Economic Evaluation of Actively Consuming Wind Power for an Integrated Energy System Based on Game Theory
Abstract
1. Introduction
2. The Operating Mechanism of Wind Power Heating Using Energy Storage System to Coordinate Regenerative Electric Boilers
2.1. The Operating Mechanism of Wind Power Heating Based on Regenerative Electric Boilers
2.2. Wind Power Heating Mechanism Using Energy Storage System to Coordinate Regenerative Electric Boilers to Consume the Curtailed Wind
2.3. Case Study
2.3.1. The Operation of the Regenerative Electric Boilers at Rated Power Mode
2.3.2. The Operation Mode of the Regenerative Electric Boilers Tracking the Curtailed Wind
2.3.3. The Operation Mode of Energy Storage Systems to Coordinate the Regenerative Electric Boilers to Track the Curtailed Wind
3. Economic Evaluation of the Integrated Energy System for the Curtailed Wind Based on Game Theory
3.1. Analysis of Game Elements for the Combined System
- Bb: {wind power-regenerative electric boilers}
- Be: {wind power-energy storage system}
- ①
- Regenerative electric boilers independently consume the curtailed power of a wind farm (Bb);
- ②
- Energy storage system independently consume the curtailed power of a wind farm (Be); and
- ③
- Regenerative electric boilers and energy storage system jointly consume the curtailed power of a wind farm (Bb ∪ Be).
- (a)
- The super-additive works, that is:
- (b)
- Among the three models of ①, ②, and ③, model ③ achieves the highest efficiency, that is, the cooperation between the {wind power-regenerative electric boilers} and the {wind power-energy storage system} reaches the highest efficiency.
3.2. Modeling Player Revenues
3.3. Costs of the Player
3.4. Balance Strategy
3.5. Constraints of the Model
3.6. Solution of the Model
4. Case Study
4.1. Parameter Setting of the Model
4.2. Contrast of Simulation Results
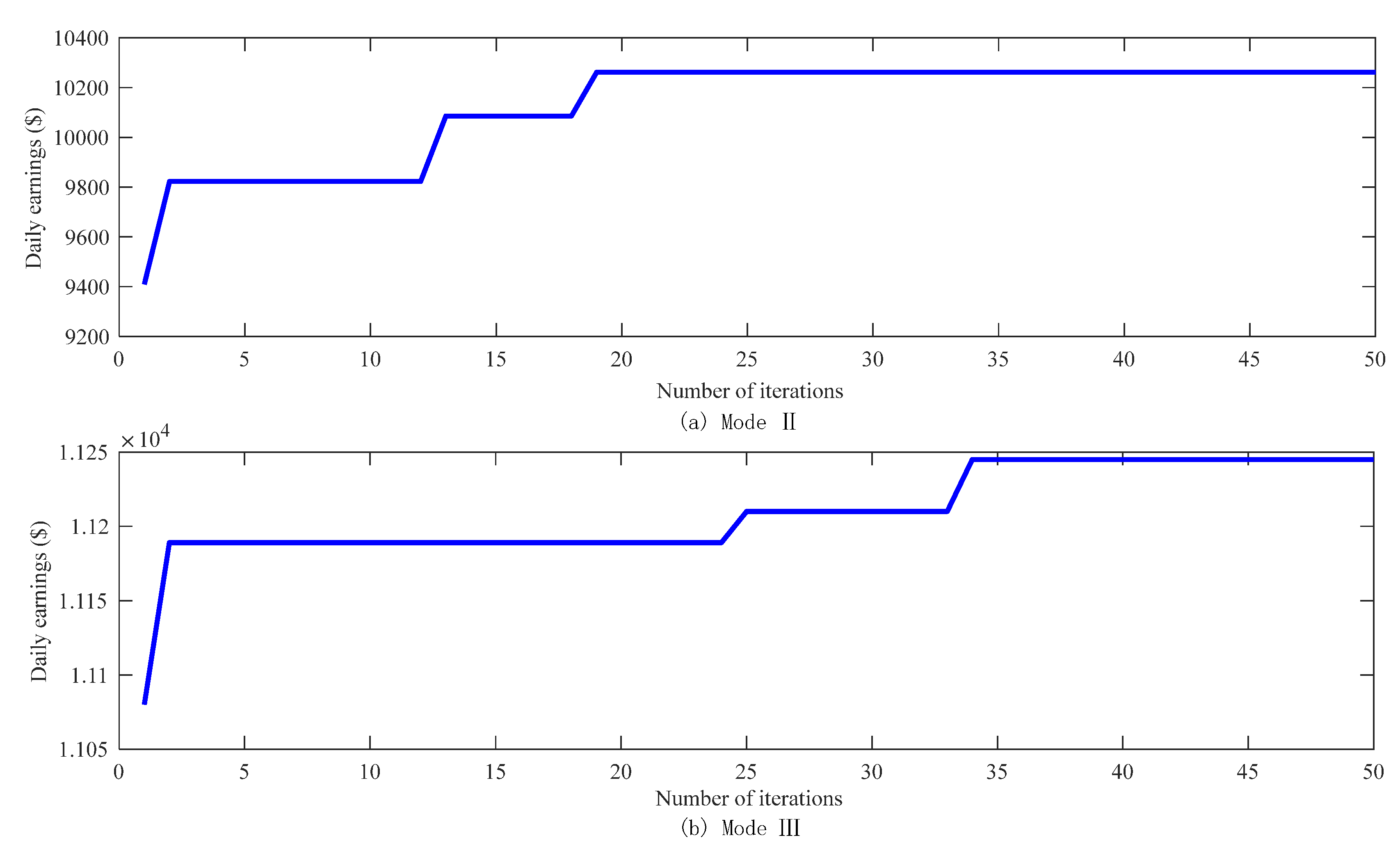
4.3. Comparison Results of Different Optimization Algorithms
5. Conclusions
- ①
- When regenerative electric boilers are used to consume the curtailed wind alone, under the operating condition of the rated power, regenerative electric boilers consume, in total, 448.7820 MWh of curtailed wind within three typical days, accounting for 27.75% of the original amount; under the operating condition of tracking the curtailed wind, regenerative electric boilers consume, in total, 681.74 MWh of curtailed wind within three typical days, accounting for 42.16% of the original amount. When the energy storage system is used to coordinate regenerative electric boilers for tracking the curtailed wind, the combination of the energy storage system and regenerative electric boilers totally consumed 714.64 MWh of curtailed wind within three typical days, accounting for 44.19% of the original amount. Therefore, the addition of energy storage system can increase the proportion of wind power consumption.
- ②
- Due to the large inertia of the thermal system and the adjustment speed being slow, the inertia of the energy storage system is relatively small and the adjustment speed is fast. Before adding the energy storage system, the adjusting numbers of the regenerative electric boilers is 36 times a day; after adding the energy storage system, the adjusting numbers of the regenerative electric boilers is decreased to 32 times a day. Therefore, the addition of the energy storage system can reduce the adjusting numbers of regenerative electric boilers and improve its service life.
- ③
- As an important means of the peak shaving, the energy storage system is of great significance to solve the problem of renewable energy connected to the grid. Due to the high investment and maintenance cost of the energy storage system, the energy storage used to consume the curtailed wind cannot generate the revenue alone. With the decrease of the investment cost of the energy storage system and regenerative electric boilers, as well as the support of national policies, the economic benefits of the integrated energy system to consume the curtailed wind will be greatly enhanced, it has a wider application prospect in renewable energy consumption.
Author Contributions
Funding
Acknowledgments
Conflicts of Interest
Nomenclature
| The curtailed wind power at moment t | |
| The forecasting wind power at moment t | |
| The actual wind power at moment t | |
| The operating power of the regenerative electric boilers at moment t | |
| The lower limits of the operating power of the regenerative electric boilers | |
| The upper limits of the operating power of the regenerative electric boilers | |
| The daily electricity consumption of the regenerative electric boilers | |
| The amount of the curtailed wind power absorbed by the regenerative electric boilers at moment t | |
| The climbing rate limit of the regenerative electric boilers | |
| The consumption of the curtailed wind power by the regenerative electric boilers a day | |
| The energy storage system charging and discharging power at moment t | |
| The maximum charging and discharging power of energy storage system | |
| The state of charge of energy storage system at moment t | |
| The lower limits of the state of charge of energy storage system | |
| The upper limits of the state of charge of energy storage system | |
| The charging efficiency of the energy storage system | |
| The discharging efficiency of the energy storage system | |
| The capacity of energy storage system | |
| The remaining capacity of energy storage system | |
| The required electricity responding to the daily heating of the residents | |
| The adjusting numbers of the electric rods in one day | |
| The maximum adjusting number of the electric rods in one day | |
| The number of charging and discharging a day | |
| The maximum number of charging and discharging a day | |
| The net income of the combined heating system | |
| The revenue of the combined heating system | |
| The cost of the combined heating system | |
| The revenue of the wind farm connected to the grid | |
| The income from the system to the heating supply station | |
| The income which the energy storage system sells the electricity to the grid in the daytime | |
| Coal-saving benefits obtained by consuming the curtailed wind power | |
| The electricity of the wind power connected to the grid | |
| The sold heating from the system to the heating supply station | |
| The electricity price of the wind farm connected to the grid | |
| The price of the sold heating from the system to the heating supply station | |
| The single electricity price before using the time of use electricity price single electricity price | |
| The time of use electricity prices in peak period | |
| The time of use electricity prices in flat period | |
| The time of use electricity prices in valley periods | |
| The electricity prices floating ranges in peak periods up and down | |
| The electricity prices floating ranges in flat periods up and down | |
| The electricity prices floating ranges in valley periods up and down | |
| The time in peak periods | |
| The time in flat and periods | |
| The time in valley periods | |
| The energy conversion efficiency of electric boilers | |
| The fuel utilization of thermoelectric units | |
| The ratio of thermoelectricity at the time of abandoning the wind | |
| The savings in coal consumption | |
| The transaction price of coal | |
| The income of the emission reduction | |
| The quality of CO2 emitted per ton of coal combustion (ton) | |
| The quality of SO2 emitted per ton of coal combustion (ton) | |
| The quality of nox emitted per ton of coal combustion (ton) | |
| The quality of CO emitted per ton of coal combustion (ton) | |
| The corresponding emission price for CO2 | |
| The corresponding emission price for SO2 | |
| The corresponding emission price for nox | |
| The corresponding emission price for CO | |
| The investment cost of regenerative electric boilers | |
| The operation and maintenance cost of regenerative electric boilers | |
| The purchase electricity cost of regenerative electric boilers from the grid | |
| The investment and operation and maintenance cost of the energy storage system | |
| The daily electricity cost of the energy storage system | |
| The primary investment cost of the regenerative electric boilers | |
| The heating days per year | |
| The average service life of the regenerative electric boilers | |
| The penalty cost the power adjusting of regenerative electric boilers once | |
| The power adjusting frequency of the regenerative electric boilers | |
| The consumption electricity of the regenerative electric boilers in the peak periods | |
| The consumption electricity of the regenerative electric boilers in the flat periods | |
| The consumption electricity of the regenerative electric boilers in the valley periods | |
| The unit power cost of the energy storage system | |
| The unit capacity cost of the energy storage system | |
| The maximum charging and discharging power of the energy storage system | |
| The rated capacity of the energy storage system | |
| The service life of the energy storage system | |
| The capacity of the regenerative tanks | |
| The required minimum heating load unit at the moment t | |
| The conversion efficiency of the regenerative electric boiler | |
| The lower limits of the capacity of the regenerative tanks | |
| The upper limits of the capacity of the regenerative tanks | |
| The lowest heat load factor at the moment t | |
| The basic minimum unit heat load requirements |
References
- GWEC. 2016 Global Wind Power Installed Statistics. Wind Energy 2017, 2, 52–57. [Google Scholar]
- Rong, S.; Li, Z.; Li, W. Investigation of the Promotion of Wind Power Consumption Using the Thermal-Electric Decoupling Techniques. Energies 2015, 8, 8613–8629. [Google Scholar] [CrossRef]
- Zhang, Y. Statistics of Curtailed Winds in China from 2011 to 2015. Wind Energy 2016, 2, 34–35. [Google Scholar]
- Liu, B.; He, Z.; Jin, H. Wind Power Status and Development Trends. J. Northeast Dianli Univ. 2016, 36, 7–13. [Google Scholar] [CrossRef]
- Xin, R. Analysis and Solution Proposals of Domestic Wind Power Energy Curtailment. Manag. Technol. SME 2017, 8, 149–150. [Google Scholar]
- Zhu, L.; Chen, N.; Han, H. Key problems and solutions of wind power accommodation. Autom. Electr. Power Syst. 2011, 35, 29–34. [Google Scholar]
- Chen, H.; Zhang, R.; Bai, L.; Jiang, T.; Li, G.; Jia, H.; Li, X. Stochastic Scheduling of Integrated Energy Systems Considering Wind Power and Multienergy Loads Uncertainties. J. Energy Eng. 2017, 143, 1–9. [Google Scholar] [CrossRef]
- Jing, Z.X.; Jiang, X.S.; Wu, Q.H.; Tang, W.H.; Hua, B. Modelling and optimal operation of a small-scale integrated energy based district heating and cooling system. Energy 2014, 73, 399–415. [Google Scholar] [CrossRef]
- Rong, S.; Li, W.; Li, Z.; Sun, Y.; Zheng, T. Optimal Allocation of Thermal-Electric Decoupling Systems Based on the National Economy by an Improved Conjugate Gradient Method. Energies 2016, 9, 17. [Google Scholar] [CrossRef]
- Hozouri, M.A.; Abbaspour, A.; Fotuhi-Firuzabad, M.; Moeini-Aghtaie, M. On the Use of Pumped Storage for Wind Energy Maximization in Transmission-Constrained Power Systems. IEEE Trans. Power Syst. 2015, 30, 1017–1025. [Google Scholar] [CrossRef]
- Krajačić, G.; Lončar, D.; Duić, N.; Zeljko, M.; Arántegui, R.L.; Loisel, R.; Raguzin, I. Analysis of financial mec hanisms in support to new pumped hydropower storage projects in Croatia. Appl. Energy 2013, 101, 161–171. [Google Scholar] [CrossRef]
- Zhang, S.; Andrews-Speed, P.; Perera, P. The evolving policy regime for pumped storage hydroelectricity in China: A key support for low-carbon energy. Appl. Energy 2015, 150, 15–24. [Google Scholar] [CrossRef]
- Ding, M.; Liu, X.; Xie, J. Research on Heat and Electricity Coordinated Dispatch Model of Multi-area for Improving Wind Power Accomodation Ability. Proc. CSEE 2017, 37, 4079–4088. [Google Scholar]
- Li, J.; Hu, L. Research on Accommodation Scheme of Curtailed Wind Power Based on Peak-Shaving Electric Boiler in Secondary Heat Supply Network. Power Syst. Technol. 2015, 39, 3286–3291. [Google Scholar]
- Nielsen, M.G.; Morales, J.M.; Zugno, M.; Pedersen, T.E.; Madsen, H. Economic valuation of heat pumps and electric boilers in the Danish energy system. Appl. Energy 2016, 167, 189–200. [Google Scholar] [CrossRef]
- Xu, M.; Jiang, D. Energy Efficiency and Economic Analysis of Wind Heating System. Renew. Energy 2015, 37, 42–47. [Google Scholar]
- Liu, D.; Zhang, G.; Huang, B.; Liu, W. Optimum Electric Boiler Capacity Configuration in a Regional Power Grid for a Wind Power Accommodation Scenario. Energies 2016, 9, 144. [Google Scholar] [CrossRef]
- Huang, J.; Li, Z.; Wu, Q.H. Coordinated dispatch of electric power and district heating networks: A decentralized solution using optimality condition decomposition. Appl. Energy 2017, 206, 1508–1522. [Google Scholar] [CrossRef]
- Teleke, S.; Baran, M.E.; Bhattacharya, S.; Huang, A.Q. Optimal Control of Battery Energy Storage for Wind Farm Dispatching. IEEE Trans. Energy Convers. 2010, 25, 787–794. [Google Scholar] [CrossRef]
- Wang, H.; Zhuang, G.; Li, G.; Li, D. Optimized Control of Wind Power Consumption Based on Regenerative Electric Bolier and Energy Storage System. Distrib. Energy 2016, 1, 1–7. [Google Scholar]
- Che, G. Technology of heat-storage electric heating boiler and its application. East China Electr. Power 2004, 32, 27–29. [Google Scholar]
- Quan, L.; Wang, W.; Han, S.; Yuan, S.; Zhang, J.; Li, W. A New Evaluation Method for Wind Power Curtailment Based on Analysis of System Regulation Capability. Power Syst. Technol. 2013, 37, 1887–1894. [Google Scholar]
- Han, X.; Ji, T.; Zhao, Z.; Zhang, H. Economic evaluation of batteries planning in energy storage power stations for load shifting. Renew. Energy 2015, 78, 643–647. [Google Scholar] [CrossRef]
- Su, H.I.; Gamal, A.E. Modeling and Analysis of the Role of Energy Storage for Renewable Integration: Power Balancing. IEEE Trans. Power Syst. 2013, 28, 4109–4117. [Google Scholar] [CrossRef]
- Lu, Q.; Chen, L.; Mei, S. Typical Applications and Prospects of Game Theory in Power System. Proce. CSEE 2014, 34, 5009–5017. [Google Scholar]
- Mei, S.; Wang, Y.; Liu, F. A Game Theory Based Planning Model and Analysis for Hybrid Power System with Wind Generators-Photovoltaic Panels-Storage Batteries. Autom. Electr. Power Syst. 2011, 35, 13–19. [Google Scholar]
- Li, Y.; Wang, Z.; Lu, Y. The Implementation of Peak and Valley Time Price for Electricity and the Response of Large Industries. Autom. Electr. Power Syst. 2001, 25, 45–48. [Google Scholar]
- Ruan, W.; Wang, B.; Li, Y.; Yang, S. Customer Response Behavior in Time-of-Use Price. Power Syst. Technol. 2012, 36, 86–93. [Google Scholar]
- Lu, Q.; Jiang, H.; Chen, T. Wind Power Accommodation by Combined Heat and Power Plant with Electric Boiler and Its National Economic Evaluation. Autom. Electr. Power Syst. 2014, 38, 6–12. [Google Scholar]
- Lu, Q.; Liu, Y.; Liu, L. Research on Coal-saving Performance and Optimal Configuration of Wind Power Heating Project Considering Wind Power Curtailment. Proc. CSEE 2017, 37, 4699–4711. [Google Scholar]
- Coello, C.A.C.; Pulido, G.T.; Lechuga, M.S. Handling multiple objectives with particle swarm optimization. IEEE Trans. Evol. Comput. 2004, 8, 256–279. [Google Scholar] [CrossRef]
- Yang, X.S. Firefly Algorithms for Multimodal Optimization. In International Symposium on Stochastic Algorithms; Springer: Berlin/Heidelberg, Germany, 2009; Volume 5792, pp. 169–178. [Google Scholar]
















| Year | Electricity of the Curtailed Winds (GWh) | The Average Curtailed-Wind Rate (%) | Electricity Loss (Billion $) | Converted to Raw Coal (Million Tons) |
|---|---|---|---|---|
| 2011 | 123,000 | 16.23% | 1.02 | 56.65 |
| 2012 | 208,000 | 17.12% | 1.72 | 94.74 |
| 2013 | 162,000 | 10.74% | 1.35 | 72.94 |
| 2014 | 126,000 | 8.00% | 1.05 | 56.62 |
| 2015 | 339,000 | 15.00% | 2.82 | 152.34 |
| Total | 959,000 | 13.00% | 7.97 | 433.30 |
| Province | The Curtailed Electricity (GWh) | The Rate of the Curtailed Winds (%) |
|---|---|---|
| Inner Mongolia | 91,000 | 18% |
| Gansu | 82,000 | 39% |
| Xinjiang | 71,000 | 32% |
| Jilin | 27,000 | 32% |
| Time | Peak-Valley Period | Electric Price ($) |
|---|---|---|
| Valley period | 0:00–5:00; 22:00–24:00 | 0.0457 |
| Flat period | 05:00–7:30; 11:00–17:00; 21:00–22:00 | 0.0913 |
| Peak period | 7:30–11:30; 17:00–21:00 | 0.1370 |
| Parameters | Value |
|---|---|
| The investment costs of regenerative electric boiler C1 | $1.538 million |
| The average service life of regenerative electric boilers Nb | 20 Years |
| The maximum operating power of regenerative electric boilers | 30 MW |
| The maximum capacity of regenerative tanks | 450 GJ |
| The conversion efficiency of regenerative electric boilers ε | 0.99 |
| The heating days per year | 168 Days |
| The minimum heating load value for the heating area in one day | 670 GJ |
| The price of the sold heat | $4/GJ |
| The electricity price of the wind farm connected to the grid in one day Ce | $0.089/kWh |
| The power and rated capacity of the energy storage system Pe/Ee | 1 MW/0.5 MWh |
| The investment costs of the energy storage system C4 | $0.692 million |
| The service life of the energy storage system Nby | 15 Years |
| Operating Mode | PSO Algorithm | FA Algorithm | ||||
|---|---|---|---|---|---|---|
| Cost ($) | Revenue ($) | Net Profit ($) | Cost ($) | Revenue ($) | Net Profit ($) | |
| Mode I | 412.09 | 82.2 | −329.89 | 412.09 | 122.88 | −289.21 |
| Mode II | 25,346.08 | 35,607.80 | 10,261.72 | 23,088.27 | 33,849.28 | 10,761.01 |
| Mode III | 25,758.16 | 370,003.16 | 11,245.00 | 23,707.26 | 34,664.73 | 10,957.47 |
© 2018 by the authors. Licensee MDPI, Basel, Switzerland. This article is an open access article distributed under the terms and conditions of the Creative Commons Attribution (CC BY) license (http://creativecommons.org/licenses/by/4.0/).
Share and Cite
Han, X.; Wang, F.; Tian, C.; Xue, K.; Zhang, J. Economic Evaluation of Actively Consuming Wind Power for an Integrated Energy System Based on Game Theory. Energies 2018, 11, 1476. https://doi.org/10.3390/en11061476
Han X, Wang F, Tian C, Xue K, Zhang J. Economic Evaluation of Actively Consuming Wind Power for an Integrated Energy System Based on Game Theory. Energies. 2018; 11(6):1476. https://doi.org/10.3390/en11061476
Chicago/Turabian StyleHan, Xiaojuan, Feng Wang, Chunguang Tian, Kai Xue, and Junfeng Zhang. 2018. "Economic Evaluation of Actively Consuming Wind Power for an Integrated Energy System Based on Game Theory" Energies 11, no. 6: 1476. https://doi.org/10.3390/en11061476
APA StyleHan, X., Wang, F., Tian, C., Xue, K., & Zhang, J. (2018). Economic Evaluation of Actively Consuming Wind Power for an Integrated Energy System Based on Game Theory. Energies, 11(6), 1476. https://doi.org/10.3390/en11061476
