5 | |
| Anc | 498 | 231 | 333 | 480 | 499 | 498 | 406 | |
| F8 | Ave | −6185.6 | −2793.1 | −2267.1 | −10655 | −11,487 | −11,916 | −9203.3 |
| Std | 635.16 | 611.86 | 445.86 | 1702.5 | 1102.5 | 1070.2 | 1295 | |
| Anc | 207 | 11 | 401 | 414 | 500 | 500 | 499 | |
| F9 | Ave | 46.863 | 27.71 | 22.436 | 0 | 0 | 90.101 | 0 |
| Std | 12.539 | 7.242 | 13.417 | 0 | 0 | 70.216 | 0 | |
| Anc | 308 | 250 | 391 | 212 | 95 | 500 | 9 | |
| F10 | Ave | 1.6484 | 1.3 × 10−8 | 0.6613 | 3.91 × 10−15 | 8.8818 × 10−16 | 1.28 × 10−14 | 8.8818 × 10−16 |
| Std | 0.7689 | 4.01 × 10−8 | 0.8640 | 2.38 × 10−15 | 0 | 4.79 × 10−15 | 0 | |
| Anc | 380 | 500 | 488 | 299 | 48 | 494 | 10 | |
| F11 | Ave | 0.0255 | 27.322 | 0.2039 | 0.0231 | 0.0062 | 0.0120 | 0.0032 |
| Std | 0.0280 | 6.5334 | 0.0829 | 0.0807 | 0.0251 | 0.0236 | 0.0071 | |
| Anc | 325 | 319 | 457 | 240 | 217 | 491 | 402 | |
| F12 | Ave | 0.0882 | 2.2046 | 2.3717 | 0.0344 | 0.0119 | 2.6187 | 3.05 × 10−4 |
| Std | 0.2436 | 1.2486 | 2.5530 | 0.0321 | 0.0123 | 3.7315 | 2.06 × 10−4 | |
| Anc | 394 | 325 | 478 | 255 | 419 | 500 | 500 | |
| F13 | Ave | 0.0585 | 7.6479 | 0.0032 | 0.5345 | 0.3736 | 2.3549 | 0.0502 |
| Std | 0.1165 | 5.7737 | 0.0076 | 0.3071 | 0.3249 | 10.0492 | 0.0461 | |
| Anc | 463 | 384 | 390 | 402 | 443 | 500 | 500 | |
| F14 | Ave | 4.3772 | 5.0336 | 1.7899 | 2.6678 | 1.2956 | 1.8336 | 1.1964 |
| Std | 4.1508 | 3.2134 | 1.3790 | 3.0266 | 0.7269 | 2.2266 | 0.6107 | |
| Anc | 120 | 37 | 67 | 211 | 166 | 274 | 264 | |
| F15 | Ave | 6.21 × 10−4 | 0.0032 | 0.0028 | 7.79 × 10−4 | 6.82 × 10−4 | 5.8 × 10−4 | 3.46 × 10−4 |
| Std | 5.28 × 10−4 | 0.0015 | 0.0060 | 5.59 × 10−4 | 2.33× 10−4 | 3.69× 10−4 | 6.44 × 10−5 | |
| Anc | 500 | 254 | 242 | 494 | 483 | 500 | 500 | |
| F16 | Ave | −1.0316 | −1.0316 | −1.0316 | −1.0316 | −1.0316 | −1.0316 | −1.0316 |
| Std | 2.2 × 10−16 | 1.2 × 10−16 | 6.9 × 10−14 | 1.01 × 10−9 | 3.1 × 10−10 | 3.5 × 10−16 | 7.7 × 10−16 | |
| Anc | 42 | 133 | 132 | 36 | 18 | 47 | 33 | |
| F17 | Ave | 0.3979 | 0.3979 | 0.3979 | 0.3979 | 0.3979 | 0.3979 | 0.3979 |
| Std | 0 | 0 | 9.4 × 10−14 | 2.5 × 10−5 | 1.14 × 10−6 | 1.2 × 10−11 | 4.3 × 10−14 | |
| Anc | 45 | 132 | 127 | 274 | 90 | 127 | 88 | |
| F18 | Ave | 3 | 3 | 3 | 3.0001 | 3 | 3 | 3 |
| Std | 9 × 10−16 | 3.8 × 10−15 | 1.4 × 10−12 | 1.06 × 10−4 | 5.3 × 10−13 | 1.5 × 10−11 | 1.2 × 10−14 | |
| Anc | 52 | 193 | 251 | 133 | 20 | 47 | 27 | |
| F19 | Ave | −3.8241 | −3.8628 | −3.8628 | −3.8528 | −3.8617 | −3.8628 | −3.8617 |
| Std | 0.1729 | 1.8 × 10−15 | 1.9 × 10−12 | 0.0128 | 0.0022 | 1.32 × 10−5 | 0.0024 | |
| Anc | 41 | 254 | 125 | 256 | 248 | 310 | 482 | |
| F20 | Ave | −3.2863 | −3.3220 | −3.2800 | −3.2540 | −3.2428 | −3.2744 | −3.2920 |
| Std | 0.0559 | 2.9 × 10−16 | 0.0587 | 0.0865 | 0.1183 | 0.0599 | 0.0533 | |
| Anc | 60 | 198 | 348 | 310 | 379 | 482 | 427 | |
| F21 | Ave | −6.8967 | −7.1798 | −7.1339 | −8.3351 | −8.6193 | −9.4009 | −9.8983 |
| Std | 3.4496 | 3.7368 | 3.2138 | 2.8253 | 2.3941 | 2.3154 | 1.1399 | |
| Anc | 70 | 198 | 269 | 266 | 463 | 432 | 279 | |
| F22 | Ave | −7.6093 | −9.4954 | −7.4842 | −9.1804 | −8.5395 | −8.8258 | −10.4029 |
| Std | 3.5471 | 2.0522 | 3.4103 | 2.4700 | 2.5988 | 2.8416 | 3.98 × 10−10 | |
| Anc | 69 | 195 | 376 | 254 | 444 | 499 | 217 | |
| F23 | Ave | −8.2082 | −10.1333 | −7.6188 | −8.2293 | −8.9107 | −9.1198 | −10.5364 |
| Std | 3.6499 | 1.8030 | 3.6877 | 3.2614 | 2.5404 | 2.9524 | 8.79 × 10−10 | |
| Anc | 72 | 233 | 352 | 251 | 473 | 341 | 262 |
| Function | MSWOA vs. PSO | MSWOA vs. GSA | MSWOA vs. ALO | MSWOA vs. WOA | MSWOA vs. CWOA | MSWOA vs. EWOA |
|---|---|---|---|---|---|---|
| F1 | MSWOA | MSWOA | MSWOA | MSWOA | Tie | MSWOA |
| F2 | MSWOA | MSWOA | MSWOA | MSWOA | Tie | MSWOA |
| F3 | MSWOA | MSWOA | MSWOA | MSWOA | MSWOA | MSWOA |
| F4 | MSWOA | MSWOA | MSWOA | MSWOA | MSWOA | MSWOA |
| F5 | MSWOA | MSWOA | MSWOA | MSWOA | MSWOA | EWOA |
| F6 | MSWOA | MSWOA | MSWOA | MSWOA | MSWOA | MSWOA |
| F7 | MSWOA | MSWOA | MSWOA | MSWOA | MSWOA | MSWOA |
| F8 | MSWOA | MSWOA | MSWOA | MSWOA | Tie | EWOA |
| F9 | MSWOA | MSWOA | MSWOA | MSWOA | Tie | MSWOA |
| F10 | MSWOA | MSWOA | MSWOA | MSWOA | MSWOA | MSWOA |
| F11 | MSWOA | MSWOA | MSWOA | MSWOA | MSWOA | MSWOA |
| F12 | MSWOA | MSWOA | MSWOA | MSWOA | MSWOA | MSWOA |
| F13 | MSWOA | MSWOA | ALO | MSWOA | MSWOA | MSWOA |
| F14 | MSWOA | MSWOA | MSWOA | MSWOA | MSWOA | MSWOA |
| F15 | MSWOA | MSWOA | MSWOA | MSWOA | MSWOA | MSWOA |
| F16 | Tie | Tie | Tie | Tie | Tie | Tie |
| F17 | Tie | Tie | Tie | Tie | Tie | Tie |
| F18 | Tie | Tie | Tie | MSWOA | Tie | Tie |
| F19 | MSWOA | GSA | MSWOA | MSWOA | MSWOA | MSWOA |
| F20 | MSWOA | MSWOA | MSWOA | MSWOA | MSWOA | MSWOA |
| F21 | MSWOA | MSWOA | MSWOA | MSWOA | MSWOA | MSWOA |
| F22 | MSWOA | MSWOA | MSWOA | MSWOA | MSWOA | MSWOA |
| F23 | MSWOA | MSWOA | MSWOA | MSWOA | MSWOA | MSWOA |
| W/T/L | 20/3/0 | 20/3/0 | 19/3/1 | 21/2/0 | 16/7/0 | 18/3/2 |
| Comparison | R+ | R− | p-Value | Significant |
|---|---|---|---|---|
| MSWOA vs. PSO | 270 | 6 | 3.173 × 10−5 | Yes |
| MSWOA vs. GSA | 253 | 23 | 2.484 × 10−4 | Yes |
| MSWOA vs. ALO | 260 | 16 | 1.098 × 10−4 | Yes |
| MSWOA vs. WOA | 255 | 21 | 3.261 × 10−4 | Yes |
| MSWOA vs. CWOA | 258 | 18 | 0.0010 | Yes |
| MSWOA vs. EWOA | 224 | 52 | 0.0047 | Yes |
| Working Condition | Transfer Coefficients of HTGS | |||||
|---|---|---|---|---|---|---|
| ex | ey | eh | eqx | eqy | eqh | |
| No-load | −1.0567 | 0.9080 | 1.4191 | −0.0574 | 0.7887 | 0.4571 |
| Load | −1.4673 | 0.7713 | 1.7179 | −0.4901 | 0.8184 | 0.7257 |
| θk | Real Value | Mean Value of Identified Parameters after 20 Repetitions | |||||||||||
|---|---|---|---|---|---|---|---|---|---|---|---|---|---|
| PSO | ALO | WOA | EWOA | CWOA | MSWOA | ||||||||
| PE | PE | PE | PE | PE | PE | ||||||||
| Ty1 | 0.1 | 0.1638 | 0.1164 | 0.182 | 0.1182 | 0.188 | 0.1188 | 0.153 | 0.1153 | 0.1608 | 0.1161 | 0.1094 | 0.1109 |
| Ty | 0.3 | 0.0508 | 0.2848 | 0.0655 | 0.2803 | 0.021 | 0.3064 | 0.082 | 0.2754 | 0.058 | 0.2826 | 0.012 | 0.2964 |
| hw | 1.5 | 0.0061 | 1.4908 | 0.0035 | 1.4948 | 0.1332 | 1.3002 | 0.0745 | 1.3882 | 0.0379 | 1.5568 | 0.008 | 1.512 |
| Tr | 0.5 | 0.1371 | 0.5686 | 0.0256 | 0.5128 | 0.1331 | 0.5666 | 0.099 | 0.5495 | 0.0078 | 0.4961 | 0.0068 | 0.4966 |
| Ta | 12 | 0.0040 | 12.048 | 0.0018 | 12.022 | 0.0022 | 12.026 | 0.0073 | 12.088 | 0.0018 | 12.022 | 0.0011 | 12.014 |
| Index | PSO | ALO | WOA | EWOA | CWOA | MSWOA |
|---|---|---|---|---|---|---|
| Best cost | 0.2831 | 0.0858 | 0.6770 | 0.2860 | 0.0958 | 0.0126 |
| Mean APE | 0.0724 | 0.0557 | 0.0955 | 0.0832 | 0.0533 | 0.0275 |
| θk | Real Value | Mean Value of Identified Parameters after 20 Repetitions | |||||||||||
|---|---|---|---|---|---|---|---|---|---|---|---|---|---|
| PSO | ALO | WOA | EWOA | CWOA | MSWOA | ||||||||
| PE | PE | PE | PE | PE | PE | ||||||||
| Ty1 | 0.1 | 0.146 | 0.0854 | 0.1334 | 0.1133 | 0.0434 | 0.1043 | 0.1474 | 0.1147 | 0.0320 | 0.0968 | 0.1432 | 0.1143 |
| Ty | 0.3 | 0.0398 | 0.3120 | 0.0552 | 0.2835 | 0.1335 | 0.2600 | 0.1710 | 0.2487 | 0.0300 | 0.2910 | 0.0675 | 0.2798 |
| hw | 1.5 | 0.1489 | 1.2766 | 0.0249 | 1.4626 | 0.0805 | 1.3792 | 0.0565 | 1.4152 | 0.1323 | 1.3016 | 0.0237 | 1.4644 |
| Tr | 0.5 | 0.2123 | 0.6061 | 0.1147 | 0.5574 | 0.1992 | 0.5996 | 0.1566 | 0.5783 | 0.2222 | 0.6111 | 0.0451 | 0.5225 |
| Ta | 12 | 0.0077 | 11.908 | 5 × 10−4 | 12.006 | 0.0145 | 12.174 | 0.0137 | 12.164 | 0.0027 | 12.032 | 1.6 × 10−4 | 12.002 |
| eg | 0.5 | 0.0096 | 0.4952 | 0.0072 | 0.4964 | 0.0888 | 0.5444 | 0.0136 | 0.4932 | 0.0090 | 0.5045 | 0.0028 | 0.4986 |
| Index | PSO | ALO | WOA | EWOA | CWOA | MSWOA |
|---|---|---|---|---|---|---|
| Best cost | 0.0030 | 8.07 × 10−4 | 0.0108 | 0.0067 | 0.0019 | 2.77 × 10−4 |
| Mean APE | 0.0941 | 0.0560 | 0.0933 | 0.0931 | 0.0714 | 0.0471 |
© 2018 by the authors. Licensee MDPI, Basel, Switzerland. This article is an open access article distributed under the terms and conditions of the Creative Commons Attribution (CC BY) license (http://creativecommons.org/licenses/by/4.0/).
Share and Cite
Ding, T.; Chang, L.; Li, C.; Feng, C.; Zhang, N. A Mixed-Strategy-Based Whale Optimization Algorithm for Parameter Identification of Hydraulic Turbine Governing Systems with a Delayed Water Hammer Effect. Energies 2018, 11, 2367. https://doi.org/10.3390/en11092367
Ding T, Chang L, Li C, Feng C, Zhang N. A Mixed-Strategy-Based Whale Optimization Algorithm for Parameter Identification of Hydraulic Turbine Governing Systems with a Delayed Water Hammer Effect. Energies. 2018; 11(9):2367. https://doi.org/10.3390/en11092367
Chicago/Turabian StyleDing, Tan, Li Chang, Chaoshun Li, Chen Feng, and Nan Zhang. 2018. "A Mixed-Strategy-Based Whale Optimization Algorithm for Parameter Identification of Hydraulic Turbine Governing Systems with a Delayed Water Hammer Effect" Energies 11, no. 9: 2367. https://doi.org/10.3390/en11092367
APA StyleDing, T., Chang, L., Li, C., Feng, C., & Zhang, N. (2018). A Mixed-Strategy-Based Whale Optimization Algorithm for Parameter Identification of Hydraulic Turbine Governing Systems with a Delayed Water Hammer Effect. Energies, 11(9), 2367. https://doi.org/10.3390/en11092367
