Optimization of Antenna Array Deployment for Partial Discharge Localization in Substations by Hybrid Particle Swarm Optimization and Genetic Algorithm Method
Abstract
1. Introduction
2. Localization of PD Sources in Substation
2.1. Coordinate Estimation
2.2. DOA Estimation
3. Objective Functions for Array Deployment Optimization
3.1. Objective Function for Coordinate Estimation
3.2. Objective Function for DOA Estimation
3.3. Constraints
4. Hybrid PSO/GA Algorithm for Optimization of Array Deployment
4.1. Genetic Algorithm and Particle Swarm Optimization
4.2. Hybrid PSO/GA Algorithm
5. Results and Discussions
5.1. Comparison of Optimization Algorithms
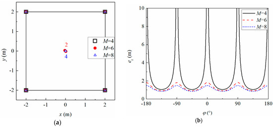
5.2. Array Deployment for Coordinate Estimation
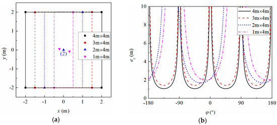
5.3. Array Deployment for DOA Estimation
6. Conclusions
Author Contributions
Funding
Conflicts of Interest
References
- Schichler, U.; Koltunowicz, W.; Endo, F.; Feser, K.; Giboulet, A.; Girodet, A.; Tenbohlen, S. Risk assessment on defects in GIS based on PD diagnostics. IEEE Trans. Dielectr. Electr. Insul. 2013, 20, 2165–2172. [Google Scholar] [CrossRef]
- Okabe, S.; Ueta, G.; Hama, H.; Ito, T.; Hikita, M.; Okubo, H. New aspects of UHF PD diagnostics on gas-insulated systems. IEEE Trans. Dielectr. Electr. Insul. 2014, 21, 2245–2258. [Google Scholar] [CrossRef]
- Zheng, S.; Li, C.; Tang, Z.; Chang, W.; He, M. Location of PDs inside transformer windings using UHF methods. IEEE Trans. Dielectr. Electr. Insul. 2014, 21, 386–393. [Google Scholar] [CrossRef]
- Moore, P.J.; Portugues, I.E.; Glover, I.A. Radiometric Location of Partial Discharge Sources on Energized High-Voltage Plant. IEEE Trans. Power Deliv. 2005, 20, 2264–2272. [Google Scholar] [CrossRef]
- Portugues, I.E.; Moore, P.J.; Glover, I.A.; Johnstone, C.; McKosky, R.H.; Goff, M.B.; Van der Zel, L. RF-Based Partial Discharge Early Warning System for Air-Insulated Substations. IEEE Trans. Power Deliv. 2009, 24, 20–29. [Google Scholar] [CrossRef]
- Hou, H.J.; Sheng, G.H.; Jiang, X.C. Localization Algorithm for the PD Source in Substation Based on L-Shaped Antenna Array Signal Processing. IEEE Trans. Power Deliv. 2015, 30, 472–479. [Google Scholar] [CrossRef]
- Li, Z.; Luo, L.; Zhou, N.; Sheng, G.; Jiang, X. A Novel Partial Discharge Localization Method in Substation Based on a Wireless UHF Sensor Array. Sensors 2017, 17, 1909. [Google Scholar] [CrossRef] [PubMed]
- Zhang, Q.; Li, C.; Zheng, S.; Yin, H.; Kan, Y.; Xiong, J. Remote detecting and locating partial discharge in bushings by using wideband RF antenna array. IEEE Trans. Dielectr. Electr. Insul. 2016, 23, 3575–3583. [Google Scholar] [CrossRef]
- Li, P.; Zhou, W.; Yang, S.; Liu, Y.; Tian, Y.; Wang, Y. Method for partial discharge localisation in air-insulated substations. IET Sci. Meas. Technol. 2017, 11, 331–338. [Google Scholar] [CrossRef]
- Tungkanawanich, A.; Kawasaki, Z.I.; Matsuura, K. Location of Multiple PD Sources on Distribution Lines by Measuring Emitted Pulse-Train Electromagnetic Waves. IEEJ Trans. Power Energy 2000, 120, 1431–1436. [Google Scholar] [CrossRef]
- Tungkanawanich, A.; Kawasaki, Z.I.; Abe, J.; Matsuura, K. Location of partial discharge source on distribution line by measuring emitted pulse-train electromagnetic waves. In Proceedings of the 2000 IEEE Power Engineering Society Winter Meeting, Singapore, 23–27 January 2000; pp. 2453–2458. [Google Scholar]
- Robles, G.; Fresno, J.M.; Sánchez-Fernández, M.; Martínez-Tarifa, J.M. Antenna Deployment for the Localization of Partial Discharges in Open-Air Substations. Sensors 2016, 16, 541. [Google Scholar] [CrossRef] [PubMed]
- Robles, G.; Fresno, J.M.; Sánchez-Fernández, M.; Martínez-Tarifa, J.M. Antenna array layout for the localization of partial discharges in open-air substations. In Proceedings of the International Electronic Conference on Sensors Application, 15–30 November 2015; pp. 1–7. Available online: https://sciforum.net/conference/ecsa-2 (accessed on 10 July 2018).
- Zhu, M.; Liu, Q.; Wang, Y.; Li, Y.; Deng, J.; Mu, H.-B.; Zhang, G.-J. Optimisation of Antenna Array Allocation for Partial Discharge Localisation in Air-Insulated Substation. IET Sci. Meas. Technol. 2017, 11, 967–975. [Google Scholar] [CrossRef]
- Hahn, W.R.; Tretter, S.A. Optimum Processing for Delay-Vector Estimation in Passive Signal Arrays. IEEE Trans. Inform. Theory 1973, 19, 608–614. [Google Scholar] [CrossRef]
- Ho, H.C.; Vicente, L.M. Sensor Allocation for Source Localization with Decoupled Range and Bearing Estimation. IEEE Trans. Signal Process. 2008, 56, 5773–5789. [Google Scholar] [CrossRef]
- Baysal, Ü.; Moses, R.L. On the Geometry of Isotropic Arrays. IEEE Trans. Signal Process. 2003, 51, 1469–1478. [Google Scholar] [CrossRef]
- Gazzah, H.; Marcos, S. Cramer-Rao Bounds for Antenna Array Design. IEEE Trans. Signal Process. 2006, 54, 336–345. [Google Scholar] [CrossRef]
- Chan, Y.T.; Ho, K.C. A Simple and Efficient Estimator for Hyperbolic Location. IEEE Trans. Signal Process. 1994, 42, 1905–1915. [Google Scholar] [CrossRef]
- Ho, H.C. Bias Reduction for an Explicit Solution of Source Localization Using TDOA. IEEE Trans. Signal Process. 2012, 60, 2101–2114. [Google Scholar] [CrossRef]
- Li, X.; Deng, Z.D.; Rauchenstein, L.T.; Carlson, T.J. Contributed Review: Source-localization algorithms and applications using time of arrival and time difference of arrival measurements. Rev. Sci. Instrum. 2016, 87, 041502. [Google Scholar] [CrossRef] [PubMed]
- Zhu, M.X.; Wang, Y.B.; Chang, D.G.; Zhang, G.J.; Tong, X.; Ruan, L. Quantitative Comparison of Partial Discharge Localization Algorithms Using Time Difference of Arrival Measurement in Substation. Int. J. Electr. Power Energy Syst. 2018, 104, 10–20. [Google Scholar] [CrossRef]
- Tian, Y.; Tatematsu, A.; Tanabe, K.; Miyajima, K. Development of Locating System of Pulsed Electromagnetic Interference Source Based on Advanced TDOA Estimation Method. IEEE Trans. Electromagn. Compat. 2014, 56, 1326–1334. [Google Scholar] [CrossRef]
- Cui, X.; Yu, K.; Lu, S. Evolutionary TDOA-Based Direction Finding Methods With 3-D Acoustic Array. IEEE Trans. Instrum. Meas. 2015, 64, 2347–2359. [Google Scholar]
- Duan, H.; Luo, Q.; Ma, G.; Shi, Y. Hybrid Particle Swarm Optimization and Genetic Algorithm for Multi-UAV Formation Reconfiguration. IEEE Comput. Intell. Mag. 2013, 8, 16–27. [Google Scholar] [CrossRef]
- Kuo, R.J.; Syu, Y.J.; Chen, Z.Y.; Tien, F.C. Integration of particle swarm optimization and genetic algorithm for dynamic clustering. Inf. Sci. 2012, 195, 124–140. [Google Scholar] [CrossRef]














© 2018 by the authors. Licensee MDPI, Basel, Switzerland. This article is an open access article distributed under the terms and conditions of the Creative Commons Attribution (CC BY) license (http://creativecommons.org/licenses/by/4.0/).
Share and Cite
Zhu, M.; Li, J.; Chang, D.; Zhang, G.; Chen, J. Optimization of Antenna Array Deployment for Partial Discharge Localization in Substations by Hybrid Particle Swarm Optimization and Genetic Algorithm Method. Energies 2018, 11, 1813. https://doi.org/10.3390/en11071813
Zhu M, Li J, Chang D, Zhang G, Chen J. Optimization of Antenna Array Deployment for Partial Discharge Localization in Substations by Hybrid Particle Swarm Optimization and Genetic Algorithm Method. Energies. 2018; 11(7):1813. https://doi.org/10.3390/en11071813
Chicago/Turabian StyleZhu, Mingxiao, Jiacai Li, Dingge Chang, Guanjun Zhang, and Jiming Chen. 2018. "Optimization of Antenna Array Deployment for Partial Discharge Localization in Substations by Hybrid Particle Swarm Optimization and Genetic Algorithm Method" Energies 11, no. 7: 1813. https://doi.org/10.3390/en11071813
APA StyleZhu, M., Li, J., Chang, D., Zhang, G., & Chen, J. (2018). Optimization of Antenna Array Deployment for Partial Discharge Localization in Substations by Hybrid Particle Swarm Optimization and Genetic Algorithm Method. Energies, 11(7), 1813. https://doi.org/10.3390/en11071813

