A Simple Pseudo-Homogeneous Reversible Kinetic Model for the Esterification of Different Fatty Acids with Methanol in the Presence of Amberlyst-15
Abstract
1. Introduction
2. Materials and Methods
2.1. Materials
2.2. Experimental Apparatus and Procedures
2.3. Kinetic Model
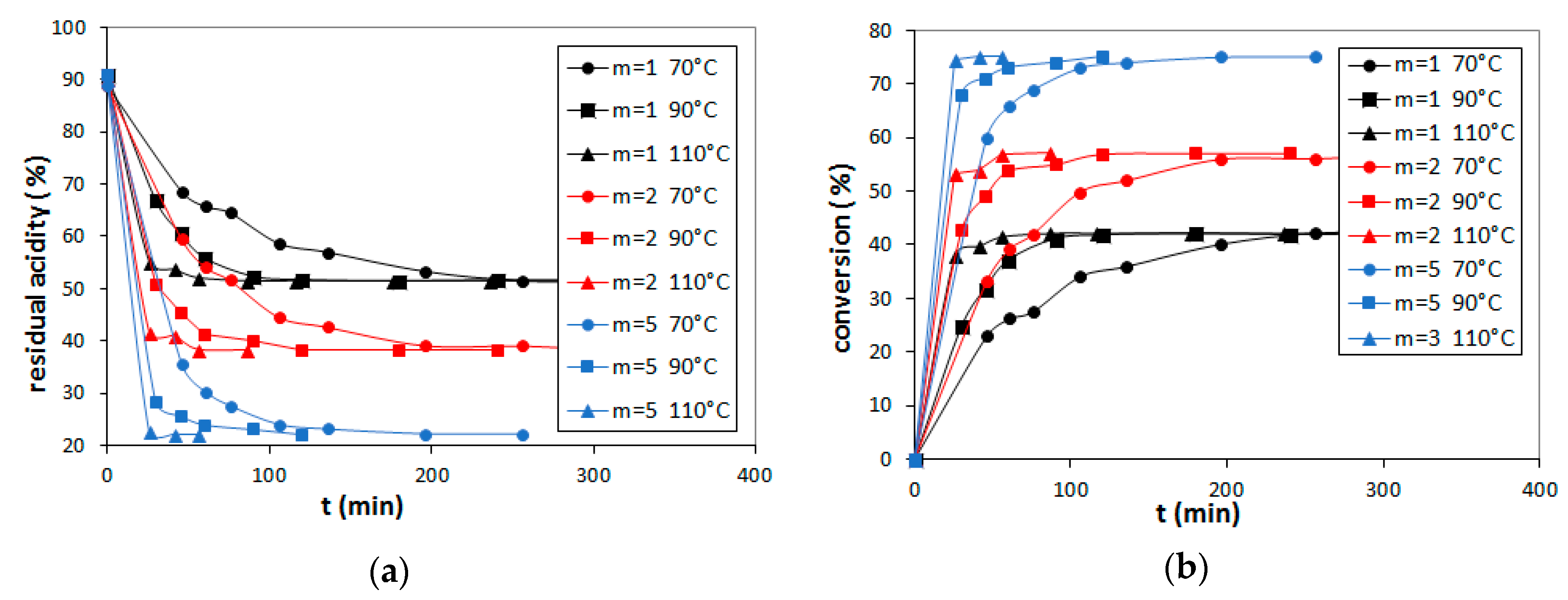
3. Results and Discussion
4. Conclusions
Author Contributions
Funding
Conflicts of Interest
References
- Barros, S.D.T.; Coelho, A.V.; Lachter, E.R.; San Gil, R.A.S.; Dahmouche, K.; Pais da Silva, M.I.; Souza, A.L.F. Esterification of lauric acid with butanol over mesoporous materials. Renew. Energy 2013, 50, 585–589. [Google Scholar] [CrossRef]
- Lotero, E.; Liu, Y.; Lopez, D.E.; Suwannakarn, K.; Bruce, D.A.; Goodwin, J.G., Jr. Synthesis of biodiesel via acid catalysis. Ind. Eng. Chem. Res. 2005, 44, 5353–5363. [Google Scholar] [CrossRef]
- Mowla, O.; Kennedy, E.; Stockenhuber, M. Hydroesterification of bio-oils over HZSM-5, BETA and Y zeolites. Clean Techn. Environ. Policy 2018, 20, 727–738. [Google Scholar] [CrossRef]
- Dos Santos, L.K.; Hatanaka, R.R.; De Oliveira, J.E.; Flumignan, D.L. Experimental factorial design on hydroesterification of waste cooking oil by subcritical conditions for biodiesel production. Renew. Energy 2017, 114, 574–580. [Google Scholar] [CrossRef]
- Ge, J.C.; Yoon, S.K.; Choi, N.J. Using canola oil biodiesel as an alternative fuel in diesel engines: A review. Appl. Sci. (Basel) 2017, 7, 881. [Google Scholar] [CrossRef]
- Atadashi, I.M.; Aroua, M.K.; Aziz, A.A. Biodiesel separation and purification: A review. Renew. Energy 2011, 36, 437–443. [Google Scholar] [CrossRef]
- Corro, G.; Tellez, N.; Jimenez, T.; Tapia, A.; Banuelos, F.; Vazquez-Cuchillo, O. Biodiesel from waste frying oil. Two step process using acidified SiO2 for esterification step. Catal. Today 2011, 166, 116–122. [Google Scholar] [CrossRef]
- Kouzu, M.; Nakagaito, A.; Hidaka, J.-S. Pre-esterification of FFA in plant oil transesterified into biodiesel with the help of solid acid catalysis of sulfonated cation-exchange resin. Appl. Catal. A Gen. 2011, 405, 36–44. [Google Scholar] [CrossRef]
- Caetano, C.S.; Guerreiro, L.; Fonseca, I.M.; Ramos, A.M.; Vital, J.; Castanheiro, J.E. Esterification of fatty acids to biodiesel over polymers with sulfonic acid groups. Appl. Catal. A Gen. 2009, 359, 41–46. [Google Scholar] [CrossRef]
- Pourzolfaghar, H.; Abnisa, F.; Daud, W.M.A.W.; Aroua, M.K. A review of the enzymatic hydroesterification process for biodiesel production. Renew. Sustain. Energy Rev. 2016, 61, 245–257. [Google Scholar] [CrossRef]
- Suwannakarn, K.; Lotero, E.; Ngaosuwan, K.; Goodwin, J.G., Jr. Simultaneous free fatty acid esterification and triglyceride transesterification using a solid acid catalyst with in situ removal of water and unreacted methanol. Ind. Eng. Chem. Res. 2009, 48, 2810–2818. [Google Scholar] [CrossRef]
- De Araújo Gonaçalves, J.; Ramos, A.L.D.; Rocha, L.L.L.; Domingos, A.K.; Monteiro, R.S.; Peres, J.S.; Furtado, N.C.; Taft, C.A.; Aranda, D.A.G. Niobium oxide solid catalyst: Esterification of fatty acids and modeling for biodiesel production. J. Phys. Org. Chem. 2011, 24, 54–64. [Google Scholar] [CrossRef]
- Trombettoni, V.; Lanari, D.; Prinsen, P.; Luque, R.; Marrocchi, A.; Vaccaro, L. Recent advances in sulfonated resin catalysts for efficient biodiesel and bio-derived additives production. Prog. Energ. Combust. Sci. 2018, 65, 136–162. [Google Scholar] [CrossRef]
- Pal, R.; Sarkar, T.; Khasnobis, S. Amberlyst-15 in organic synthesis. Arkivoc 2012, 1, 570–609. [Google Scholar] [CrossRef]
- Özbay, N.; Oktar, N.; Tapan, N.A. Esterification of free fatty acids in waste cooking oils (WCO): Role of ion-exchange resins. Fuel 2008, 87, 1789–1798. [Google Scholar] [CrossRef]
- Steinigeweg, S.; Gmehling, J. Esterification of a fatty acid by reactive distillation. Ind. Eng. Chem. Res. 2003, 42, 3612–3619. [Google Scholar] [CrossRef]
- Banchero, M.; Kusumaningtyas, R.D.; Gozzelino, G. Reactive distillation in the intensification of oleic acid esterification with methanol—A simulation case-study. J. Ind. Eng. Chem. 2014, 20, 4242–4249. [Google Scholar] [CrossRef]
- Pérez-Cisneros, E.S.; Mena-Espino, X.; Rodríguez-López, V.; Sales-Cruz, M.; Viveros-García, T.; Lobo-Oehmichen, R. An integrated reactive distillation process for biodiesel production. Comput. Chem. Eng. 2016, 91, 233–246. [Google Scholar] [CrossRef]
- Petchsoongsakul, N.; Ngaosuwan, K.; Kiatkittipong, W.; Aiouache, F.; Assabumrungrat, S. Process design of biodiesel production: Hybridization of ester-and transesterification in a single reactive distillation. Energy Convers. Manag. 2017, 153, 493–503. [Google Scholar] [CrossRef]
- Kiss, A.A. Heat-integrated reactive distillation process for synthesis of fatty esters. Fuel Process. Technol. 2011, 92, 1288–1296. [Google Scholar] [CrossRef]
- Machado, G.D.; Pellegrini Pessoa, F.L.; Castier, M.; Aranda, D.A.G.; Cabral, V.F.; Cardozo-Filho, L. Biodiesel production by esterification of hydrolyzed soybean oil with ethanol in reactive distillation columns: Simulation studies. Ind. Eng. Chem. Res. 2013, 52, 9461–9469. [Google Scholar] [CrossRef]
- Cossio-Vargas, E.; Barroso-Munoz, F.O.; Hernandez, S.; Segovia-Hernandez, J.G.; Cano-Rodriguez, M.I. Thermally coupled distillation sequences: Steady state simulation of the esterification of fatty organic acids. Chem. Eng. Process. 2012, 62, 176–182. [Google Scholar] [CrossRef]
- Omota, F.; Dimian, A.C.; Bliek, A. Fatty acid esterification by reactive distillation: Part 2—Kinetics-based design for sulphated zirconia catalysts. Chem. Eng. Sci. 2003, 58, 3175–3185. [Google Scholar] [CrossRef]
- Rattanaphra, D.; Harvey, A.P.; Thanapimmetha, A.; Srinophakun, P. Kinetic of myristic acid esterification with methanol in the presence of triglycerides over sulphated zirconia. Renew. Energy 2011, 36, 2679–2686. [Google Scholar] [CrossRef]
- Tesser, R.; Di Serio, M.; Guida, M.; Nastasi, M.; Santacesaria, E. Kinetics of oleic acid esterification with methanol in the presence of triglycerides. Ind. Eng. Chem. Res. 2005, 44, 7978–7982. [Google Scholar] [CrossRef]
- Patel, A.; Brahmkhatri, V. Kinetic study of oleic acid esterification over 12-tungstophosphoric acid catalyst anchored to different mesoporous silica supports. Fuel Process. Technol. 2013, 113, 141–149. [Google Scholar] [CrossRef]
- Banchero, M.; Gozzelino, G. Nb2O5-catalyzed kinetics of fatty acids esterification for reactive distillation process simulation. Chem. Eng. Res. Des. 2015, 100, 292–301. [Google Scholar] [CrossRef]
- Ilgen, O. Investigation of reaction parameters, kinetics and mechanism of oleic acid esterification with methanol by using Amberlyst 46 as a catalyst. Fuel Process. Technol. 2014, 124, 134–139. [Google Scholar] [CrossRef]
- Sharma, M.; Toor, A.P.; Wanchoo, R.K. Reaction kinetics of catalytic esterification of nonanoic acid with ethanol over Amberlyst 15. Int. J. Chem. React. Eng. 2014, 12, A38. [Google Scholar] [CrossRef]
- Tesser, R.; Casale, L.; Verde, D.; Di Serio, M.; Santacesaria, E. Kinetics of free fatty acids esterification: Batch and loop reactor modeling. Chem. Eng. J. 2009, 154, 25–33. [Google Scholar] [CrossRef]
- Ray, N.M.; Ray, A.K. Determination of adsorption and kinetic parameters for methyl oleate (biodiesel) esterification reaction catalyzed by Amberlyst 15 resin. Can. J. Chem. Eng. 2016, 94, 738–744. [Google Scholar] [CrossRef]
- Tesser, R.; Casale, L.; Verde, D.; Di Serio, M.; Santacesaria, E. Kinetics and modeling of fatty acids esterification on acid exchange resins. Chem. Eng. J. 2010, 157, 539–550. [Google Scholar] [CrossRef]
- Lin, L.; Cunshan, Z.; Vittayapadung, S.; Xiangqian, S.; Mingdong, D. Opportunities and challenges for biodiesel fuel. Appl. Energy 2011, 88, 1020–1031. [Google Scholar] [CrossRef]
- Rani, K.N.P.; Neeharika, T.S.V.R.; Kumar, T.P.; Satyavathy, B.; Sailu, C. Kinetics of non-catalytic esterification of free fatty acids present in Jatropha oil. J. Oleo Sci. 2016, 65, 441–445. [Google Scholar] [CrossRef] [PubMed]









| Fatty Acid | k1∞ (m6·kmol−1·s−1·kg−1) | E1 (kJ·kmol−1) | k2∞ (m6·kmol−1·s−1·kg−1) | E2 (kJ·kmol−1) | |
|---|---|---|---|---|---|
| Amberlyst-15 (this work) | Lauric (C12) | 0.164 | 36.5·103 | 0.134 | 36.6·103 |
| Myristic (C14) | 3.06 | 44.0·103 | 4.84 | 43.9·103 | |
| Palmitic (C16) | 4.22 | 45.4·103 | 7.93 | 45.5·103 | |
| Stearic (C18) | 20.0 | 50.1·103 | 41.1 | 49.9·103 | |
| Niobium oxide [26] | Lauric (C12) | 16.8 | 55.7·103 | 19.7 | 55.0·103 |
| Myristic (C14) | 5.14 | 53.2·103 | 11.0 | 54.2·103 | |
| Palmitic (C16) | 3.84 | 52.3·103 | 6.59 | 52.0·103 | |
| Stearic (C18) | 3.61 | 52.2·103 | 4.72 | 52.2·103 |
© 2018 by the authors. Licensee MDPI, Basel, Switzerland. This article is an open access article distributed under the terms and conditions of the Creative Commons Attribution (CC BY) license (http://creativecommons.org/licenses/by/4.0/).
Share and Cite
Banchero, M.; Gozzelino, G. A Simple Pseudo-Homogeneous Reversible Kinetic Model for the Esterification of Different Fatty Acids with Methanol in the Presence of Amberlyst-15. Energies 2018, 11, 1843. https://doi.org/10.3390/en11071843
Banchero M, Gozzelino G. A Simple Pseudo-Homogeneous Reversible Kinetic Model for the Esterification of Different Fatty Acids with Methanol in the Presence of Amberlyst-15. Energies. 2018; 11(7):1843. https://doi.org/10.3390/en11071843
Chicago/Turabian StyleBanchero, Mauro, and Giuseppe Gozzelino. 2018. "A Simple Pseudo-Homogeneous Reversible Kinetic Model for the Esterification of Different Fatty Acids with Methanol in the Presence of Amberlyst-15" Energies 11, no. 7: 1843. https://doi.org/10.3390/en11071843
APA StyleBanchero, M., & Gozzelino, G. (2018). A Simple Pseudo-Homogeneous Reversible Kinetic Model for the Esterification of Different Fatty Acids with Methanol in the Presence of Amberlyst-15. Energies, 11(7), 1843. https://doi.org/10.3390/en11071843

