An Assessment of Near-to-Mid-Term Economic Impacts and Energy Transitions under “2 °C” and “1.5 °C” Scenarios for India
Abstract
1. Introduction
2. Materials and Methods
2.1. AIM/CGE Model
2.2. Scenarios Description
2.2.1. NDC Scenario
2.2.2. Mitigation Scenarios
3. Results
3.1. Emission Gap
3.2. Carbon Price
3.3. Energy System Transformation in Below 2 °C Scenario
3.3.1. Primary Energy
3.3.2. Carbon Sequestration
3.3.3. Electricity Mix
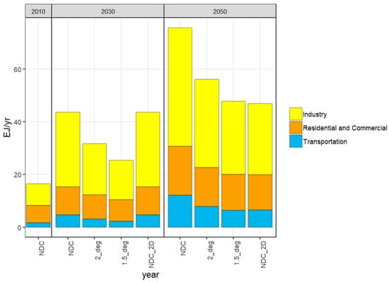
3.3.4. Final Energy
3.4 GDP Loss
3.5. Co-Benefits
3.5.1. Air Pollutants Emissions
3.5.2. Energy Security
4. Discussion
5. Conclusions
Supplementary Materials
Author Contributions
Acknowledgments
Conflicts of Interest
References
- UNFCCC. Adoption of the Paris Agreement; United Nations Office: Geneva, Switzerland, 2015. [Google Scholar]
- UNFCCC. India’s Intended Nationally Determined Contribution: Working towards Climate Justice; United Nations Framework Convention Climate Change: New York, NY, USA, 2015. [Google Scholar]
- Lucas, P.L.; Shukla, P.R.; Chen, W.; van Ruijven, B.J.; Dhar, S.; den Elzen, M.G.J.; van Vuuren, D.P. Implications of the international reduction pledges on long-term energy system changes and costs in china and india. Energy Policy 2013, 63, 1032–1041. [Google Scholar] [CrossRef]
- Shukla, P.R.; Dhar, S.; Mahapatra, D. Low-carbon society scenarios for India. Clim. Policy 2008, 8, S156–S176. [Google Scholar] [CrossRef]
- Shukla, P.R.; Dhar, S.; Fujino, J. Renewable energy and low carbon economy transition in India. J. Renew. Sustain. Energy 2010, 2. [Google Scholar] [CrossRef]
- Shukla, P.R.; Chaturvedi, V. Low carbon and clean energy scenarios for India: Analysis of targets approach. Energy Econ. 2012, 34, S487–S495. [Google Scholar] [CrossRef]
- Van Ruijven, B.J.; van Vuuren, D.P.; van Vliet, J.; Beltran, A.M.; Deetman, S.; den Elzen, M.G.J. Implications of greenhouse gas emission mitigation scenarios for the main asian regions. Energy Econ. 2012, 34, S459–S469. [Google Scholar] [CrossRef]
- Johansson, D.J.A.; Lucas, P.L.; Weitzel, M.; Ahlgren, E.O.; Bazaz, A.B.; Chen, W.; den Elzen, M.G.J.; Ghosh, J.; Grahn, M.; Liang, Q.-M.; et al. Multi-model comparison of the economic and energy implications for China and India in an international climate regime. Mitig. Adapt. Strategies Glob. Chang. 2014, 20, 1335–1359. [Google Scholar] [CrossRef]
- Admiraal, A.; den Elzen, M.; Forsell, N.; Turkovska, O.; Roelfsema, M.; van Soest, H. Assessing Intended Nationally Determined Contributions to the Paris Climate Agreement—What Are the Projected Global and National Emission Levels for 2025–2030? PBL Netherlands Environmental Assessment Agency: Hague, The Netherlands, 2015. [Google Scholar]
- Hof, A.F.; den Elzen, M.G.J.; Admiraal, A.; Roelfsema, M.; Gernaat, D.E.H.J.; van Vuuren, D.P. Global and regional abatement costs of nationally determined contributions (NDCs) and of enhanced action to levels well below 2 °C and 1.5 °C. Environ. Sci. Policy 2017, 71, 30–40. [Google Scholar] [CrossRef]
- Vandyck, T.; Keramidas, K.; Saveyn, B.; Kitous, A.; Vrontisi, Z. A global stocktake of the Paris pledges: Implications for energy systems and economy. Glob. Environ. Chang. 2016, 41, 46–63. [Google Scholar] [CrossRef]
- Fragkos, P.; Fragkiadakis, K.; Paroussos, L.; Pierfederici, R.; Vishwanathan, S.S.; Köberle, A.C.; Iyer, G.; He, C.-M.; Oshiro, K. Coupling national and global models to explore policy impacts of NDCs. Energy Policy 2018, 118, 462–473. [Google Scholar] [CrossRef]
- Mathur, R.; Shrivastava, M.K. INDC and low-carbon technology deployment scenarios: India. In Globalization of Low-Carbon Technologies; Anbumozhi, V., Kalirajan, K., Eds.; Springer: Singapore, 2017; pp. 57–82. [Google Scholar]
- Dhar, S.; Pathak, M.; Shukla, P.R. Transformation of India’s transport sector under global warming of 2 °C and 1.5 °C scenario. J. Clean. Prod. 2018, 172, 417–427. [Google Scholar] [CrossRef]
- Vishwanathan, S.S.; Garg, A.; Tiwari, V.; Shukla, P.R. India in 2 °C and well below 2 °C worlds: Opportunities and challenges. Carb. Manag. 2018. [Google Scholar] [CrossRef]
- Spencer, T.; Colombier, M.; Sartor, O.; Garg, A.; Tiwari, V.; Burton, J.; Caetano, T.; Green, F.; Teng, F.; Wiseman, J. The 1.5 °C target and coal sector transition: At the limits of societal feasibility. Clim. Policy 2017, 18, 335–351. [Google Scholar] [CrossRef]
- Mittal, S.; Dai, H.; Shukla, P.R. Low carbon urban transport scenarios for China and India: A comparative assessment. Transp. Res. Part D Transp. Environ. 2016, 44, 266–276. [Google Scholar] [CrossRef]
- Fujimori, S.; Masui, T.; Kainuma, M. AIM/CGE v2.0 model formula. In Post-2020 Climate Action: Global and Asian Perspectives, 1st ed.; Fujimori, S., Masui, T., Kainuma, M., Eds.; Springer: Singapore, 2017. [Google Scholar]
- Fujimori, S.; Masui, T.; Matsuoka, Y. Gains from emission trading under multiple stabilization targets and technological constraints. Energy Econ. 2015, 48, 306–315. [Google Scholar] [CrossRef]
- Fujimori, S.; Kainuma, M.; Masui, T.; Hasegawa, T.; Dai, H. The effectiveness of energy service demand reduction: A scenario analysis of global climate change mitigation. Energy Policy 2014, 75, 379–391. [Google Scholar] [CrossRef]
- Hasegawa, T.; Fujimori, S.; Shin, Y.; Takahashi, K.; Masui, T.; Tanaka, A. Climate change impact and adaptation assessment on food consumption utilizing a new scenario framework. Environ. Sci. Technol. 2013, 48, 438–445. [Google Scholar] [CrossRef] [PubMed]
- Fujimori, S.; Mosui, T.; Matsuoka, Y. Development of a global computable general equilibrium model coupled with detailed energy end-use technology. Appl. Energy 2014, 128, 296–306. [Google Scholar] [CrossRef]
- Lofgren, H.; Harris, R.L.; Sherman, R. A Standard Computable General Equilibrium (CGE) Model in GAMS; International Food Policy Research Institute: Washington, DC, USA, 2002. [Google Scholar]
- Mittal, S.; Dai, H.; Fujimori, S.; Masui, T. Bridging greenhouse gas emissions and renewable energy deployment target: Comparative assessment of China and India. Appl. Energy 2016, 166, 301–313. [Google Scholar] [CrossRef]
- Shukla, P.R.; Mittal, S.; Jingyu, L.; Fujimori, S.; Hancheng, D.; Zhang, R. India INDC assessment: Emission gap between pledged target and 2 °C target. In Post-2020 Climate Action: Global and Asian Perspectives; Fujimori, S., Kainuma, M., Masui, T., Eds.; Springer: Singapore, 2017. [Google Scholar]
- Sands, R.D. Dynamics of carbon abatement in the second generation model. Energy Econ. 2004, 26, 721–738. [Google Scholar] [CrossRef]
- Fujimori, S.; Hasegawa, T.; Masui, T.; Takahashi, K. Land use representation in a global CGE model for long-term simulation: CET vs. logit functions. Food Secur. 2014, 6, 685–699. [Google Scholar] [CrossRef]
- Tran, T.; Fujimori, S.; Masui, T. Realizing the intended nationally determined contribution: The role of renewable energies in Vietnam. Energies 2016, 9, 587. [Google Scholar] [CrossRef]
- Siagian, U.; Yuwono, B.; Fujimori, S.; Masui, T. Low-carbon energy development in Indonesia in alignment with Intended Nationally Determined Contribution (INDC) by 2030. Energies 2017, 10, 52. [Google Scholar] [CrossRef]
- UNDP. World Population Prospects: 2015 Revision; Department of Economic and Social Affairs, United Nations: New York, NY, USA, 2015. [Google Scholar]
- Fujimori, S.; Su, X.; Liu, J.Y.; Hasegawa, T.; Takahashi, K.; Masui, T.; Takimi, M. Implication of Paris Agreement in the context of long-term climate mitigation goals. Springerplus 2016, 5, 1620. [Google Scholar] [CrossRef] [PubMed]
- Bows, A.; Anderson, K. Contraction and convergence: An assessment of the ccoptions model. Clim. Chang. 2008, 91, 275–290. [Google Scholar] [CrossRef]
- Rogelj, J.; Luderer, G.; Pietzcker, R.C.; Kriegler, E.; Schaeffer, M.; Krey, V.; Riahi, K. Energy system transformations for limiting end-of-century warming to below 1.5 °C. Nat. Clim. Chang. 2015, 5, 519–527. [Google Scholar] [CrossRef]
- Singh, U. Carbon capture and storage: An effective way to mitigate global warming. Curr. Sci. 2013, 105, 914–922. [Google Scholar]
- Viebahn, P.; Vallentin, D.; Höller, S. Prospects of carbon capture and storage (CCS) in India’s power sector—An integrated assessment. Appl. Energy 2014, 117, 62–75. [Google Scholar] [CrossRef]
- McCollum, D.; Krey, V.; Riahi, K.; Kolp, P.; Grubler, A.; Makowski, M.; Nakicenovic, N. Climate policies can help resolve energy security and air pollution challenges. Clim. Chang. 2013, 119, 479–494. [Google Scholar] [CrossRef]
- Mittal, S.; Hanaoka, T.; Shukla, P.R.; Masui, T. Air pollution co-benefits of low carbon policies in road transport: A sub-national assessment for India. Environ. Res. Lett. 2015, 10. [Google Scholar] [CrossRef]
- Jakob, M.; Steckel, J.C. Implications of climate change mitigation for sustainable development. Environ. Res. Lett. 2016, 11. [Google Scholar] [CrossRef]
- Kruyt, B.; van Vuuren, D.P.; de Vries, H.J.M.; Groenenberg, H. Indicators for energy security. Energy Policy 2009, 37, 2166–2181. [Google Scholar] [CrossRef]
- Vivoda, V. Diversification of oil import sources and energy security: A key strategy or an elusive objective? Energy Policy 2009, 37, 4615–4623. [Google Scholar] [CrossRef]
- Grubb, M.; Butler, L.; Twomey, P. Diversity and security in UK electricity generation: The influence of low-carbon objectives. Energy Policy 2006, 34, 4050–4062. [Google Scholar] [CrossRef]
- MNRE, Ministry of New and Renewable Energy. Strategic Plan for New and Renewable Energy Sector for the Period 2011–2017; Government of India, Ministry of New and Renewable Energy: New Delhi, India, 2011.
- From the Ex-officio Interim Director General, ISA. Available online: http://isolaralliance.org/docs/ISA_Journal.pdf (accessed on 16 April 2018).
- MNRE. Analysis of State-Wise RPO Regulation Across India; Government of India, Ministry of New and Renewable Energy: New Delhi, India, 2014.
- MOP. Eesl to Issue Tender for Procurement of 10,000 Electric Cars per Kilometer Cost for an Electric Car Is just 85 Paisa against RS 6.5 for Normal Cars; Government of India, Ministry of Power, Press Information Bureau: New Delhi, India, 2018.
- Dhar, S.; Shukla, P.R. Low carbon scenarios for transport in India: Co-benefits analysis. Energy Policy 2014, 81, 186–198. [Google Scholar] [CrossRef]
- UN. The Sustainable Development Goals Report 2017; United Nations: New York, NY, USA, 2017. [Google Scholar]
- Dhar, S.; Pathak, M.; Shukla, P.R. Electric vehicles and India’s low carbon passenger transport: A long-term co-benefits assessment. J. Clean. Prod. 2017, 146, 139–148. [Google Scholar] [CrossRef]
- Nemet, G.F.; Holloway, T.; Meier, P. Implications of incorporating air-quality co-benefits into climate change policymaking. Environ. Res. Lett. 2010, 5. [Google Scholar] [CrossRef]
- Grubler, A.; Wilson, C.; Bento, N.; Boza-Kiss, B.; Krey, V.; McCollum, D.L.; Rao, N.D.; Riahi, K.; Rogelj, J.; De Stercke, S.; et al. A low energy demand scenario for meeting the 1.5 °C target and sustainable development goals without negative emission technologies. Nat. Energy 2018, 3, 515–527. [Google Scholar] [CrossRef]
- Shukla, P.R.; Dhar, S. India’s ghg emission reduction and sustainable development. In Enabling Asia to Stabilise the Climate, 1st ed.; Nishioka, S., Ed.; Springer: Singapore, 2016; pp. 44–55. [Google Scholar]
- Stiglitz, J.E.; Stern, N.; Duan, M.; Edenhofer, O.; Giraud, G.; Heal, G.; Rovere, E.L.; la Moyer, E.; Pangestu, M.; Shukla, P.R.; et al. Report of the High Level Commission on Carbon Prices; Carbon Pricing Leadership Coalition: Washington, DC, USA, 2017. [Google Scholar]









| Scenarios | Climate Target | Control Strategy |
|---|---|---|
| NDC | Emission reduction target communicated by national government | Emission constraint |
| NDC_2D | Same reduction target as nationally determined contributions (NDC) till 2030 and then 2-degree pathway | Cumulative emissions are same as calculated using convergence and contraction approach |
| 2_deg | Target aligned with global 2 degree | Carbon tax |
| 1.5_deg | Target aligned with 1.5 degree | Carbon tax |
| Category (Power Capacity) | Capacity Targets |
|---|---|
| Wind | 60 GW by 2022 |
| Solar | 100 GW by 2022 |
| Biomass | 10 GW by 2022 |
| Small hydro | 5 GW by 2022 |
| Nuclear | 63 GW by 2032 |
| Scenario Name | 2030 | 2040 | 2050 |
|---|---|---|---|
| 2_deg | −33% | −39% | −29% |
| 1.5_deg | −52% | −53% | −38% |
| NDC_2D | 0% | −36% | −49% |
| Scenario | 2020 | 2035 | 2050 |
|---|---|---|---|
| 1.5_deg | 0.7% | 6.4% | 5.8% |
| 2_deg | 0.7% | 3% | 3.2% |
| NDC_2D | - | 0.6% | 5.3% |
© 2018 by the authors. Licensee MDPI, Basel, Switzerland. This article is an open access article distributed under the terms and conditions of the Creative Commons Attribution (CC BY) license (http://creativecommons.org/licenses/by/4.0/).
Share and Cite
Mittal, S.; Liu, J.-Y.; Fujimori, S.; Shukla, P.R. An Assessment of Near-to-Mid-Term Economic Impacts and Energy Transitions under “2 °C” and “1.5 °C” Scenarios for India. Energies 2018, 11, 2213. https://doi.org/10.3390/en11092213
Mittal S, Liu J-Y, Fujimori S, Shukla PR. An Assessment of Near-to-Mid-Term Economic Impacts and Energy Transitions under “2 °C” and “1.5 °C” Scenarios for India. Energies. 2018; 11(9):2213. https://doi.org/10.3390/en11092213
Chicago/Turabian StyleMittal, Shivika, Jing-Yu Liu, Shinichiro Fujimori, and Priyadarshi Ramprasad Shukla. 2018. "An Assessment of Near-to-Mid-Term Economic Impacts and Energy Transitions under “2 °C” and “1.5 °C” Scenarios for India" Energies 11, no. 9: 2213. https://doi.org/10.3390/en11092213
APA StyleMittal, S., Liu, J.-Y., Fujimori, S., & Shukla, P. R. (2018). An Assessment of Near-to-Mid-Term Economic Impacts and Energy Transitions under “2 °C” and “1.5 °C” Scenarios for India. Energies, 11(9), 2213. https://doi.org/10.3390/en11092213

