A Frequency Control Strategy Considering Large Scale Wind Power Cluster Integration Based on Distributed Model Predictive Control
Abstract
:1. Introduction
2. Proposed Model
2.1. The State Space Equations
2.2. Deposition of Nonlinear Constraints
2.2.1. Deposition of Dead Zone of Conventional Generator Governors
2.2.2. Deposition of Conventional Generators and Wind Farms Generation Rate Constraints
2.3. The Matrix Expression of State Space Equations
3. Proposed Control Strategy
3.1. DMPC Considering Laguerre Functions
3.1.1. Determination of Time-Step Duration
3.1.2. DMPC Considering Laguerre Functions
3.1.3. Prediction Model of DMPC
3.1.4. Rolling Optimization of DMPC
3.1.5. Feedback Correction of DMPC
3.2. Method of Wind Power Clusters Actively Participating in Frequency Control
3.2.1. Ultra-Short-Term Wind Power Combination Forecasting Algorithm
3.2.2. Judgment Process of Variable Part Constraints
4. Proposed Control Algorithm
5. Experimental Examples
6. Results and Discussion
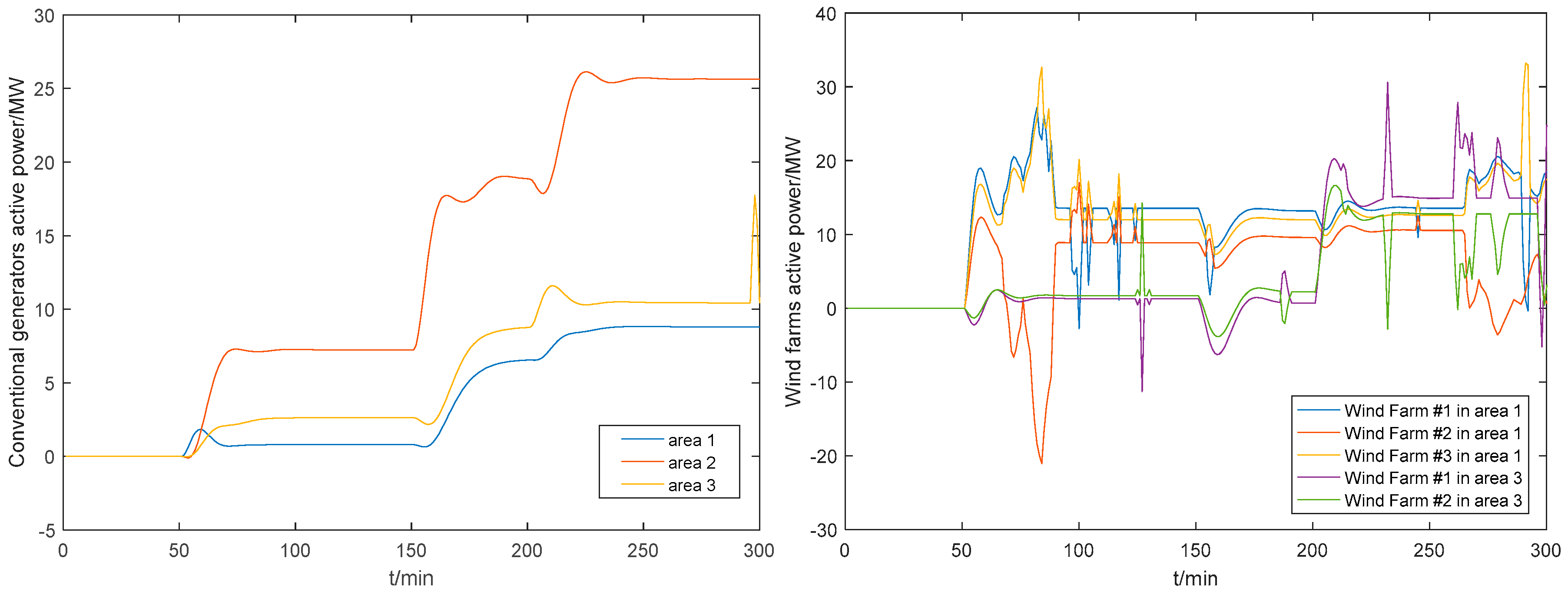
6.1. Experiment 1: Control Results Considering Load Step Disturbances
6.2. Experiment 2: Control Results Considering Load Random Disturbances
7. Conclusions
Author Contributions
Funding
Acknowledgments
Conflicts of Interest
References
- Baccino, F.; Conte, F.; Grillo, S.; Massucco, S.; Silvestro, F. An optimal model-based control technique to improve wind farm participation to frequency regulation. IEEE Trans. Sustain. Energy 2015, 6, 993–1003. [Google Scholar] [CrossRef]
- Makarov, Y.V.; Loutan, C.; Ma, J.; de Mello, P. Operational impacts of wind generation on California power systems. IEEE Trans. Power Syst. 2009, 24, 1039–1050. [Google Scholar] [CrossRef]
- Liu, J.; Yao, Q.; Liu, Y.; Yang, H. Wind farm primary frequency control strategy based on wind & thermal power joint control. Proc. CSEE 2017, 37, 3462–3469. [Google Scholar]
- Aho, J.; Buckspan, A.; Laks, J.; Fleming, P.; Jeong, Y.; Dunne, F.; Churchfield, M.; Pao, L.; Johnson, K. A tutorial of wind turbine control for supporting grid frequency through active power control. In Proceedings of the American Control Conference (ACC), Montreal, QC, Canada, 27–29 June 2012. [Google Scholar]
- Morren, J.; de Haan, S.W.H.; Kling, W.L.; Ferreira, J.A. Wind turbines emulating inertia and supporting primary frequency control. IEEE Trans. Power Syst. 2006, 21, 433–434. [Google Scholar] [CrossRef]
- Tang, X.; Miao, F.; Qi, Z.; He, H.; Wu, T.; Li, S. Survey on frequency control of wind power. Proc. CSEE 2014, 34, 4304–4314. [Google Scholar]
- Wu, Z.; Gao, W.; Gao, T.; Yan, W.; Zhang, H.; Yan, S.; Wang, X. State-of-the-art review on frequency response of wind power plants in power systems. J. Mod. Power Syst. Clean Energy 2018, 6, 1–16. [Google Scholar] [CrossRef]
- Li, L.; Ye, L. Coordinated control of frequency and rotational speed for direct drive permanent magnet synchronous generator wind turbine at variable wind speeds. Autom. Electr. Power Syst. 2011, 35, 26–31. [Google Scholar]
- Wang, Y.; Delille, G.; Bayem, H.; Guillaud, X.; Francois, B. High wind power penetration in isolated power systems-assessment of wind inertial and primary frequency responses. IEEE Trans. Power Syst. 2013, 28, 2412–2420. [Google Scholar] [CrossRef]
- Qian, D.; Tong, S.; Liu, H.; Liu, H. Load frequency control by neural-network-based integral sliding mode for nonlinear power systems with wind turbines. Neurocomputing 2016, 173, 875–885. [Google Scholar] [CrossRef]
- Zhang, Z.; Sun, Y.; Li, G.; Cheng, L.; Lin, J. Frequency regulation by double fed induction generator wind turbines based on coordinated overspeed control and pitch control. Autom. Electr. Power Syst. 2011, 35, 20–25. [Google Scholar]
- Wu, Z.; Gao, W.; Wang, J.; Gu, S. A coordinated primary frequency regulation from permanent magnet synchronous wind turbine generation. In Proceedings of the IEEE in Power Electronics and Machines in Wind Applications (PEMWA), Denver, CO, USA, 16–18 July 2012; IEEE: Piscataway, NJ, USA; pp. 1–6. [Google Scholar]
- Liao, Y.; He, J.; Yao, J.; Zhang, K. Power smoothing control strategy of direct-driven permanent magnet synchronous generator for wind turbine with pitch angle control and torque dynamic control. Proc. CSEE 2009, 29, 71–77. [Google Scholar]
- Chang-Chien, L.R.; Sun, C.C.; Yeh, Y.J. Modeling of wind farm participation in AGC. IEEE Trans. Power Syst. 2013, 29, 1204–1211. [Google Scholar] [CrossRef]
- El Mokadem, M.; Courtecuisse, V.; Saudemont, C.; Robyns, B.; Deuse, J. Fuzzy logic supervisor-based primary frequency control experiments of a variable-speed wind generator. IEEE Trans. Power Syst. 2009, 24, 407–417. [Google Scholar] [CrossRef]
- Zhao, J.; Lv, X.; Fu, Y.; Hu, X. Dynamic frequency control strategy of wind/photovoltaic/diesel microgrid based on DFIG virtual inertia control and pitch angle control. Proc. CSEE 2015, 35, 3815–3822. [Google Scholar]
- Ye, X.; Lu, Z.; Qiao, Y.; Min, Y.; Huang, Q.; Wang, N. Hierarchical coordinated idea of wind and thermal power bundled transmission system. Autom. Electr. Power Syst. 2014, 38, 1–8. [Google Scholar]
- Zhang, B.; Wu, W.; Zheng, T.; Sun, H. Design of a multi-time scale coordinated active power dispatching system for accommodating large scale wind power penetration. Autom. Electr. Power Syst. 2011, 35, 1–6. [Google Scholar]
- Xi, Y. Predictive Control; National Defense Industry Press: Beijing, China, 2013. [Google Scholar]
- Zheng, Y.; Zhou, J.; Xu, Y.; Zhang, Y.; Qian, Z. A distributed model predictive control based load frequency control scheme for multi-area interconnected power system using discrete-time Laguerre functions. ISA Trans. 2017, 68, 127–140. [Google Scholar] [CrossRef] [PubMed]
- Ersdal, A.M.; Imsland, L.; Uhlen, K.; Fabozzi, D.; Thornhill, N.F. Model predictive load-frequency control taking into account imbalance uncertainty. Control Eng. Pract. 2016, 53, 139–150. [Google Scholar] [CrossRef]
- Liu, X.; Zhang, Y.; Lee, K.Y. Robust distributed MPC for load frequency control of uncertain power systems. Control Eng. Pract. 2016, 56, 136–147. [Google Scholar] [CrossRef]
- Zhao, H.; Wu, Q.; Wang, J.; Liu, Z.; Shahidehpour, M.; Xue, Y. Combined active and reactive power control of wind farms based on model predictive control. IEEE Trans. Energy Convers. 2017, 32, 1177–1187. [Google Scholar] [CrossRef]
- Ye, L.; Ren, C.; Li, Z.; Yao, Y.; Zhao, Y. Stratified progressive predictive control strategy for multi-objective dispatching active power in wind farm. Proc. CSEE 2016, 36, 6327–6336. [Google Scholar]
- Makarov, Y.V.; Etingov, P.V.; Ma, J.; Huang, Z.; Subbarao, K. Incorporating uncertainty of wind power generation forecast into power system operation, dispatch, and unit commitment procedures. IEEE Trans. Sustain. Energy 2011, 2, 433–442. [Google Scholar] [CrossRef]
- Zhang, B.; Chen, J.; Wu, W. A hierarchical model predictive control method of active power for accommodating large-scale wind power integration. Autom. Electr. Power Syst. 2014, 38, 6–14. [Google Scholar]
- Kaddah, S.S.; Abo-Al-Ez, K.M.; Megahed, T.F. Application of nonlinear model predictive control based on swarm optimization in power systems optimal operation with wind resources. Electr. Power Syst. Res. 2017, 143, 415–430. [Google Scholar] [CrossRef]
- Xie, L.; Ilic, M.D. Model predictive economic/environmental dispatch of power systems with intermittent resources. In Proceedings of the 2009 IEEE Power & Energy Society General Meeting (PES’09), Calgary, AB, Canada, 26–30 July 2009; IEEE: Piscataway, NJ, USA; pp. 1–6. [Google Scholar]
- Xie, L.; Ilic, M.D. Model predictive dispatch in electric energy systems with intermittent resources. In Proceedings of the 2008 IEEE International Conference on Systems, Man and Cybernetics (SMC 2008), Singapore, 12–15 October 2008; IEEE: Piscataway, NJ, USA; pp. 42–47. [Google Scholar]
- Variani, M.H.; Tomsovic, K. Distributed automatic generation control using flatness-based approach for high penetration of wind generation. IEEE Trans. Power Syst. 2013, 28, 3002–3009. [Google Scholar] [CrossRef]
- Mohamed, T.H.; Morel, J.; Bevrani, H.; Hiyama, T. Model predictive based load frequency control_design concerning wind turbines. Int. J. Electr. Power Energy Syst. 2012, 43, 859–867. [Google Scholar] [CrossRef]
- Mohamed, T.H.; Bevrani, H.; Hassan, A.A.; Hiyama, T. Decentralized model predictive based load frequency control in an interconnected power system. Energy Convers. Manag. 2011, 52, 1208–1214. [Google Scholar] [CrossRef]
- Zheng, Y.; Li, S.; Qiu, H. Networked coordination-based distributed model predictive control for large-scale system. IEEE Trans. Control Syst. Technol. 2013, 21, 991–998. [Google Scholar] [CrossRef]
- Zhang, Y.; Liu, X.; Qu, B. Distributed model predictive load frequency control of multi-area power system with DFIGs. IEEE/CAA J. Autom. Sin. 2017, 4, 125–135. [Google Scholar] [CrossRef]
- Venkat, A.N.; Hiskens, I.A.; Rawlings, J.B.; Wright, S.J. Distributed MPC strategies with application to power system automatic generation control. IEEE Trans. Control Syst. Technol. 2008, 16, 1192–1206. [Google Scholar] [CrossRef]
- Bevrani, H.; Daneshfar, F.; Hiyama, T. A new intelligent agent-based AGC design with real-time application. IEEE Trans. Syst. Man Cybern. Part C (Appl. Rev.) 2012, 42, 994–1002. [Google Scholar] [CrossRef]
- Ma, M.; Liu, X.; Zhang, C. LFC for multi-area interconnected power system concerning wind turbines based on DMPC. IET Gener. Transm. Distrib. 2017, 11, 2689–2696. [Google Scholar] [CrossRef]
- Ma, M.; Zhang, C.; Shao, L.; Sun, Y. Primary frequency regulation for multi-area interconnected power system with wind turbines based on DMPC. In Proceedings of the 2016 35th Chinese Control Conference, Chengdu, China, 27–29 July 2016; IEEE: Piscataway, NJ, USA, 2016; pp. 4384–4389. [Google Scholar]
- Casavola, F.T.A. Fault-tolerant distributed load/frequency supervisory strategies for networked multi-area microgrids. Int. J. Robust Nonlinear Control 2014, 24, 1380–1402. [Google Scholar]
- Fu, Y.; Wang, Y.; Zhang, X.; Luo, Y. Analysis and integrated control of inertia and primary frequency regulation for variable speed wind turbines. Proc. CSEE 2014, 34, 4706–4716. [Google Scholar]
- Chien, L.R.C.; Lin, W.T.; Yin, Y.C. Enhancing frequency response control by DFIGs in the high wind penetrated power systems. IEEE Trans. Power Syst. 2011, 26, 710–718. [Google Scholar] [CrossRef]
- Almeida, R.G.; Lopes, J.A.P. Participation of doubly fed induction wind generators in system frequency regulation. IEEE Trans. Power Syst. 2007, 22, 944–950. [Google Scholar] [CrossRef]
- Leea, H.J.; Jin, B.P.; Jooc, Y.H. Robust load-frequency control for uncertain nonlinear power systems: A fuzzy logic approach. Inf. Sci. 2006, 176, 3520–3537. [Google Scholar] [CrossRef]
- Bevrani, H. Robust Power System Frequency Control; Springer: New York, NY, USA, 2009. [Google Scholar]
- Ye, L.; Zhu, Q.; Zhao, Y. Dynamic optimal combination model considering adaptive exponential for ultra-short term power prediction. Autom. Electr. Power Syst. 2015, 39, 12–18. [Google Scholar]








| Parameter | Meaning | Unit |
| N | Number of interconnected areas | - |
| n | Number of conventional generators | - |
| m | Number of wind farms | - |
| σ1i(·), σ2i(·), …, σni(·) | Dead zone of generator governor | - |
| GRC | Generation rate of generators | - |
| WFGRC | Generation rate of wind farms | - |
| βi | Frequency deviation factor | pu/Hz |
| R1i, R2i, …, Rni | Droop characteristics of generators | Hz/pu |
| Tg1i, Tg2i, …, Tgni | Time constant of generator governor | s |
| Tt1i, Tt2i, …, Ttni | Time constant of generator steam turbine | s |
| TWF1i, TWF2i, …, TWFmi | Inertia time constant of wind farms | s |
| Hi | Equivalent inertia coefficient of system | s |
| Di | Equivalent damping coefficient of system | pu/Hz |
| Tij | Synchronous coefficient of tie-line | pu |
| Vi | Area interface quantity | pu·Hz |
| State variable | Meaning | Unit |
| ΔPg1i, ΔPg2i, …, ΔPgni | Position change of generator governor | pu |
| ΔPt1i, ΔPt2i, …, ΔPtni | Power change of generators | pu |
| ΔPWF1i, ΔPWF2i, …, ΔPWFmi | Power change of wind farms | pu |
| Δfi | Area frequency variation | Hz |
| ΔPtie,i | Power change of tie-line | pu |
| Control variable | Meaning | Unit |
| ΔPc1i, ΔPc2i, …, ΔPcni | Control order for conventional generators from DMPC controller | pu |
| ΔPref1i, ΔPref2i, …, ΔPrefmi | Control order for wind power clusters from DMPC controller | pu |
| Output variable and disturbance variable | Meaning | Unit |
| ACEi | Area control error | pu |
| ΔPLi | Area load variation | pu |
| Parameters | Area 1 | Area 2 | Area 3 |
|---|---|---|---|
| Conventional generators capacity/pu | 0.6 | 0.8 | 0.6 |
| Generation rate of generators/(pu/min) | 0.008 | 0.008 | 0.008 |
| βi/(pu/Hz) | 0.3483 | 0.3473 | 0.3180 |
| Ri/(Hz/pu) | 3 | 3 | 3.3 |
| Tgi/s | 0.8 | 0.6 | 0.7 |
| Tti/s | 10.0 | 10.2 | 9.7 |
| Generation rate of wind farms/(pu/min) | 0.006 | - | 0.006 |
| TWFi/s | 2.2/3.3/2.5 | - | 2.5/3.4 |
| 2Hi/s | 18.0 | 19.5 | 18.7 |
| Di/(pu/Hz) | 0.015 | 0.014 | 0.015 |
| Tij(pu/Hz) | T12 = 0.20 | T21 = 0.20 | T31 = 0.25 |
| T13 = 0.25 | T23 = 0.12 | T32 = 0.12 |
| Algorithm | Computation Time/s | Frequency Adjustment Time/s |
|---|---|---|
| Proposed decomposition-coordination control algorithm | 2.187 | ≈42 |
| High-dimensional concentration algorithm | 2.754 | ≈43 |
| Control Strategy | Area 1 RMSE/% | Area 2 RMSE/% | Area 3 RMSE/% |
|---|---|---|---|
| Proposed DMPC controller | 1.72 | 1.79 | 1.71 |
| Conventional PI controller | 5.87 | 6.06 | 5.76 |
| Centralized MPC controller | 5.12 | 5.19 | 5.11 |
| Decentralized MPC controller | 3.43 | 3.51 | 3.40 |
| Wind Power Clusters Participate in Frequency Control Actively | The Times That Conventional Generator Do Not Need Control Action | The Mean Value of Conventional Generator Absolute Control Quantities/MW |
| Conventional generator in area 1 | 15 | 7.3 |
| Conventional generator in area 2 | 15 | 6.9 |
| Conventional generator in area 3 | 15 | 7.2 |
| Wind Power Clusters Do Not Participate in Frequency Control | The Times That Conventional Generator Do Not Need Control Action | The Mean Value of Conventional Generator Absolute Control Quantities/MW |
| Conventional generator in area 1 | 0 | 8.1 |
| Conventional generator in area 2 | 0 | 7.9 |
| Conventional generator in area 3 | 0 | 8.2 |
© 2018 by the authors. Licensee MDPI, Basel, Switzerland. This article is an open access article distributed under the terms and conditions of the Creative Commons Attribution (CC BY) license (http://creativecommons.org/licenses/by/4.0/).
Share and Cite
Sun, B.; Tang, Y.; Ye, L.; Chen, C.; Zhang, C.; Zhong, W. A Frequency Control Strategy Considering Large Scale Wind Power Cluster Integration Based on Distributed Model Predictive Control. Energies 2018, 11, 1600. https://doi.org/10.3390/en11061600
Sun B, Tang Y, Ye L, Chen C, Zhang C, Zhong W. A Frequency Control Strategy Considering Large Scale Wind Power Cluster Integration Based on Distributed Model Predictive Control. Energies. 2018; 11(6):1600. https://doi.org/10.3390/en11061600
Chicago/Turabian StyleSun, Bohao, Yong Tang, Lin Ye, Chaoyu Chen, Cihang Zhang, and Wuzhi Zhong. 2018. "A Frequency Control Strategy Considering Large Scale Wind Power Cluster Integration Based on Distributed Model Predictive Control" Energies 11, no. 6: 1600. https://doi.org/10.3390/en11061600
APA StyleSun, B., Tang, Y., Ye, L., Chen, C., Zhang, C., & Zhong, W. (2018). A Frequency Control Strategy Considering Large Scale Wind Power Cluster Integration Based on Distributed Model Predictive Control. Energies, 11(6), 1600. https://doi.org/10.3390/en11061600

