Strong Tracking of a H-Infinity Filter in Lithium-Ion Battery State of Charge Estimation
Abstract
1. Introduction
1.1. Definition of State of Charge
1.2. Review of SOC Estimation Approaches
1.3. Contribution of This Paper
1.4. Organization of This Paper
2. Battery Model and Parameter Identification
2.1. Equivalent Circuit Model of Lithium-Ion Batteries
2.2. Model Parameter Identification
2.3. State–Space Equation
3. Strong Tracking H-Infinity Filter Algorithm for SOC Estimation
3.1. SOC Estimation Based on H-Infinity Filters
- Threshold θ: To improve the accuracy of the estimator, 1/θ should be as small as possible. However, if the boundary conditions are extremely high, the filter error tends to increase or diverge. In consideration of the existence of battery modeling error, the threshold theta cannot be too large to avoid divergence. Therefore, the value of theta can set to 1, 10−2, 10−3, 10−4 and 10−5 respectively, and the simulation results indicate that the estimation effect is optimal when theta is 10−2. So, 1/θ is set to 100 in this paper.
- Weighting matrices: Normally, the initial estimation error and measured noise statistics cannot be predetermined in practical applications; thus, weighting matrices cannot be preset given such information. For simplicity, Sk, Wk, and Vk were set as the identity matrices, and their dimensions were determined using Equation (16). P0 was determined by the initial error.
3.2. Strong Tracking H-Infinity Filter Estimation
4. Experimental Results and Discussion
4.1. Workbench
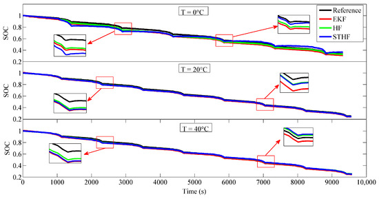
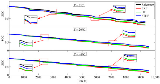
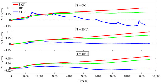
4.2. Estimation Results with White Gaussian Noises
4.3. Robustness against Biased Measured Noises
4.4. Robustness against Initial Error
4.5. Estimation Results of Additional Tests
4.6. Computational Cost Comparison
5. Conclusions
Author Contributions
Funding
Conflicts of Interest
References
- Tian, Y.; Li, D.; Tian, J.; Xia, B. State of charge estimation of lithium-ion batteries using an optimal adaptive gain nonlinear observer. Electrochim. Acta 2017, 225, 225–234. [Google Scholar] [CrossRef]
- Zhang, Z.-L.; Cheng, X.; Lu, Z.-Y.; Gu, D.-J. SOC Estimation of Lithium-Ion Batteries With AEKF and Wavelet Transform Matrix. IEEE Trans. Power Electron. 2017, 32, 7626–7634. [Google Scholar] [CrossRef]
- Lu, L.; Han, X.; Li, J.; Hua, J.; Ouyang, M. A review on the key issues for lithium-ion battery management in electric vehicles. J. Power Sources 2013, 226, 272–288. [Google Scholar] [CrossRef]
- Yang, N.; Zhang, X.; Li, G. State of charge estimation for pulse discharge of a LiFePO4 battery by a revised Ah counting. Electrochim. Acta 2015, 151, 63–71. [Google Scholar] [CrossRef]
- Xia, B.; Sun, Z.; Zhang, R.; Lao, Z. A Cubature Particle Filter Algorithm to Estimate the State of the Charge of Lithium-Ion Batteries Based on a Second-Order Equivalent Circuit Model. Energies 2017, 10, 457. [Google Scholar] [CrossRef]
- Ng, K.S.; Moo, C.-S.; Chen, Y.-P.; Hsieh, Y.-C. Enhanced coulomb counting method for estimating state-of-charge and state-of-health of lithium-ion batteries. Appl. Energy 2009, 86, 1506–1511. [Google Scholar] [CrossRef]
- Ng, K.S.; Moo, C.S.; Chen, Y.P.; Hsieh, Y.C. State-of-charge estimation for lead-acid batteries based on dynamic open-circuit voltage. In Proceedings of the IEEE International Power and Energy Conference, Johor Bahru, Malaysia, 1–3 December 2008; pp. 972–976. [Google Scholar]
- Zou, Z.; Xu, J.; Mi, C.; Cao, B.; Chen, Z. Evaluation of Model Based State of Charge Estimation Methods for Lithium-Ion Batteries. Energies 2014, 7, 5065–5082. [Google Scholar] [CrossRef]
- Li, Z.; Huang, J.; Liaw, B.Y.; Zhang, J. On state-of-charge determination for lithium-ion batteries. J. Power Sources 2017, 348, 281–301. [Google Scholar] [CrossRef]
- Waag, W.; Fleischer, C.; Sauer, D.U. Critical review of the methods for monitoring of lithium-ion batteries in electric and hybrid vehicles. J. Power Sources 2014, 258, 321–339. [Google Scholar] [CrossRef]
- Huang, S.-C.; Tseng, K.-H.; Liang, J.-W.; Chang, C.-L.; Pecht, M. An Online SOC and SOH Estimation Model for Lithium-Ion Batteries. Energies 2017, 10, 512. [Google Scholar] [CrossRef]
- He, W.; Williard, N.; Chen, C.; Pecht, M. State of charge estimation for Li-ion batteries using neural network modeling and unscented Kalman filter-based error cancellation. Int. J. Electr. PowerEnergy Syst. 2014, 62, 783–791. [Google Scholar] [CrossRef]
- Song, C.; Shao, Y.; Song, S.; Chang, C.; Zhou, F.; Peng, S.; Xiao, F. Energy Management of Parallel-Connected Cells in Electric Vehicles Based on Fuzzy Logic Control. Energies 2017, 10, 404. [Google Scholar] [CrossRef]
- Xing, Y.; He, W.; Pecht, M.; Tsui, K.L. State of charge estimation of lithium-ion batteries using the open-circuit voltage at various ambient temperatures. Appl. Energy 2014, 113, 106–115. [Google Scholar] [CrossRef]
- Lin, C.; Tang, A.; Xing, J. Evaluation of electrochemical models based battery state-of-charge estimation approaches for electric vehicles. Appl. Energy 2017, 207, 394–404. [Google Scholar] [CrossRef]
- Pérez, G.; Garmendia, M.; Reynaud, J.F.; Crego, J.; Viscarret, U. Enhanced closed loop State of Charge estimator for lithium-ion batteries based on Extended Kalman Filter. Appl. Energy 2015, 155, 834–845. [Google Scholar] [CrossRef]
- Xia, B.; Wang, H.; Wang, M.; Sun, W.; Xu, Z.; Lai, Y. A New Method for State of Charge Estimation of Lithium-Ion Battery Based on Strong Tracking Cubature Kalman Filter. Energies 2015, 8, 13458–13472. [Google Scholar] [CrossRef]
- Tian, Y.; Xia, B.; Sun, W.; Xu, Z.; Zheng, W. A modified model based state of charge estimation of power lithium-ion batteries using unscented Kalman filter. J. Power Sources 2014, 270, 619–626. [Google Scholar] [CrossRef]
- Xia, B.; Sun, Z.; Zhang, R.; Cui, D.; Lao, Z.; Wang, W.; Sun, W.; Lai, Y.; Wang, M. A Comparative Study of Three Improved Algorithms Based on Particle Filter Algorithms in SOC Estimation of Lithium Ion Batteries. Energies 2017, 10, 1149. [Google Scholar] [CrossRef]
- Zhong, Q.; Zhong, F.; Cheng, J.; Li, H.; Zhong, S. State of charge estimation of lithium-ion batteries using fractional order sliding mode observer. ISA Trans. 2017, 66, 448–459. [Google Scholar] [CrossRef] [PubMed]
- Xia, B.; Zheng, W.; Zhang, R.; Lao, Z.; Sun, Z. A Novel Observer for Lithium-Ion Battery State of Charge Estimation in Electric Vehicles Based on a Second-Order Equivalent Circuit Model. Energies 2017, 10, 1150. [Google Scholar] [CrossRef]
- Yan, J.; Xu, G.; Xu, Y.; Xie, B. Battery state-of-charge estimation based on H∞ filter for hybrid electric vehicle. In Proceedings of the International Conference on Control, Automation, Robotics and Vision, Hanoi, Vietnam, 17–20 December 2008; pp. 464–469. [Google Scholar]
- Zhang, F.; Liu, G.; Fang, L.; Wang, H. Estimation of Battery State of Charge With H∞ Observer: Applied to a Robot for Inspecting Power Transmission Lines. IEEE Trans. Ind. Electron. 2012, 59, 1086–1095. [Google Scholar] [CrossRef]
- Chen, Y.; Huang, D.; Feng, D.; Wei, K. An H∞ filter based approach for battery SOC estimation with performance analysis. In Proceedings of the IEEE International Conference on Mechatronics and Automation, Beijing, China, 2–5 August 2015; pp. 1613–1618. [Google Scholar]
- Lin, C.; Mu, H.; Xiong, R.; Shen, W. A novel multi-model probability battery state of charge estimation approach for electric vehicles using H-infinity algorithm. Appl. Energy 2016, 166, 76–83. [Google Scholar] [CrossRef]
- Zhang, Y.; Xiong, R.; He, H.; Shen, W. Lithium-Ion Battery Pack State of Charge and State of Energy Estimation Algorithms Using a Hardware-in-the-Loop Validation. IEEE Trans. Power Electron. 2017, 32, 4421–4431. [Google Scholar] [CrossRef]
- Chen, C.; Xiong, R.; Shen, W. A Lithium-Ion Battery-in-the-Loop Approach to Test and Validate Multiscale Dual H Infinity Filters for State-of-Charge and Capacity Estimation. IEEE Trans. Power Electron. 2018, 33, 332–342. [Google Scholar] [CrossRef]
- Alfi, A.; Haddad Zarif, M.; Charkhgard, M. Hybrid state of charge estimation for lithium-ion batteries: Design and implementation. IET Power Electron. 2014, 7, 2758–2764. [Google Scholar] [CrossRef]
- Yu, Q.; Xiong, R.; Lin, C.; Shen, W.; Deng, J. Lithium-Ion Battery Parameters and State-of-Charge Joint Estimation Based on H-Infinity and Unscented Kalman Filters. IEEE Trans. Veh. Technol. 2017, 66, 8693–8701. [Google Scholar] [CrossRef]
- Zhu, Q.; Li, L.; Hu, X.; Xiong, N.; Hu, G.-D. H∞-Based Nonlinear Observer Design for State of Charge Estimation of Lithium-Ion Battery With Polynomial Parameters. IEEE Trans. Veh. Technol. 2017, 66, 10853–10865. [Google Scholar] [CrossRef]
- Liu, C.-Z.; Zhu, Q.; Li, L.; Liu, W.-Q.; Wang, L.-Y.; Xiong, N.; Wang, X.-Y. A State of Charge Estimation Method Based on H∞ Observer for Switched Systems of Lithium-Ion Nickel–Manganese–Cobalt Batteries. IEEE Trans. Ind. Electron. 2017, 64, 8128–8137. [Google Scholar] [CrossRef]
- Wang, C.; He, H.; Zhang, Y.; Mu, H. A comparative study on the applicability of ultracapacitor models for electric vehicles under different temperatures. Appl. Energy 2017, 196, 268–278. [Google Scholar] [CrossRef]
- Samad, N.A.; Wang, B.; Siegel, J.B.; Stefanopoulou, A.G. Parameterization of Battery Electro-Thermal Models Coupled with Finite Element Flow Models for Cooling. J. Dyn. Syst. Meas. Control 2017, 139, 071003. [Google Scholar] [CrossRef]
- Mathew, M.; Kong, Q.H.; McGrory, J.; Fowler, M. Simulation of lithium ion battery replacement in a battery pack for application in electric vehicles. J. Power Sources 2017, 349, 94–104. [Google Scholar] [CrossRef]
- Zhang, X.; Lu, J.; Yuan, S.; Yang, J.; Zhou, X. A novel method for identification of lithium-ion battery equivalent circuit model parameters considering electrochemical properties. J. Power Sources 2017, 345, 21–29. [Google Scholar] [CrossRef]
- Burgos, C.; Sáez, D.; Orchard, M.E.; Cárdenas, R. Fuzzy modelling for the state-of-charge estimation of lead-acid batteries. J. Power Sources 2015, 274, 355–366. [Google Scholar] [CrossRef]
- Shen, X.; Deng, L. Game theory approach to discrete H ∞ filter design. IEEE Trans. Signal Proc. 1997, 45, 1092–1095. [Google Scholar] [CrossRef]
- Dan, S. Optimal State Estimation: Kalman, H∞, and Nonlinear Approaches; Wiley-Interscience: Hoboken, NJ, USA, 2006. [Google Scholar]
- Zhou, D.; Xi, Y.; Zhang, Z. A suboptimal multiple fading extended Kalman Filter. Acta Autom. Sin. 1991, 17, 689–695. [Google Scholar]
- He, X.; Wang, Z.; Wang, X.; Zhou, D.H. Networked Strong Tracking Filtering with Multiple Packet Dropouts: Algorithms and Applications. IEEE Trans. Ind. Electron. 2014, 61, 1454–1463. [Google Scholar] [CrossRef]
- Bai, M.; Zhou, D.H.; Schwarz, H. Adaptive augmented state feedback control for an experimental planar two-link flexible manipulator. IEEE Trans. Robot. Autom. 1998, 14, 940–950. [Google Scholar] [CrossRef]
- Hu, C.; Youn, B.D.; Chung, J. A multiscale framework with extended Kalman filter for lithium-ion battery SOC and capacity estimation. Appl. Energy 2012, 92, 694–704. [Google Scholar] [CrossRef]
- Xiong, R.; Sun, F.; Chen, Z.; He, H. A data-driven multi-scale extended Kalman filtering based parameter and state estimation approach of lithium-ion olymer battery in electric vehicles. Appl. Energy 2014, 113, 463–476. [Google Scholar] [CrossRef]
- Chiang, C.-J.; Yang, J.-L.; Cheng, W.-C. Temperature and state-of-charge estimation in ultracapacitors based on extended Kalman filter. J. Power Sources 2013, 234, 234–243. [Google Scholar] [CrossRef]
- Lee, J.; Nam, O.; Cho, B.H. Li-ion battery SOC estimation method based on the reduced order extended Kalman filtering. J. Power Sources 2007, 174, 9–15. [Google Scholar] [CrossRef]


















| Typical capacity | 2150 mAh |
| Nominal voltage | 3.6 V |
| Charging cut-off voltage | 4.2 ± 0.05 V |
| Discharge cut-off voltage | 2.75 V |
| Max. charge current | 2150 mA |
| Max. discharge current | 10 A |
| T (°C) | R0 (Ω) | R1 (Ω) | R2 (Ω) | C1 (F) | C2 (F) |
|---|---|---|---|---|---|
| 0 | 0.0763 | 0.0147 | 0.0060 | 4508.0 | 12,150 |
| 20 | 0.0395 | 0.0107 | 0.0031 | 4721.2 | 17,288 |
| 40 | 0.0292 | 0.0064 | 0.0013 | 3468.2 | 26,659 |
| Input | Current uk, terminal voltage yk at each time, initial SOC x0 L = [1 0 0] Weighting matrices: Sk, P0, Wk, Vk k = 0 |
| Estimation process | Step 1: Determine Step 2: Linearization of Ck Step 3: Find gain matrix Kk Step 4: Calculate estimation of yk Step 5: State estimation at time k + 1 Step 6: Update covariance matrix Step 7: Output SOC estimation at time k + 1 Step 8: Update time k = k + 1 |
| Output |
| Input | Current uk, terminal voltage yk at each time, initial SOC x0 L = [1 0 0] Current noise covariance Qk and voltage noise covariance Rk Weighting matrices: Sk, P0, Wk, Vk k = 0 |
| Estimation process | Step 1: Determination of Step 2: Linearization of Ck Step 3: Prior estimation Step 4: Calculation of the suboptimal fading factor λ by Equations (25)–(30) Step 5: Updating of the estimation error covariance matrix Pk by STF Step 6: Finding the gain matrix Kk Step 7: Posteriori estimation Step 6: Update of the estimation error covariance matrix by HF Step 7: Output of SOC estimation at time k + 1 Step 8: Evaluation of estimation timesIf no sampling data are given, estimation is ended; else, go to Step 1. |
| Output |
| Parameters | Values |
|---|---|
| P0 | [0.001, 0, 0; 0, 0.001, 0; 0, 0, 0.001] |
| Q | [0.001, 0, 0; 0, 0.001, 0; 0, 0, 0.001] |
| R | 0.001 |
| Temperature | 0 °C | 20 °C | 40 °C | ||||||
|---|---|---|---|---|---|---|---|---|---|
| Method | STHF | HF | EKF | STHF | HF | EKF | STHF | HF | EKF |
| MAE | 0.027 | 0.02 | 0.031 | 0.011 | 0.008 | 0.013 | 0.008 | 0.006 | 0.013 |
| Maximal error | 0.072 | 0.034 | 0.040 | 0.026 | 0.015 | 0.020 | 0.024 | 0.019 | 0.024 |
| Test | DST | UDDS | FUDS |
|---|---|---|---|
| MAE | 0.008 | 0.006 | 0.002 |
| Maximal error | 0.012 | 0.012 | 0.005 |
| Test | NEDC | DST | UDDS | FUDS |
|---|---|---|---|---|
| STHF | 0.556 | 0.175 | 0.500 | 0.249 |
| HF | 0.523 | 0.158 | 0.428 | 0.226 |
| EKF | 0.481 | 0.145 | 0.383 | 0.207 |
© 2018 by the authors. Licensee MDPI, Basel, Switzerland. This article is an open access article distributed under the terms and conditions of the Creative Commons Attribution (CC BY) license (http://creativecommons.org/licenses/by/4.0/).
Share and Cite
Xia, B.; Zhang, Z.; Lao, Z.; Wang, W.; Sun, W.; Lai, Y.; Wang, M. Strong Tracking of a H-Infinity Filter in Lithium-Ion Battery State of Charge Estimation. Energies 2018, 11, 1481. https://doi.org/10.3390/en11061481
Xia B, Zhang Z, Lao Z, Wang W, Sun W, Lai Y, Wang M. Strong Tracking of a H-Infinity Filter in Lithium-Ion Battery State of Charge Estimation. Energies. 2018; 11(6):1481. https://doi.org/10.3390/en11061481
Chicago/Turabian StyleXia, Bizhong, Zheng Zhang, Zizhou Lao, Wei Wang, Wei Sun, Yongzhi Lai, and Mingwang Wang. 2018. "Strong Tracking of a H-Infinity Filter in Lithium-Ion Battery State of Charge Estimation" Energies 11, no. 6: 1481. https://doi.org/10.3390/en11061481
APA StyleXia, B., Zhang, Z., Lao, Z., Wang, W., Sun, W., Lai, Y., & Wang, M. (2018). Strong Tracking of a H-Infinity Filter in Lithium-Ion Battery State of Charge Estimation. Energies, 11(6), 1481. https://doi.org/10.3390/en11061481
