A Novel Triple-Permanent-Magnet-Excited Vernier Machine with Double-Stator Structure for Low-Speed and High-Torque Applications
Abstract
1. Introduction
2. Machine Configuration and Operation Principle
2.1. Machine Configuration
2.2. Operation Principle
2.3. Harmonic Analysis
- ➣
- The relative permeability of PM is 1.
- ➣
- The magnetic field changes only in a radial direction.
- ➣
- Ignore the magnetic saturation in iron cores.
- ➣
- Ignore the magnetic leakage.
3. Performance Analysis
3.1. Magnetization Patterns
3.2. Relative Position of Inner Stator and Outer Stator
3.3. Airgap Flux Density
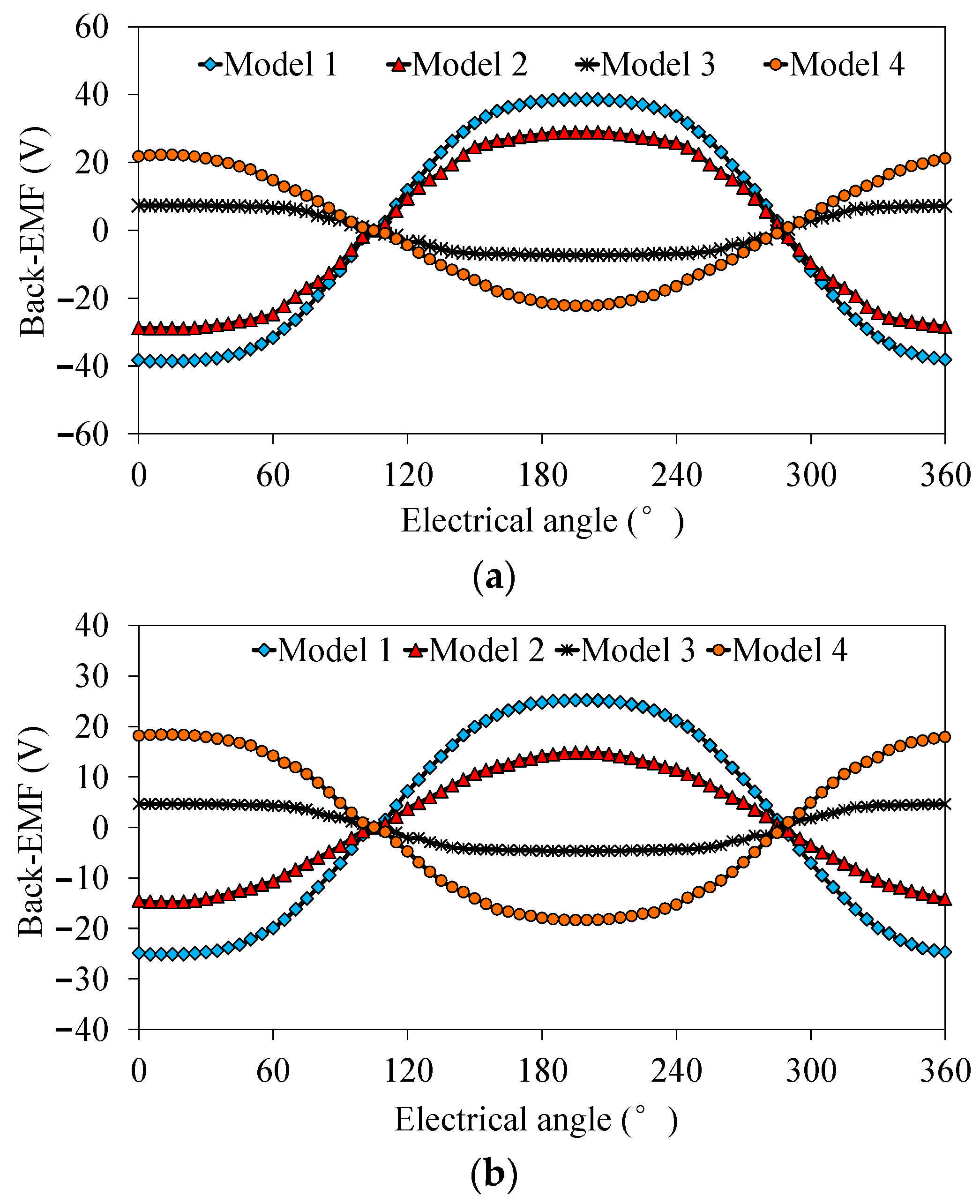
3.4. Flux Linkage and No-Load Back-Electromotive Force (EMF)
3.5. Torque
3.6. Temperature Field Analysis
4. Conclusions
Author Contributions
Acknowledgments
Conflicts of Interest
References
- Li, X.L.; Chau, K.T.; Cheng, M. Analysis, design and experimental verification of a field-modulated permanent-magnet machine for direct-drive wind turbines. IET Electr. Power Appl. 2015, 9, 150–159. [Google Scholar] [CrossRef]
- Zhao, W.X.; Zheng, J.Q.; Wang, J.B.; Liu, G.H.; Zhao, J.X.; Fang, Z.Y. Design and analysis of a linear permanent-magnet vernier machine with improved force density. IEEE Trans. Ind. Electron. 2015, 63, 2072–2082. [Google Scholar] [CrossRef]
- Jian, L.N.; Chau, K.T.; Jiang, J.Z. A magnetic-geared outer-rotor permanent-magnet brushless machine for wind power generation. IEEE Trans. Ind. Appl. 2009, 45, 954–962. [Google Scholar] [CrossRef]
- Wang, L.L.; Shen, J.X.; Luk, P.C.; Fei, W.Z.; Wang, C.F.; Hao, H. Development of a magnetic-geared permanent-magnet brushless motor. IEEE Trans. Magn. 2009, 45, 4578–4581. [Google Scholar] [CrossRef]
- Du, Y.; Cheng, M.; Chau, K.T.; Liu, X.X.; Xiao, F.; Zhao, W.X.; Shi, K.; Mo, L.H. Comparison of linear primary permanent magnet vernier machine and linear vernier hybrid machine. IEEE Trans. Magn. 2014, 50, 8202604. [Google Scholar] [CrossRef]
- Cheng, M.; Han, P.; Hua, W. A general airgap field modulation theory for electrical machines. IEEE Trans. Ind. Electron. 2017, 64, 6063–6074. [Google Scholar] [CrossRef]
- Jian, L.; Xu, G.; Mi, C.C.; Chau, K.T.; Chau, C.C. Analytical method for magnetic field calculation in a low-speed permanent-magnet harmonic machine. IEEE Trans. Energy Convers. 2011, 26, 862–870. [Google Scholar] [CrossRef]
- Salihu Mustafa, S.; Misron, N.; Mariun, N.; Othman, M.L.; Hanamoto, T. Torque distribution characteristics of a novel double-stator permanent magnet generator integrated with a magnetic gear. Energies 2017, 10, 2. [Google Scholar] [CrossRef]
- Du, Y.; Zhang, C.; Zhu, X.Y.; Xiao, F.; Sun, Y.; Zuo, Y.; Quan, L. Principle and analysis of doubly salient PM motor with П-shaped stator iron core segments. IEEE Trans. Ind. Electron. 2018. [Google Scholar] [CrossRef]
- Du, Y.; Xiao, F.; Hua, W.; Zhu, X.Y.; Cheng, M.; Quan, L.; Chau, K.T. Comparison of flux-switching PM motors with different winding configurations using magnetic gearing principle. IEEE Trans. Magn. 2016, 52, 8201980. [Google Scholar] [CrossRef]
- Zhu, X.Y.; Shu, Z.M.; Quan, L.; Xiang, Z.X.; Pan, X.Q. Design and multi-condition comparison of two outer-rotor flux-switching permanent magnet motors for in-wheel traction applications. IEEE Trans. Ind. Electron. 2017, 64, 6137–6148. [Google Scholar] [CrossRef]
- Zhu, X.Y.; Xiang, Z.X.; Quan, L.; Wu, W.Y.; Du, Y. Multi-Mode optimization design methodology for a flux-controllable stator permanent magnet memory motor considering driving cycles. IEEE Trans. Ind. Electron. 2018, 65, 5353–5366. [Google Scholar] [CrossRef]
- Wang, S.Y.; Zhao, W.X.; Ji, J.H.; Xu, L.; Zheng, J.Q. Magnetic gear ratio effects on performances of linear primary permanent magnet vernier motor. IEEE Trans. Appl. Supercond. 2016, 26, 0610505. [Google Scholar] [CrossRef]
- Kim, B. Design of a pm vernier machine with consideration for modulation flux and comparison with conventional PM motors. Energies 2017, 10, 1819. [Google Scholar] [CrossRef]
- Zhu, X.Y.; Fan, D.Y.; Mo, L.H.; Chen, Y.Y.; Quan, L. Multi-objective optimization design of double-rotor flux-switching permanent magnet machine considering multi-mode operation. IEEE Trans. Ind. Electron. 2018. [Google Scholar] [CrossRef]
- Zhu, X.Y.; Xiang, Z.X.; Quan, L.; Chen, Y.Y.; Mo, L.H. Multi-mode optimization research on a multi-port magnetic planetary gear permanent magnet machine for hybrid electric vehicles. IEEE Trans. Ind. Electron. 2018. [Google Scholar] [CrossRef]
- Jian, L.N.; Shi, Y.J.; Liu, C.; Xu, G.Q.; Gong, Y.; Chan, C.C. A novel dual-permanent-magnet-excited machine for low-speed large-torque application. IEEE Trans. Magn. 2013, 49, 2381–2384. [Google Scholar] [CrossRef]
- Liu, Y.; Fu, W.N.; Guo, X.; Li, Z.; Fang, R. A dual permanent magnet machine for high-torque low-Speed applications. In Proceedings of the 2017 20th International Conference on Electrical Machines and Systems (ICEMS), Sydney, NSW, Australia, 11–14 August 2017; pp. 1–4. [Google Scholar]
- Qu, R.H.; Li, D.W.; Wang, J. Relationship between magnetic gears and vernier machines. In Proceedings of the 2011 International Conference on Electrical Machines and Systems, Beijing, China, 20–23 August 2011; pp. 1–6. [Google Scholar]
- Ho, S.L.; Niu, S.X.; Fu, W.N. Transient analysis of a magnetic gear integrated brushless permanent magnet machine using circuit-field-motion coupled time-stepping finite element method. IEEE Trans. Magn. 2010, 46, 2074–2077. [Google Scholar] [CrossRef]
- Peng, S.; Fu, W.N.; Ho, S.L. A novel high torque-density triple-permanent-magnet-excited magnetic gear. IEEE Trans. Magn. 2014, 50, 8001704. [Google Scholar] [CrossRef]
- Hua, W.; Cheng, M.; Zhu, Z.Q.; Zhao, W.X. Comparison of electromagnetic performance of brushless motors having magnets in stator and rotor. J. Appl. Phys. 2008, 103, 07F124. [Google Scholar] [CrossRef]


















| Group | Spatial | Amplitude | Rotating Velocity |
|---|---|---|---|
| 1 | mpPMs | A1ε1 | 0 |
| 2 | ∣mpPMs − npr∣ | A2ε1ε2 | |
| 3 | mpPMs + npr | A2ε1ε2 |
| Group | Spatial | Amplitude | Rotating Velocity |
|---|---|---|---|
| 1 | ipPMr | A3ε3 | ωr |
| 2 | ∣ips − jpPMr∣ | A4ε3ε4 | |
| 3 | ips + jpPMr | A4ε3ε4 |
| Symbol | Parameter | Unit | Value |
|---|---|---|---|
| h1 | Thickness of inner stator PMs | mm | 2 |
| h2 | Width of inner stator teeth | mm | 4.4 |
| h3 | Height of inner stator yoke | mm | 6 |
| h4 | High of inner stator shoes | mm | 1 |
| h5 | Width of inner stator shoes | mm | 3.3 |
| h6 | Thickness of outer stator PMs | mm | 2 |
| h7 | Width of outer stator teeth | mm | 5.6 |
| h8 | Width of outer stator shoes | mm | 4.3 |
| h9 | Height of outer stator yoke | mm | 7 |
| h10 | High of outer stator shoes | mm | 1 |
| r1 | Inner radius of inner stator | mm | 20 |
| r2 | Outer radius of inner stator | mm | 40 |
| r3 | Inner radius of intermediate rotor | mm | 40.5 |
| r4 | Outer radius of intermediate rotor | mm | 46 |
| r5 | Outer radius of outer stator | mm | 70 |
| Series turns per phase of primary windings | 150 | ||
| Series turns per phase of secondary windings | 100 | ||
| Stack length | mm | 50 | |
| Length of airgap | mm | 0.5 | |
| Remanence of PMs | T | 1.2 | |
| Volume of outer stator PMs | mm3 | 16,400 | |
| Volume of rotor PMs | mm3 | 37,350 | |
| Volume of inner stator PMs | mm3 | 13,900 |
| Harmonic Order | Outer Stator PMs | Inner Stator PMs | Stator PMs | Rotor PMs | All PMs |
|---|---|---|---|---|---|
| 2nd | 0.09 | 0.053 | 0.144 | 0.177 | 0.309 |
| 22nd | 0.05 | 0.015 | 0.065 | 0.679 | 0.735 |
| 24th | 0.587 | 0.016 | 0.604 | 0.081 | 0.677 |
| Harmonic Order | Outer Stator PMs | Inner Stator PMs | Stator PMs | Rotor PMs | All PMs |
|---|---|---|---|---|---|
| 2nd | 0.062 | 0.097 | 0.161 | 0.202 | 0.348 |
| 22nd | 0.019 | 0.049 | 0.068 | 0.698 | 0.755 |
| 24th | 0.019 | 0.608 | 0.627 | 0.08 | 0.694 |
© 2018 by the authors. Licensee MDPI, Basel, Switzerland. This article is an open access article distributed under the terms and conditions of the Creative Commons Attribution (CC BY) license (http://creativecommons.org/licenses/by/4.0/).
Share and Cite
Liu, X.; Zhong, X.; Du, Y.; Chen, X. A Novel Triple-Permanent-Magnet-Excited Vernier Machine with Double-Stator Structure for Low-Speed and High-Torque Applications. Energies 2018, 11, 1713. https://doi.org/10.3390/en11071713
Liu X, Zhong X, Du Y, Chen X. A Novel Triple-Permanent-Magnet-Excited Vernier Machine with Double-Stator Structure for Low-Speed and High-Torque Applications. Energies. 2018; 11(7):1713. https://doi.org/10.3390/en11071713
Chicago/Turabian StyleLiu, Xinbo, Xu Zhong, Yi Du, and Xun Chen. 2018. "A Novel Triple-Permanent-Magnet-Excited Vernier Machine with Double-Stator Structure for Low-Speed and High-Torque Applications" Energies 11, no. 7: 1713. https://doi.org/10.3390/en11071713
APA StyleLiu, X., Zhong, X., Du, Y., & Chen, X. (2018). A Novel Triple-Permanent-Magnet-Excited Vernier Machine with Double-Stator Structure for Low-Speed and High-Torque Applications. Energies, 11(7), 1713. https://doi.org/10.3390/en11071713

