Near-Wall Thermal Processes in an Inclined Impinging Jet: Analysis of Heat Transport and Entropy Generation Mechanisms
Abstract
1. Introduction
2. Configuration and Numerical Procedure
2.1. Inclined Jet Impinging on a Heated Solid Surface
2.2. Numerical Procedure
3. Summary of the Previous Study
4. Near-Wall Thermal Characteristics
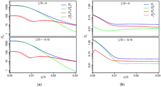
4.1. First and Second Order Thermal Moments
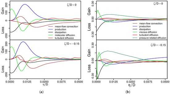
4.2. Turbulent Thermal Processes
4.3. Heat Transport
4.4. Wall Heat Transfer
5. Entropy Generation Mechanisms
6. Concluding Remarks
- I
- Examining near-wall thermal statistics within the -inclined impinging jet configuration, it turned out that the peak heat transfer does not appear directly at the stagnation point as is usually the case in jets impinging normally on a heated surface. Instead, the highest Nusselt numbers, the minimum of thermal boundary layer thickness and largest wall-normal heat transport are slightly shifted towards the compression side of the inclined jet (). Thereby, turbulent intensity is high, while temperature variance exhibits a local minimum at this location.
- II
- Based on the analysis of the budget contributions of different terms in the temperature variance and turbulence kinetic energy equations, it appears that turbulent thermal and fluid flow transport processes around the stagnation point of the inclined impinging jet are considerably different from those found in other wall-bounded flows. Dissipation is relatively small, while molecular and pressure-related diffusion dominate. In the case of turbulent kinetic energy, the production term is prevailing negative.
- III
- It is observed that heat is transported counter to the gradient from low to high temperature regions at the location of maximal heat transfer (). The reason for such a paradoxical behavior is that the dissipation of temperature fluctuations is too small to balance the diffusional sources (see also [77]).
- IV
- Regarding turbulent heat transport, it turned out that fluxes are predominantly isotropic very close to the wall, become highly anisotropic with increasing wall distance and finally return to the isotropic state at the edge of the thermal boundary layer. Furthermore, the heat fluxes behave most anisotropically on the compression side. Both, the counter gradient heat flux and the inherently anisotropic nature of heat fluxes in the thermal boundary layer of the inclined impinging jet suggest that tensorial heat diffusivity models might be appropriate for such kinds of thermo-viscous flows, especially in the context of RANS.
- V
- The ratio of mechanical and thermal time scales deviates considerably from the equilibrium value of in the thermal boundary layer of the inclined impinging jet. In particular around the stagnation point, the time-scale ratio exceeded 1.5, indicating strong non-equilibrium effects in heat and fluid flow transport.
- VI
- Especially the heated wall acts as a strong source of reversibility in the case of impinging cooling arrangements. This holds for both entropy production due to viscous dissipation and heat conduction. Thereby, the entropy production contribution of mean gradients dominates that of the fluctuating gradients. This suggests that the design of the impinged plate (surface roughness, corrugation, chevron angle, etc.) is particularly important for efficient use of energy in such thermal arrangements that may exhibit intensification of turbulence in the vicinity of the wall.
- VII
- Regarding the conceptional engineering design of such thermal devices, this study confirms that the estimation of the turbulent part of the entropy production based on turbulence dissipation rates in non-reacting, non-isothermal fluid flows represents a reliable approximation for second law analysis, likewise in the context of computationally less expensive simulation techniques like RANS and/or LES.
Author Contributions
Acknowledgments
Conflicts of Interest
Appendix A. Solution Verification
Appendix A.1. Test Case

Appendix A.2. Solution Verification Results


References
- Sunden, B.; Xie, G. Gas Turbine Blade Tip Heat Transfer and Cooling: A Literature Survey. Heat Transf. Eng. 2010, 31, 527–544. [Google Scholar] [CrossRef]
- Zuckerman, N.; Lior, N. Impingement Heat Transfer: Correlations, and Numerical Modeling. J. Heat Transf. 2005, 127, 544–552. [Google Scholar] [CrossRef]
- Zuckerman, N.; Lior, N. Jet Impingement Heat Transfer: Physics, Correlations, and Numerical Modeling. Adv. Heat Transf. 2006, 39, 565–631. [Google Scholar] [CrossRef]
- Martin, H. Heat and mass transfer between impinging gas jets and solid surfaces. Adv. Heat Transf. 1997, 13, 1–60. [Google Scholar] [CrossRef]
- Jambunathan, K.; Lai, E.; Moss, M.A.; Button, B.L. A review of heat transfer data for single circular jet impingement. Int. J. Heat Fluid Flow 1992, 13, 106–115. [Google Scholar] [CrossRef]
- Viskanta, R. Heat transfer to impinging isothermal gas and flame jets. Exp. Therm. Fluid Sci. 1993, 6, 106–115. [Google Scholar] [CrossRef]
- Molana, M.; Banooni, S. Investigation of heat transfer processes involved liquid impingement jets: A review. Braz. J. Chem. Eng. 2013, 30, 413–435. [Google Scholar] [CrossRef]
- Weigand, B.; Spring, S. Multiple Jet Impingement—A Review. Heat Transf. Res. 2011, 42, 101–142. [Google Scholar] [CrossRef]
- Dewan, A.; Dutta, R.; Srinivasan, B. Recent Trends in Computation of Turbulent Jet Impingement Heat Transfer. Heat Transf. Eng. 2012, 33, 447–460. [Google Scholar] [CrossRef]
- Baughn, J.W.; Shimizu, S. Heat Transfer Measurements From a Surface With Uniform Heat Flux and an Impinging Jet. J. Heat Transf. 1989, 111, 1096–1098. [Google Scholar] [CrossRef]
- Kim, K.-S. An experimental study on the flow and heat transfer characteristics of an impinging jet. KSME J. 1993, 7, 258–271. [Google Scholar] [CrossRef]
- Hrycak, P. Heat transfer from round impinging jets to a flat plate. Int. J. Heat Mass Transf. 1993, 7, 1857–1865. [Google Scholar] [CrossRef]
- Katti, V.; Prahub, S.V. Experimental study and theoretical analysis of local heat transfer distribution between smooth flat surface and impinging air jet from a circular straight pipe nozzle. Int. J. Heat Mass Transf. 2008, 51, 4480–4495. [Google Scholar] [CrossRef]
- Geers, L.F.G.; Hanjalić, K.; Tummers, M.J. Wall imprint of turbulent structures and heat transfer in multiple impinging jet arrays. J. Fluid Mech. 2006, 546, 255–284. [Google Scholar] [CrossRef]
- Roux, S.; Fénot, M.; Lalizel, G.; Brizzi, L.-E.; Dorignac, E. Evidence of flow vortex signatures on wall fluctuating temperature using unsteady infrared thermography for an acoustically forced impinging jet. Int. J. Heat Mass Transf. 2014, 50, 38–50. [Google Scholar] [CrossRef]
- Gulati, P.; Katti, V.; Prabhu, S.V. Influence of the shape of the nozzle on local heat transfer distribution between smooth flat surface and impinging air jet. Int. J. Therm. Sci. 2008, 48, 602–617. [Google Scholar] [CrossRef]
- Lee, J.; Lee, S.-J. The effect of nozzle configuration on stagnation region heat transfer enhancement of axisymmetric jet impingement. Int. J. Heat Mass Transf. 2000, 43, 3497–3509. [Google Scholar] [CrossRef]
- Brignoni, L.A.; Garimella, S.V. Effects of nozzle-inlet chamfering on pressure drop and heat transfer in confined air jet impingement. Int. J. Heat Mass Transf. 2000, 43, 1133–1139. [Google Scholar] [CrossRef]
- Vinze, R.; Chandel, S.M.; Lomaye, M.D.; Prabhu, S.V. Influence of jet temperature and nozzle shape on the heat transfer distribution between a smooth plate and impinging air jets. Int. J. Therm. Sci. 2016, 99, 136–151. [Google Scholar] [CrossRef]
- Trinh, X.T.; Fénot, M.; Dorignac, E. The effect of nozzle geometry on local convective heat transfer to unconfined impinging air jets. Exp. Therm. Fluid Sci. 2016, 70, 1–16. [Google Scholar] [CrossRef]
- Meena, H.C.; Reodikar, S.A.; Vinze, R.; Prabhu, S.V. Influence of the shape of the orifice on the local heat transfer distribution between smooth flat surface and impinging incompressible air jet. Exp. Therm. Fluid Sci. 2016, 70, 292–306. [Google Scholar] [CrossRef]
- Yan, X.; Saniei, N. Heat transfer from an obliquely impinging circular air jet to a flat plate. Int. J. Heat Fluid Flow 1997, 18, 591–599. [Google Scholar] [CrossRef]
- O’Donovan, T.S.; Murray, D.B. Fluctuating fluid flow and heat transfer of an obliquely impinging air jet. Int. J. Heat Mass Transf. 2008, 51, 6169–6179. [Google Scholar] [CrossRef]
- Choo, K.; Kang, T.Y.; Kim, S.J. The effect of inclination on impinging jets at small nozzle-to-plate spacing. Int. J. Heat Mass Transf. 2012, 18, 3327–3334. [Google Scholar] [CrossRef]
- Akansu, Y.E.; Sarioglu, M.; Kuvvet, K.; Yavuz, T. Flow field and heat transfer characteristics in an oblique slot jet impinging on a flat plate. Int. Commun. Heat Mass Transf. 2008, 35, 873–880. [Google Scholar] [CrossRef]
- Goldstein, R.J.; Franchett, M.E. Heat Transfer From a Flat Surface to an Oblique Impinging Jet. J. Heat Transf. 1988, 110, 84–90. [Google Scholar] [CrossRef]
- Bouchez, J.-P.; Goldstein, R.J. Impingement cooling from a circular jet in a cross flow. Int. J. Heat Mass Transf. 1975, 18, 719–730. [Google Scholar] [CrossRef]
- Roux, S.; Fénot, M.; Lalizel, G.; Brizzi, L.-E.; Dorignac, E. Experimental investigation of the flow and heat transfer of an impinging jet under acoustic excitation. Int. J. Heat Mass Transf. 2011, 54, 3277–3290. [Google Scholar] [CrossRef]
- Ghadi, S.; Esmailpour, K.; Hosseinalipour, S.M.; Mujumdar, A. Experimental study of formation and development of coherent vortical structures in pulsed turbulent impinging jet. Exp. Therm. Fluid Sci. 2016, 74, 382–389. [Google Scholar] [CrossRef]
- Manceau, R.; Perrin, R.; Hadžiabdić, M.; Benhamadouche, S. Investigation of the interaction of a turbulent impinging jet and a heated, rotating disk. Phys. Fluids 2014, 26, 035102. [Google Scholar] [CrossRef]
- Gabour, L.A.; Lienhard, J.H. Wall Roughness Effects on Stagnation-Point Heat Transfer Beneath an Impinging Liquid Jet. J. Heat Transf. 1994, 116, 81–87. [Google Scholar] [CrossRef]
- Ying, Z.; Guiping, L.; Xueqin, B.; Lizhan, B.; Dongsheng, W. Experimental study of curvature effects on jet impingement heat transfer on concave surfaces. Chin. J. Aeronaut. 2017, 30, 586–594. [Google Scholar] [CrossRef]
- Voke, P.R.; Gao, S. Numerical study of heat transfer from an impinging jet. Int. J. Heat Mass Transf. 1998, 41, 671–680. [Google Scholar] [CrossRef]
- Cziesla, T.; Biswas, G.; Chattopadhyay, H.; Mitra, N.K. Large-eddy simulation of flow and heat transfer in an impinging slot jet. Int. J. Heat Fluid Flow 2001, 22, 500–508. [Google Scholar] [CrossRef]
- Beaubert, F.; Viazzo, S. Large eddy simulations of plane turbulent impinging jets at moderate Reynolds numbers. Int. J. Heat Fluid Flow 2003, 24, 512–519. [Google Scholar] [CrossRef]
- Hadžiabdić, M.; Hanjalić, K. Vortical structures and heat transfer in a round impinging jet. J. Fluid Mech. 2008, 596, 221–260. [Google Scholar] [CrossRef]
- Uddin, N.; Neumann, A.O.; Weigand, B. LES simulations of an impinging jet: On the origin of the second peak in the Nusselt number distribution. Int. J. Heat Mass Transf. 2013, 57, 356–368. [Google Scholar] [CrossRef]
- Grenson, P.; Deniau, H. Large-Eddy simulation of an impinging heated jet for a small nozzle-to-plate distance and high Reynolds number. Int. J. Heat Fluid Flow 2017, 68, 348–363. [Google Scholar] [CrossRef]
- Aillaud, P.; Duchaine, F.; Gicquel, L.Y.M.; Didorally, S. Secondary peak in the Nusselt number distribution of impinging jet flows: A phenomenological analysis. Phys. Fluids 2016, 28, 095110. [Google Scholar] [CrossRef]
- Natarajan, T.; Jewkes, J.W.; Lucey, A.D.; Narayanaswamy, R.; Chung, Y.M. Large-eddy simulations of a turbulent jet impinging on a vibrating heated wall. Int. J. Heat Fluid Flow 2017, 65, 277–298. [Google Scholar] [CrossRef]
- Satake, S.; Kunugi, T. Direct numerical simulation of an impinging jet into parallel disks. Int. J. Numer. Method Heat Fluid Flow 1998, 8, 768–780. [Google Scholar] [CrossRef]
- Chung, Y.M.; Luo, K.H. Unsteady Heat Transfer Analysis of an Impinging Jet. J. Heat Transf. 2002, 124, 1039–1048. [Google Scholar] [CrossRef]
- Hattori, H.; Nagano, Y. Direct numerical simulation of turbulent heat transfer in plane impinging jet. Int. J. Heat Fluid Flow 2004, 25, 749–758. [Google Scholar] [CrossRef]
- Tsujimoto, K.; Ishikura, T.; Shakouchi, T.; Ando, T. Direct Numerical Simulation of Active-Controlled Impinging Jets. J. Fluid Sci. Technol. 2009, 4, 279–291. [Google Scholar] [CrossRef]
- Jaramillo, J.E.; Trias, F.X.; Gorobets, A.; Pérez-Segarra, C.D.; Oliva, A. DNS and RANS modelling of a turbulent plane impinging jet. Int. J. Heat Mass Transf. 2012, 55, 789–801. [Google Scholar] [CrossRef]
- Dairay, T.; Fortuné, V.; Lamballais, E.; Brizzi, L.-E. Direct numerical simulation of a turbulent jet impinging on a heated wall. J. Fluid Mech. 2015, 764, 362–394. [Google Scholar] [CrossRef]
- Wilke, R.; Sesterhenn, J. Statistics of fully turbulent impinging jets. J. Fluid Mech. 2017, 825, 795–824. [Google Scholar] [CrossRef]
- Olsson, M.; Fuchs, L. Large eddy simulations of a forced semiconfined circular impinging jet. Phys. Fluids 1998, 10, 476. [Google Scholar] [CrossRef]
- Lodato, G.; Vervisch, L.; Domingo, P. A compressible wall-adapting similarity mixed model for large-eddy simulation of the impinging round jet. Phys. Fluids 2009, 21, 035102. [Google Scholar] [CrossRef]
- Koide, T.; Tsujimoto, K.; Shakouchi, T.; Ando, T. DNS analysis of multiple impinging jets. J. Fluid Sci. Technol. 2014, 9, JFST0027. [Google Scholar] [CrossRef]
- Draksler, M.; Končar, B.; Cizelj, B.; Ničeno, B. Large Eddy Simulation of multiple impinging jets in hexagonal configuration—Flow dynamics and heat transfer characteristics. Int. J. Heat Mass Transf. 2017, 109, 16–27. [Google Scholar] [CrossRef]
- Jefferson-Loveday, R.J.; Tucker, P.G. LES of Impingement Heat Transfer on a Concave Surface. Numer. Heat Transf. Part A Appl. 2010, 58, 247–271. [Google Scholar] [CrossRef]
- Aillaud, P.; Gicquel, L.Y.M.; Duchaine, F. Investigation of the concave curvature effect for an impinging jet flow. Phys. Rev. Fluids 2017, 2, 114608. [Google Scholar] [CrossRef]
- Popovac, M.; Hanjalić, K. Large-eddy simulations of flow over a jet-impinged wall-mounted cube in cross stream. Int. J. Heat Fluid Flow 2007, 28, 1360–1378. [Google Scholar] [CrossRef]
- Rundström, D.; Moshfegh, B. Large-eddy simulation of an impinging jet in cross-flow on a heated wall-mounted cube. Int. J. Heat Mass Transf. 2009, 52, 921–931. [Google Scholar] [CrossRef]
- Kiełczewski, K.; Tuliszka-Sznitko, E. Numerical study of the flow structure and heat transfer in rotating cavity with and without jet. Arch. Mech. 2013, 65, 527–548. [Google Scholar]
- Gojon, R.; Bogey, C.; Marsden, O. Large-eddy simulation of supersonic planar jets impinging on a flat plate at an angle of 60 to 90 degrees. In Proceedings of the 21st AIAA/CEAS Aeroacoustics Conference, Dallas, TX, USA, 22–26 June 2015. [Google Scholar] [CrossRef]
- Bovo, M.; Rojo, B. Single Pulse Jet Impingement on Inclined Surface, Heat Transfer and Flow Flied. In Proceedings of the 11th International Conference on Engines & Vehicles, Napoli, Italy, 15–19 September 2013. [Google Scholar] [CrossRef]
- Ries, F.; Li, Y.; Rißmann, M.; Klingenberg, D.; Nishad, K.; Böhm, B.; Dreizler, A.; Janicka, J.; Sadiki, A. Database of near-wall turbulent flow properties of a jet impinging on a solid surface under different inclination angles. Fluids 2018, 3, 5. [Google Scholar] [CrossRef]
- Sadiki, A.; Hutter, K. On thermodynamics of turbulence: Development of first order closure models and critical evaluation of existing models. J. Non-Equilib. Thermodyn. 2000, 25, 131–160. [Google Scholar] [CrossRef]
- Ries, F.; Janicka, J.; Sadiki, A. Thermal Transport and Entropy Production Mechanisms in a Turbulent Round Jet at Supercritical Thermodynamic Conditions. Entropy 2017, 19, 404. [Google Scholar] [CrossRef]
- Bejan, A. Second-law analysis in heat transfer and thermal design. Adv. Heat Transf. 1982, 15, 1–58. [Google Scholar] [CrossRef]
- Bejan, A. Entropy Generation Minimization: The Method of Thermodynamic Optimization of Finite-size Systems and Finite-Time Processes; CRC Press LLC: Boca Raton, FL, USA, 1995; ISBN 978-0849396519. [Google Scholar]
- Ahmadi, G.A. A two-equation turbulence model for compressible flows based on the second law of thermodynamics. J. Non-Equilib. Thermodyn. 1989, 14, 49–59. [Google Scholar] [CrossRef]
- Sadiki, A. Extended thermodynamics as modeling tool of turbulence in fluid flows. In Trends in Applications of Mathematics to Mechanics; Wang, Y., Hutter, K., Eds.; Shaker Verlag: Aachen, Germany, 2005; ISBN 978-3-8322-3600-7. [Google Scholar]
- Behnia, M.; Parneix, S.; Shabany, Y.; Durbin, P.A. Numerical study of turbulent heat transfer in confined and unconfined impinging jets. Int. J. Heat Fluid Flow 1999, 20, 1–9. [Google Scholar] [CrossRef]
- Dutta, R.; Dewan, A.; Srinivasan, B. Comparison of various integration to wall (ITW) RANS models for predicting turbulent slot jet impingement heat transfer. Int. J. Heat Mass Transf. 2013, 65, 750–764. [Google Scholar] [CrossRef]
- Shuja, S.Z.; Yilbas, B.S.; Budair, M.O. Local entropy generation in an impinging jet: Minimum entropy concept evaluating various turbulence models. Comput. Method Appl. Mech. Eng. 2001, 190, 3623–3644. [Google Scholar] [CrossRef]
- Xu, P.; Sasmito, A.P.; Qiu, S.; Mujumdar, A.S.; Xu, L.; Geng, L. Heat transfer and entropy generation in air jet impingement on a model rough surface. Int. Commun. Heat Mass Transf. 2016, 72, 48–56. [Google Scholar] [CrossRef]
- Esmailpour, K.; Bozorgmehr, B.; Hosseinalipour, S.M.; Mujumdar, A.S. Entropy generation and second law analysis of pulsed impinging jet. Int. J. Numer. Method Heat Fluid Flow 2015, 25, 1089–1106. [Google Scholar] [CrossRef]
- Chorin, A.J. Numerical Solution of the Navier-Stokes Equations. Math. Comput. 1968, 22, 745–762. [Google Scholar] [CrossRef]
- Van der Houwen, P.J. Explicit Runge-Kutta formulas with increased stability boundaries. Numer. Math. 1972, 20, 149–164. [Google Scholar] [CrossRef]
- Roe, P.L. Characteristic-Based Schemes for the Euler Equations. Annu. Rev. Fluid Mech. 1987, 18, 337–365. [Google Scholar] [CrossRef]
- Pope, S.B. Turbulent Flows, 11th ed.; Cambridge University Press: Cambridge, UK, 2011; ISBN 9780521598866. [Google Scholar]
- Kawamura, H.; Abe, H.; Matsuo, Y. DNS of turbulent heat transfer in channel flow with respect to Reynolds and Prandtl number effects. Int. J. Heat Fluid Flow 1999, 20, 196–207. [Google Scholar] [CrossRef]
- Panchapakesan, N.R.; Lumley, J.L. Turbulence measurements in axisymmteric jets of air and helium. Part 2. Helium jet. J. Fluid Mech. 1993, 246, 225–247. [Google Scholar] [CrossRef]
- Schumann, U. The counter gradient heat flux in turbulent stratified flows. Nucl. Eng. Des. 1986, 100, 255–262. [Google Scholar] [CrossRef]
- Batchelor, G.K. Diffusion in a field of homogeneous turbulence: II. The relative motion of particles. Math. Proc. Camb. 1952, 48, 345–362. [Google Scholar] [CrossRef]
- Daly, B.J.; Harlow, F.H. Transport equations in turbulence. Phys. Fluids 1970, 13, 2637–2649. [Google Scholar] [CrossRef]
- Peng, S.H.; Davidson, L. On a subgrid-scale heat flux model for large eddy simulation of turbulent thermal flow. Int. J. Heat Mass Transf. 2002, 45, 1393–1405. [Google Scholar] [CrossRef]
- Younis, B.A.; Spezial, C.G.; Clark, T.T. A rational model for the turbulent scalar flux. Proc. R. Soc. A 2004, 461, 575–594. [Google Scholar] [CrossRef]
- Pantangi, P.; Huai, Y.; Sadiki, A. Mixing analysis and optimization in jet mixer systems by means of large eddy simulation. In Micro Macro Mixing; Springer: Berlin/Heidelberg, Germany, 2010; pp. 205–226. [Google Scholar] [CrossRef]
- Béguier, C.; Dekeyser, I.; Launder, B.E. Ratio of scalar and velocity dissipation time scales in shear flow turbulence. Phys. Fluids 1978, 21, 307–310. [Google Scholar] [CrossRef]
- Jou, D.; Casas-Vázquez, J.; Lebon, G. Extended Irreversible Thermodynamics; Springer: New York, NY, USA, 1996; Volume 2, ISBN 3-540-60789-7. [Google Scholar]
- Hua, Y.-C.; Zhao, T.; Guo, T. Irreversibility and Action of the Heat Conduction Process. Entropy 2018, 20, 206. [Google Scholar] [CrossRef]
- Guo, Z.-Y.; Zhu, H.-Y.; Liang, X.-G. Entransy-A physical quantity describing heat transfer ability. Int. J. Heat Mass Transf. 2007, 50, 2545–25556. [Google Scholar] [CrossRef]
- Kock, F.; Herwig, H. Local entropy production in turbulent shear flows: A high-Reynolds number model with wall functions. Int. J. Heat Mass Transf. 2004, 47, 2205–2215. [Google Scholar] [CrossRef]
- Komen, E.; Shams, A.; Camilo, L.; Koren, B. Quasi-DNS capabilities of OpenFOAM for different mesh types. Comput. Fluids 2017, 96, 87–104. [Google Scholar] [CrossRef]












| Property | Description | Value |
|---|---|---|
| inclination angle of the plate | ||
| D | nozzle exit diameter | 40 mm |
| H | jet-to-plate distance | 40 mm |
| velocity at the contraction entrance | m/s | |
| temperature at the contraction entrance | 290 K | |
| wall temperature of the heated surface | 330 K | |
| p | ambient pressure | bar |
| Reynolds-number based on nozzle exit diameter | 5000 | |
| molecular Prandtl number |
© 2018 by the authors. Licensee MDPI, Basel, Switzerland. This article is an open access article distributed under the terms and conditions of the Creative Commons Attribution (CC BY) license (http://creativecommons.org/licenses/by/4.0/).
Share and Cite
Ries, F.; Li, Y.; Klingenberg, D.; Nishad, K.; Janicka, J.; Sadiki, A. Near-Wall Thermal Processes in an Inclined Impinging Jet: Analysis of Heat Transport and Entropy Generation Mechanisms. Energies 2018, 11, 1354. https://doi.org/10.3390/en11061354
Ries F, Li Y, Klingenberg D, Nishad K, Janicka J, Sadiki A. Near-Wall Thermal Processes in an Inclined Impinging Jet: Analysis of Heat Transport and Entropy Generation Mechanisms. Energies. 2018; 11(6):1354. https://doi.org/10.3390/en11061354
Chicago/Turabian StyleRies, Florian, Yongxiang Li, Dario Klingenberg, Kaushal Nishad, Johannes Janicka, and Amsini Sadiki. 2018. "Near-Wall Thermal Processes in an Inclined Impinging Jet: Analysis of Heat Transport and Entropy Generation Mechanisms" Energies 11, no. 6: 1354. https://doi.org/10.3390/en11061354
APA StyleRies, F., Li, Y., Klingenberg, D., Nishad, K., Janicka, J., & Sadiki, A. (2018). Near-Wall Thermal Processes in an Inclined Impinging Jet: Analysis of Heat Transport and Entropy Generation Mechanisms. Energies, 11(6), 1354. https://doi.org/10.3390/en11061354

