Flow Structure and Heat Transfer of Jet Impingement on a Rib-Roughened Flat Plate
Abstract
:1. Introduction
2. Numerical Methodology
2.1. Computational Domain, Boundary Conditions, and Grid Independence Check
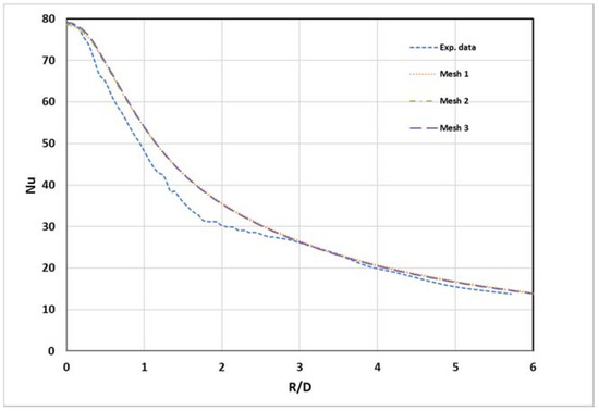
2.2. Grid Independence and Turbulence Model Validation
3. Results and Discussion
3.1. Simulation Characteristics
3.2. Aerodynamical Results
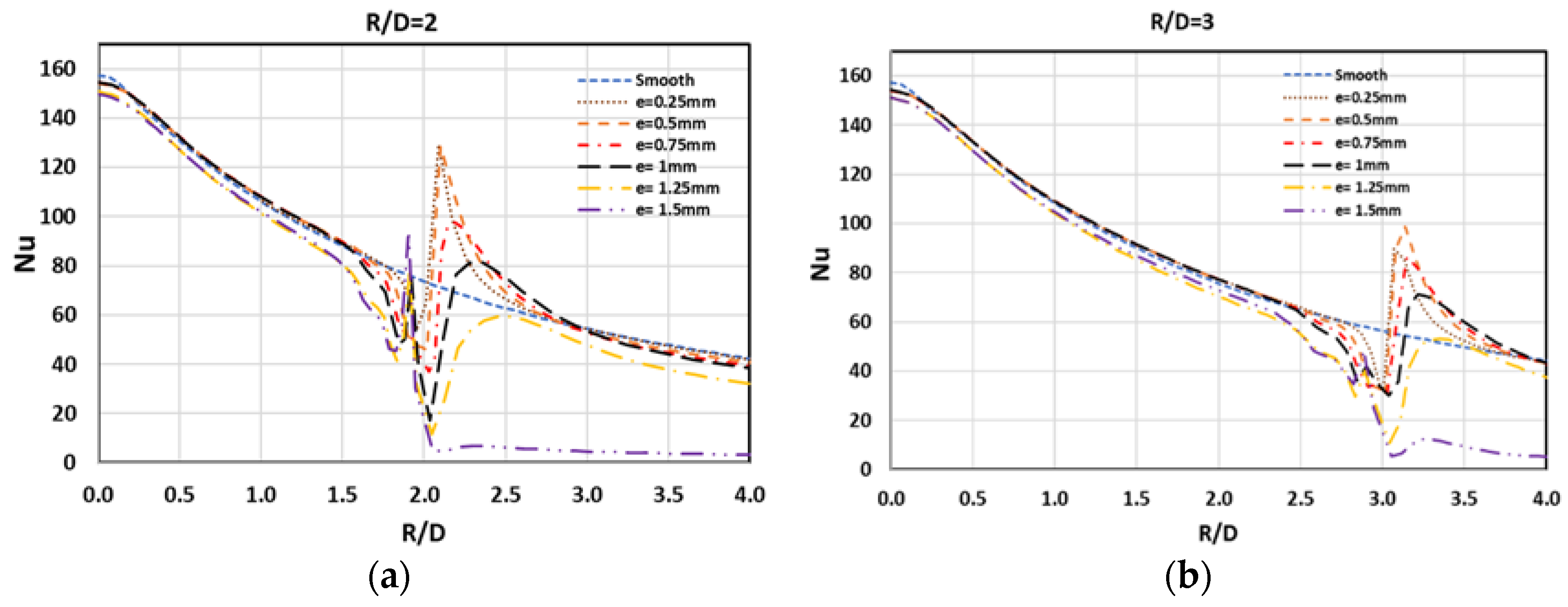
3.3. Average Characteristics
3.4. Comparison of Results
4. Conclusions
Author Contributions
Acknowledgments
Conflicts of Interest
Nomenclature
| Symbol | Description | Units |
| Re | Jet Reynolds number, ρUD/µ | m3/s |
| Cp | Heat capacity | J/kg·K |
| h | Convective heat transfer coefficient | W/m2K |
| Average heat transfer coefficient | W/m2K | |
| D | Hydraulic diameter | m |
| R | Rib radial location | m |
| Nu | Nusselt number, hD/k | - |
| Nustag | Stagnation Nusselt number | - |
| Average Nusselt number, | - | |
| Baseline case average Nusselt number | - | |
| qw | Wall heat flux | W/m2 |
| Tref | Reference temperature | °C |
| Taw | Adiabatic wall temperature | °C |
| Tw | Wall temperature | °C |
| Tj | Jet temperature | °C |
| Uj | Jet velocity | m/s |
| y+ | Near-wall distance | m |
| ν | Kinematic viscosity | m2/s |
| u∞ | Free stream velocity | m/s |
| δ | boundary layer thickness | mm |
| Dd | Domain diameter | m |
| P | Mean pressure | Pa |
| U, V, W | Streamwise, vertical and spanwise components of velocity | m/s |
| U′, V′, W′ | Streamwise, vertical and spanwise components of fluctuating velocity | m/s |
| T | Mean temperature | °C |
| T′ | Fluctuating temperature | °C |
References
- Jambunathan, K.; Lai, E.; Moss, M.A.; Button, B.L. A review of heat-transfer data for single circular jet impingement. Int. J. Heat Fluid Flow 1992, 13, 106–115. [Google Scholar] [CrossRef]
- Almutairi, A. Computation of Conjugate Heat Transfer in Impinging Flows. Master’s Thesis, University of Manchester, Manchester, UK, September 2010. [Google Scholar]
- Kuraan, A.M.; Moldovan, S.I.; Choo, K. Heat transfer and hydrodynamics of free water jet impingement at low nozzle-to-plate spacings. Int. J. Heat Mass Transf. 2017, 108, 2211–2216. [Google Scholar] [CrossRef]
- Zu, Y.Q.; Yan, Y.Y.; Maltson, J. Numerical Study on Stagnation Point Heat Transfer by Jet Impingement in a Confined Narrow Gap. J. Heat Transf. 2009, 131, 094504. [Google Scholar] [CrossRef]
- Zhang, D.; Qu, H.; Lan, J.; Chen, J.; Xie, Y. Flow and heat transfer characteristics of single jet impinging on protrusioned surface. Int. J. Heat Mass Transf. 2013, 58, 18–28. [Google Scholar] [CrossRef]
- Kim, W.S.; Lee, S.Y. Behavior of a water drop impinging on heated porous surfaces. Exp. Therm. Fluid Sci. 2014, 55, 62–70. [Google Scholar] [CrossRef]
- Beitelmal, A.H.; Saad, M.A. Effects of surface roughness on the average heat transfer of an impinging air jet. Int. Commun. Heat Mass Transf. 2000, 27, 1–12. [Google Scholar] [CrossRef]
- Sharif, M.A.R.; Ramirez, N.M. Surface roughness effects on the heat transfer due to turbulent round jet impingement on convex hemispherical surfaces. Appl. Therm. Eng. 2013, 51, 1026–1037. [Google Scholar] [CrossRef]
- Xing, Y.; Weigand, B. Experimental investigation of impingement heat transfer on a flat and dimpled plate with different crossflow schemes. Int. J. Heat Mass Transf. 2010, 53, 3874–3886. [Google Scholar] [CrossRef]
- Gabour, L.A.; Lienhard, J.H. Wall Roughness Effects on Stagnation-Point Heat Transfer Beneath an Impinging Liquid Jet. J. Heat Transf. 1994, 116, 81–87. [Google Scholar] [CrossRef]
- Celik, N. Effects of the surface roughness on heat transfer of perpendicularly impinging co-axial jet. Heat Mass Transf. 2011, 47, 1209–1217. [Google Scholar] [CrossRef]
- Kanokjaruvijit, K.; Martinez-Botas, R.F. Jet impingement on a dimpled surface with different crossflow schemes. Int. J. Heat Mass Transf. 2005, 48, 161–170. [Google Scholar] [CrossRef]
- El-Gabry, L.A.; Kaminski, D.A. Experimental Investigation of Local Heat Transfer Distribution on Smooth and Roughened Surfaces under an Array of Angled Impinging Jets. J. Turbomach. 2005, 127, 532–544. [Google Scholar] [CrossRef]
- Spring, S.; Xing, Y.; Weigand, B. An Experimental and Numerical Study of Heat Transfer from Arrays of Impinging Jets with Surface Ribs. J. Heat Transf. 2012, 134, 082201. [Google Scholar] [CrossRef]
- Caliskan, S. Flow and heat transfer characteristics of transverse perforated ribs under impingement jets. Int. J. Heat Mass Transf. 2013, 66, 244–260. [Google Scholar] [CrossRef]
- Wan, C.; Rao, Y.; Chen, P. Numerical predictions of jet impingement heat transfer on square pin-fin roughened plates. Appl. Therm. Eng. 2015, 80, 301–309. [Google Scholar] [CrossRef]
- Nuntadusit, C.; Wae-hayee, M.; Bunyajitradulya, A.; Eiamsa-ard, S. Thermal visualization on surface with transverse perforated ribs. Int. Commun. Heat Mass Transf. 2012, 39, 634–639. [Google Scholar] [CrossRef]
- Choi, E.Y.; Choi, Y.D.; Lee, W.S.; Chung, J.T.; Kwak, J.S. Heat transfer augmentation using a rib-dimple compound cooling technique. Appl. Therm. Eng. 2013, 51, 435–441. [Google Scholar] [CrossRef]
- Hassan, M.M.; Teamah, M.A.; El-Maghlany, W.M. Numerical investigation for heat transfer enhancement using nanofluids over ribbed confined one-end closed flat-plate. Alex. Eng. J. 2017, 56, 333–343. [Google Scholar] [CrossRef]
- Lo, Y.H.; Liu, Y.H. Heat transfer of impinging jet arrays onto half-smooth, half-rough target surfaces. Appl. Therm. Eng. 2018, 128, 79–91. [Google Scholar] [CrossRef]
- Goldstein, R.J. Film cooling. Adv. Heat Transf. 1971, 7, 321–379. [Google Scholar]
- Han, B.; Goldstein, R.J. Jet-Impingement Heat Transfer in Gas Turbine Systems. Ann. N. Y. Acad. Sci. 2001, 934, 147–161. [Google Scholar] [CrossRef] [PubMed]
- O’Donovan, T.S.; Murray, D.B. Jet impingement heat transfer—Part I: Mean and root-mean-square heat transfer and velocity distributions. Int. J. Heat Mass Transf. 2007, 50, 3291–3301. [Google Scholar] [CrossRef]
- Tu, J.; Yeoh, G.; Liu, C. Computational Fluid Dynamics: A Practical Approach; Elsevier: Amsterdam, The Netherlands, 2008. [Google Scholar]
- Martin, H. Heat and mass transfer between impinging gas jets and solid surfaces. Adv. Heat Transf. 1977, 13, 1–60. [Google Scholar]
- Katti, V.; Prabhu, S.V. Experimental study and theoretical analysis of local heat transfer distribution between smooth flat surface and impinging air jet from a circular straight pipe nozzle. Int. J. Heat Mass Transf. 2008, 51, 4480–4495. [Google Scholar] [CrossRef]
- Zuckerman, N.; Lior, N. Jet impingement heat transfer: Physics, correlations, and numerical modeling. Adv. Heat Transf. 2006, 39, 565–631. [Google Scholar]
- Gau, C.; Lee, I.C. Flow and impingement cooling heat transfer along triangular rib-roughened walls. Int. J. Heat Mass Transf. 2000, 35, 3009–3020. [Google Scholar] [CrossRef]

















| No. | Cell Size | |
|---|---|---|
| Mesh 1 | 400,000 | 0.99 |
| Mesh 2 | 986,000 | 0.64 |
| Mesh 3 | 1.789.00 | 0.5 |
| Variable | ||||
|---|---|---|---|---|
| Rib Location (R) | 1D | 1.5D | 2D | 3D |
| δ (mm) | 0.135 | 0.22 | 0.56 | 0.73 |
| Variable | ||||
|---|---|---|---|---|
| Rib Location (R), (mm) | 1D | 1.5D | 2D | 3D |
| Calculated velocity boundary layer thickness (δ), (mm) | 0.135 | 0.22 | 0.56 | 0.73 |
| The optimum rib height (e), (mm) | 0.25 | 0.25 | 0.5 | 0.75 |
| Maximum heat transfer enhancement, (%) | 3.5% | 6.0% | 15.6% | 11.5% |
© 2018 by the authors. Licensee MDPI, Basel, Switzerland. This article is an open access article distributed under the terms and conditions of the Creative Commons Attribution (CC BY) license (http://creativecommons.org/licenses/by/4.0/).
Share and Cite
Alenezi, A.H.; Almutairi, A.; Alhajeri, H.M.; Addali, A.; Gamil, A.A.A. Flow Structure and Heat Transfer of Jet Impingement on a Rib-Roughened Flat Plate. Energies 2018, 11, 1550. https://doi.org/10.3390/en11061550
Alenezi AH, Almutairi A, Alhajeri HM, Addali A, Gamil AAA. Flow Structure and Heat Transfer of Jet Impingement on a Rib-Roughened Flat Plate. Energies. 2018; 11(6):1550. https://doi.org/10.3390/en11061550
Chicago/Turabian StyleAlenezi, Abdulrahman H., Abdulrahman Almutairi, Hamad M. Alhajeri, Abdulmajid Addali, and Abdelaziz A. A. Gamil. 2018. "Flow Structure and Heat Transfer of Jet Impingement on a Rib-Roughened Flat Plate" Energies 11, no. 6: 1550. https://doi.org/10.3390/en11061550
APA StyleAlenezi, A. H., Almutairi, A., Alhajeri, H. M., Addali, A., & Gamil, A. A. A. (2018). Flow Structure and Heat Transfer of Jet Impingement on a Rib-Roughened Flat Plate. Energies, 11(6), 1550. https://doi.org/10.3390/en11061550

