Recent Progress and New Perspectives on Metal Amide and Imide Systems for Solid-State Hydrogen Storage
Abstract
1. Introduction
2. Li-N-H System
3. Li-Mg-N-H System
4. Li-Mg-N-H-Borohydride Systems
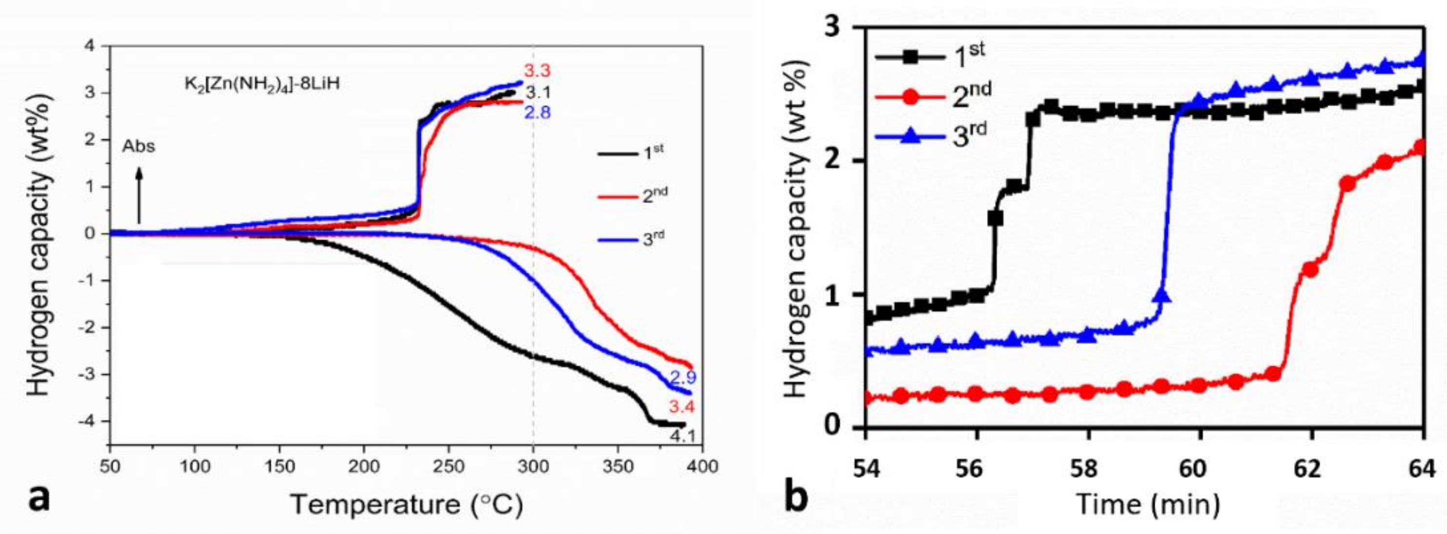
5. Ternary Transition Metal Amide-Hydride System
6. Sodium-Based Composites
7. Concluding Remarks
Author Contributions
Acknowledgments
Conflicts of Interest
References
- Chen, P.; Xiong, Z.; Luo, J.; Lin, J.; Tan, K.L. Interaction of hydrogen with metal nitrides and imides. Nature 2002, 420, 302–304. [Google Scholar] [CrossRef] [PubMed]
- Chen, P.; Zhu, M. Recent progress in hydrogen storage. Mater. Today 2008, 11, 36–43. [Google Scholar] [CrossRef]
- Pinkerton, F. Decomposition kinetics of lithium amide for hydrogen storage materials. J. Alloys Compd. 2005, 400, 76–82. [Google Scholar] [CrossRef]
- Chen, P.; Xiong, Z.; Luo, J.; Lin, J.; Tan, K.L. Interaction between lithium amide and lithium hydride. J. Phys. Chem. B 2003, 107, 10967–10970. [Google Scholar] [CrossRef]
- Ichikawa, T.; Hanada, N.; Isobe, S.; Leng, H.; Fujii, H. Mechanism of novel reaction from LiNH2 and LiH to Li2NH and H2 as a promising hydrogen storage system. J. Phys. Chem. B 2004, 108, 7887–7892. [Google Scholar] [CrossRef]
- Hino, S.; Ichikawa, T.; Ogita, N.; Udagawa, M.; Fujii, H. Quantitative estimation of NH3 partial pressure in H2 desorbed from the Li-N-H system by Raman spectroscopy. Chem. Commun. 2005, 3038–3040. [Google Scholar] [CrossRef] [PubMed]
- Ichikawa, T.; Isobe, S.; Hanada, N.; Fujii, H. Lithium nitride for reversible hydrogen storage. J. Alloys Compd. 2004, 365, 271–276. [Google Scholar] [CrossRef]
- Meisner, G.P.; Pinkerton, F.E.; Meyer, M.S.; Balogh, M.P.; Kundrat, M.D. Study of the lithium–nitrogen–hydrogen system. J. Alloys Compd. 2005, 404–406, 24–26. [Google Scholar] [CrossRef]
- Ikeda, S.; Kuriyama, N.; Kiyobayashi, T. Simultaneous determination of ammonia emission and hydrogen capacity variation during the cyclic testing for LiNH2–LiH hydrogen storage system. Int. J. Hydrogen Energy 2008, 33, 6201–6204. [Google Scholar] [CrossRef]
- Matsumoto, M.; Haga, T.; Kawai, Y.; Kojima, Y. Hydrogen desorption reactions of Li–N–H hydrogen storage system: Estimation of activation free energy. J. Alloys Compd. 2007, 439, 358–362. [Google Scholar] [CrossRef]
- Ichikawa, T.; Hanada, N.; Isobe, S.; Leng, H.; Fujii, H. Hydrogen storage properties in Ti catalyzed Li–N–H system. J. Alloys Compd. 2005, 404, 435–438. [Google Scholar] [CrossRef]
- Lu, C.; Hu, J.; Kwak, J.H.; Yang, Z.; Ren, R.; Markmaitree, T.; Shaw, L.L. Study the effects of mechanical activation on Li–N–H systems with 1H and 6Li solid-state NMR. J. Power Sources 2007, 170, 419–424. [Google Scholar] [CrossRef]
- Shaw, L.L.; Ren, R.; Markmaitree, T.; Osborn, W. Effects of mechanical activation on dehydrogenation of the lithium amide and lithium hydride system. J. Alloys Compd. 2008, 448, 263–271. [Google Scholar] [CrossRef]
- Osborn, W.; Markmaitree, T.; Shaw, L.L.; Hu, J.-Z.; Kwak, J.; Yang, Z. Low temperature milling of the LiNH2 + LiH hydrogen storage system. Int. J. Hydrogen Energy 2009, 34, 4331–4339. [Google Scholar] [CrossRef]
- Varin, R.; Jang, M.; Polanski, M. The effects of ball milling and molar ratio of LiH on the hydrogen storage properties of nanocrystalline lithium amide and lithium hydride (LiNH2 + LiH) system. J. Alloys Compd. 2010, 491, 658–667. [Google Scholar] [CrossRef]
- Varin, R.; Jang, M. The effects of graphite on the reversible hydrogen storage of nanostructured lithium amide and lithium hydride (LiNH2 + 1.2LiH) system. J. Alloys Compd. 2011, 509, 7143–7151. [Google Scholar] [CrossRef]
- Nayebossadri, S. Kinetic rate-limiting steps in dehydrogenation of Li–N–H and Li–Mg–N–H systems–effects of elemental Si and Al. Int. J. Hydrogen Energy 2011, 36, 8335–8343. [Google Scholar] [CrossRef]
- Isobe, S.; Ichikawa, T.; Hanada, N.; Leng, H.Y.; Fichtner, M.; Fuhr, O.; Fujii, H. Effect of Ti catalyst with different chemical form on Li–N–H hydrogen storage properties. J. Alloys Compd. 2005, 404–406, 439–442. [Google Scholar] [CrossRef]
- Nayebossadri, S.; Aguey-Zinsou, K.F.; Guo, Z.X. Effect of nitride additives on Li–N–H hydrogen storage system. Int. J. Hydrogen Energy 2011, 36, 7920–7926. [Google Scholar] [CrossRef]
- Sale, M.; Pistidda, C.; Taras, A.; Napolitano, E.; Milanese, C.; Karimi, F.; Dornheim, M.; Garroni, S.; Enzo, S.; Mulas, G. In situ synchrotron radiation powder X-ray diffraction study of the 2LiNH2 + LiH + KBH4 system. J. Alloys Compd. 2013, 580 (Suppl. 1), S278–S281. [Google Scholar] [CrossRef][Green Version]
- Yao, J.H.; Shang, C.; Aguey-Zinsou, K.F.; Guo, Z.X. Desorption characteristics of mechanically and chemically modified LiNH2 and (LiNH2 + LiH). J. Alloys Compd. 2007, 432, 277–282. [Google Scholar] [CrossRef]
- David, W.I.F.; Jones, M.O.; Gregory, D.H.; Jewell, C.M.; Johnson, S.R.; Walton, A.; Edwards, P.P. A Mechanism for Non-stoichiometry in the Lithium Amide/Lithium Imide Hydrogen Storage Reaction. J. Am. Chem. Soc. 2007, 129, 1594–1601. [Google Scholar] [CrossRef] [PubMed]
- Pistidda, C.; Santoru, A.; Garroni, S.; Bergemann, N.; Rzeszutek, A.; Horstmann, C.; Thomas, D.; Klassen, T.; Dornheim, M. First Direct Study of the Ammonolysis Reaction in the Most Common Alkaline and Alkaline Earth Metal Hydrides by in Situ SR-PXD. J. Phys. Chem. C 2015, 119, 934–943. [Google Scholar] [CrossRef]
- Makepeace, J.W.; Jones, M.O.; Callear, S.K.; Edwards, P.P.; David, W.I. In situ X-ray powder diffraction studies of hydrogen storage and release in the Li–N–H system. Phys. Chem. Chem. Phys. 2014, 16, 4061–4070. [Google Scholar] [CrossRef] [PubMed]
- Anderson, P.A.; Chater, P.A.; Hewett, D.R.; Slater, P.R. Hydrogen storage and ionic mobility in amide-halide systems. Faraday Discuss. 2011, 151, 271–284. [Google Scholar] [CrossRef] [PubMed]
- Matsuo, M.; Sato, T.; Miura, Y.; Oguchi, H.; Zhou, Y.; Maekawa, H.; Takamura, H.; Orimo, S.-I. Synthesis and lithium fast-ion conductivity of a new complex hydride Li3(NH2)2I with double-layered structure. Chem. Mater. 2010, 22, 2702–2704. [Google Scholar] [CrossRef]
- Howard, M.A.; Clemens, O.; Slater, P.R.; Anderson, P.A. Hydrogen absorption and lithium ion conductivity in Li6NBr3. J. Alloys Compd. 2015, 645 (Suppl. 1), S174–S177. [Google Scholar] [CrossRef][Green Version]
- Nguyen, T.T.T.; Reed, D.; Book, D.; Anderson, P.A. Hydrogen release and uptake in the Li–Zn–N system. J. Alloys Compd. 2015, 645 (Suppl. 1), S295–S298. [Google Scholar] [CrossRef]
- Davies, R.A.; Hewett, D.R.; Anderson, P.A. Enhancing ionic conductivity in lithium amide for improved energy storage materials. Adv. Nat. Sci. Nanosci. Nanotechnol. 2015, 6, 015005. [Google Scholar]
- Davies, R.A.; Anderson, P.A. Synthesis and characterization of two new amide chloride compounds: Potential H2 storage materials. Int. J. Hydrogen Energy 2015, 40, 3001–3005. [Google Scholar] [CrossRef]
- Cao, H.; Wang, J.; Chua, Y.; Wang, H.; Wu, G.; Xiong, Z.; Qiu, J.; Chen, P. NH3 Mediated or Ion Migration Reaction: The Case Study on Halide–Amide System. J. Phys. Chem. C 2014, 118, 2344–2349. [Google Scholar] [CrossRef]
- Leng, H.; Wu, Z.; Duan, W.; Xia, G.; Li, Z. Effect of MgCl2 additives on the H-desorption properties of Li–N–H system. Int. J. Hydrogen Energy 2012, 37, 903–907. [Google Scholar] [CrossRef]
- Fernández Albanesi, L.; Arneodo Larochette, P.; Gennari, F.C. Destabilization of the LiNH2–LiH hydrogen storage system by aluminum incorporation. Int. J. Hydrogen Energy 2013, 38, 12325–12334. [Google Scholar] [CrossRef]
- Fernández Albanesi, L.; Garroni, S.; Arneodo Larochette, P.; Nolis, P.; Mulas, G.; Enzo, S.; Baró, M.D.; Gennari, F.C. Role of aluminum chloride on the reversible hydrogen storage properties of the Li–N–H system. Int. J. Hydrogen Energy 2015, 40, 13506–13517. [Google Scholar] [CrossRef]
- Fernandez Albanesi, L.; Garroni, S.; Enzo, S.; Gennari, F.C. New amide-chloride phases in the Li-Al-N-H-Cl system: Formation and hydrogen storage behaviour. Dalton Trans. 2016, 45, 5808–5814. [Google Scholar] [CrossRef] [PubMed]
- Dong, B.-X.; Gao, J.-J.; Tian, H.; Teng, Y.-L.; Wang, L.-Z.; Liu, W.-L. Hydrogen desorption improvement of the LiNH2–LiH–KF composite. Int. J. Hydrogen Energy 2016, 41, 16122–16128. [Google Scholar] [CrossRef]
- Zhang, W.; Wang, H.; Cao, H.; He, T.; Guo, J.; Wu, G.; Chen, P. Effects of doping FeCl3 on hydrogen storage properties of Li-N-H system. Prog. Nat. Sci. Mater. Int. 2017, 27, 139–143. [Google Scholar] [CrossRef]
- Amica, G.; Larochette, P.A.; Gennari, F. Hydrogen storage properties of LiNH2–LiH system with MgH2, CaH2 and TiH2 added. Int. J. Hydrogen Energy 2015, 40, 9335–9346. [Google Scholar] [CrossRef]
- Lin, H.-J.; Li, H.-W.; Murakami, H.; Akiba, E. Remarkably improved hydrogen storage properties of LiNH2-LiH composite via the addition of CeF4. J. Alloys Compd. 2018, 735, 1017–1022. [Google Scholar] [CrossRef]
- Chu, H.; Xiong, Z.; Wu, G.; He, T.; Wu, C.; Chen, P. Hydrogen storage properties of Li–Ca–N–H system with different molar ratios of LiNH2/CaH2. Int. J. Hydrogen Energy 2010, 35, 8317–8321. [Google Scholar] [CrossRef]
- Meisner, G.P.; Scullin, M.L.; Balogh, M.P.; Pinkerton, F.E.; Meyer, M.S. Hydrogen Release from Mixtures of Lithium Borohydride and Lithium Amide: A Phase Diagram Study. J. Phys. Chem. B 2006, 110, 4186–4192. [Google Scholar] [CrossRef] [PubMed]
- Nakamori, Y.; Ninomiya, A.; Kitahara, G.; Aoki, M.; Noritake, T.; Miwa, K.; Kojima, Y.; Orimo, S. Dehydriding reactions of mixed complex hydrides. J. Power Sources 2006, 155, 447–455. [Google Scholar] [CrossRef]
- Tokoyoda, K.; Hino, S.; Ichikawa, T.; Okamoto, K.; Fujii, H. Hydrogen desorption/absorption properties of Li–Ca–N–H system. J. Alloys Compd. 2007, 439, 337–341. [Google Scholar] [CrossRef]
- Xiong, Z.; Wu, G.; Hu, J.; Chen, P. Investigation on chemical reaction between LiAlH4 and LiNH2. J. Power Sources 2006, 159, 167–170. [Google Scholar] [CrossRef]
- Zhang, Y.; Liu, Y.; Yang, Y.; Li, Y.; Hu, J.; Gao, M.; Pan, H. Superior catalytic activity of in situ reduced metallic Co for hydrogen storage in a Co(OH)2-containing LiBH4/2LiNH2 composite. Mater. Res. Bull. 2018, 97, 544–552. [Google Scholar] [CrossRef]
- Chu, H.; Xiong, Z.; Wu, G.; Guo, J.; He, T.; Chen, P. Improved dehydrogenation properties of Ca(BH4)2-LiNH2 combined system. Dalton Trans. 2010, 39, 10585–10587. [Google Scholar] [CrossRef] [PubMed]
- Makepeace, J.W.; David, W.I.F. Structural Insights into the Lithium Amide-Imide Solid Solution. J. Phys. Chem. C 2017, 121, 12010–12017. [Google Scholar] [CrossRef]
- Leng, H.Y.; Ichikawa, T.; Hino, S.; Hanada, N.; Isobe, S.; Fujii, H. New Metal−N−H System Composed of Mg(NH2)2 and LiH for Hydrogen Storage. J. Phys. Chem. B 2004, 108, 8763–8765. [Google Scholar] [CrossRef]
- Nakamori, Y.; Kitahara, G.; Orimo, S. Synthesis and dehydriding studies of Mg–N–H systems. J. Power Sources 2004, 138, 309–312. [Google Scholar] [CrossRef]
- Orimo, S.; Nakamori, Y.; Kitahara, G.; Miwa, K.; Ohba, N.; Noritake, T.; Towata, S. Destabilization and enhanced dehydriding reaction of LiNH2: An electronic structure viewpoint. Appl. Phys. A 2004, 79, 1765–1767. [Google Scholar] [CrossRef]
- Luo, W. (LiNH2-MgH2): A viable hydrogen storage system. J. Alloys Compd. 2004, 381, 284–287. [Google Scholar] [CrossRef]
- Xiong, Z.T.; Wu, G.T.; Hu, H.J.; Chen, P. Ternary imides for hydrogen storage. Adv. Mater. 2004, 16, 1522–1525. [Google Scholar] [CrossRef]
- Chen, Y.; Wu, C.-Z.; Wang, P.; Cheng, H.-M. Structure and hydrogen storage property of ball-milled LiNH2/MgH2 mixture. Int. J. Hydrogen Energy 2006, 31, 1236–1240. [Google Scholar] [CrossRef]
- Luo, W.; Sickafoose, S. Thermodynamic and structural characterization of the Mg–Li–N–H hydrogen storage system. J. Alloys Compd. 2006, 407, 274–281. [Google Scholar] [CrossRef]
- Luo, W.; Stewart, K. Characterization of NH3 formation in desorption of Li–Mg–N–H storage system. J. Alloys Compd. 2007, 440, 357–361. [Google Scholar] [CrossRef]
- Luo, W.; Wang, J.; Stewart, K.; Clift, M.; Gross, K. Li-Mg-N-H: Recent investigations and development. J. Alloys Compd. 2007, 446–447, 336–341. [Google Scholar] [CrossRef]
- Markmaitree, T.; Osborn, W.; Shaw, L.L. Comparisons between MgH2-and LiH-containing systems for hydrogen storage applications. Int. J. Hydrogen Energy 2008, 33, 3915–3924. [Google Scholar] [CrossRef]
- Leng, H.; Ichikawa, T.; Hino, S.; Hanada, N.; Isobe, S.; Fujii, H. Synthesis and decomposition reactions of metal amides in metal–N–H hydrogen storage system. J. Power Sources 2006, 156, 166–170. [Google Scholar] [CrossRef]
- Dolci, F.; Napolitano, E.; Weidner, E.; Enzo, S.; Moretto, P.; Brunelli, M.; Hansen, T.; Fichtner, M.; Lohstroh, W. Magnesium imide: Synthesis and structure determination of an unconventional alkaline earth imide from decomposition of magnesium amide. Inorg. Chem. 2010, 50, 1116–1122. [Google Scholar] [CrossRef] [PubMed]
- Rijssenbeek, J.; Gao, Y.; Hanson, J.; Huang, Q.; Jones, C.; Toby, B. Crystal structure determination and reaction pathway of amide–hydride mixtures. J. Alloys Compd. 2008, 454, 233–244. [Google Scholar] [CrossRef]
- Yang, J.; Sudik, A.; Wolverton, C. Activation of hydrogen storage materials in the Li–Mg–N–H system: Effect on storage properties. J. Alloys Compd. 2007, 430, 334–338. [Google Scholar] [CrossRef]
- Anton, D.L.; Price, C.J.; Gray, J. Affects of Mechanical Milling and Metal Oxide Additives on Sorption Kinetics of 1:1 LiNH2/MgH2 Mixture. Energies 2011, 4, 826–844. [Google Scholar] [CrossRef]
- Bill, R.F.; Reed, D.; Book, D.; Anderson, P.A. Effect of the calcium halides, CaCl2 and CaBr2, on hydrogen desorption in the Li–Mg–N–H system. J. Alloys Compd. 2015, 645, S96–S99. [Google Scholar] [CrossRef]
- Demirocak, D.E.; Srinivasan, S.S.; Ram, M.K.; Kuhn, J.N.; Muralidharan, R.; Li, X.; Goswami, D.Y.; Stefanakos, E.K. Reversible hydrogen storage in the Li–Mg–N–H system—The effects of Ru doped single walled carbon nanotubes on NH3 emission and kinetics. Int. J. Hydrogen Energy 2013, 38, 10039–10049. [Google Scholar] [CrossRef]
- Durojaiye, T.; Hayes, J.; Goudy, A. Rubidium hydride: An exceptional dehydrogenation catalyst for the lithium amide/magnesium hydride system. J. Phys. Chem. C 2013, 117, 6554–6560. [Google Scholar] [CrossRef]
- Durojaiye, T.; Hayes, J.; Goudy, A. Potassium, rubidium and cesium hydrides as dehydrogenation catalysts for the lithium amide/magnesium hydride system. Int. J. Hydrogen Energy 2015, 40, 2266–2273. [Google Scholar] [CrossRef]
- Hayes, J.; Durojaiye, T.; Goudy, A. Hydriding and dehydriding kinetics of RbH-doped 2LiNH2/MgH2 hydrogen storage system. J. Alloys Compd. 2015, 645 (Suppl. 1), S496–S499. [Google Scholar] [CrossRef]
- Miyaoka, H.; Wang, Y.; Hino, S.; Isobe, S.; Tokoyoda, K.; Ichikawa, T.; Kojima, Y. Kinetic Modification on Hydrogen Desorption of Lithium Hydride and Magnesium Amide System. Materials 2015, 8, 3896–3909. [Google Scholar] [CrossRef] [PubMed]
- Price, C.; Gray, J.; Lascola Jr, R.; Anton, D.L. The effects of halide modifiers on the sorption kinetics of the Li-Mg-N-H System. Int. J. Hydrogen Energy 2012, 37, 2742–2749. [Google Scholar] [CrossRef]
- Sun, F.; Yan, M.-Y.; Ye, J.-H.; Liu, X.-P.; Jiang, L.-J. Effect of CO on hydrogen storage performance of KF doped 2LiNH2 + MgH2 material. J. Alloys Compd. 2014, 616, 47–50. [Google Scholar] [CrossRef]
- Ulmer, U.; Hu, J.; Franzreb, M.; Fichtner, M. Preparation, scale-up and testing of nanoscale, doped amide systems for hydrogen storage. Int. J. Hydrogen Energy 2013, 38, 1439–1449. [Google Scholar] [CrossRef]
- Yan, M.Y.; Sun, F.; Liu, X.P.; Ye, J.H.; Yuan, H.P.; Wang, S.M.; Jiang, L.J. Experimental study on hydrogen storage properties of Li–Mg–N–H based tank. J. Alloys Compd. 2014, 603, 19–22. [Google Scholar] [CrossRef]
- Luo, W.; Stavila, V.; Klebanoff, L.E. New insights into the mechanism of activation and hydrogen absorption of (2LiNH2–MgH2). Int. J. Hydrogen Energy 2012, 37, 6646–6652. [Google Scholar] [CrossRef]
- Durojaiye, T.; Goudy, A. Desorption kinetics of lithium amide/magnesium hydride systems at constant pressure thermodynamic driving forces. Int. J. Hydrogen Energy 2012, 37, 3298–3304. [Google Scholar] [CrossRef]
- Yang, J.; Sudik, A.; Siegel, D.J.; Halliday, D.; Drews, A.; Carter, R.O.; Wolverton, C.; Lewis, G.J.; Sachtler, J.W.A.; Low, J.J.; et al. Hydrogen storage properties of 2LiNH2+LiBH4+MgH2. J. Alloys Compd. 2007, 446–447, 345–349. [Google Scholar] [CrossRef]
- Sudik, A.; Yang, J.; Halliday, D.; Wolverton, C. Hydrogen Storage Properties in (LiNH2)2-LiBH4-(MgH2)X Mixtures (X = 0.0–1.0). J. Phys. Chem. C 2008, 112, 4384–4390. [Google Scholar] [CrossRef]
- Parviz, R.; Varin, R. Combined effects of molar ratio and ball milling energy on the phase transformations and mechanical dehydrogenation in the lithium amide-magnesium hydride (LiNH2+ nMgH2)(n = 0.5–2.0) nanocomposites. Int. J. Hydrogen Energy 2013, 38, 8313–8327. [Google Scholar] [CrossRef]
- Varin, R.; Parviz, R.; Polanski, M.; Wronski, Z. The effect of milling energy input and molar ratio on the dehydrogenation and thermal conductivity of the (LiNH2+ nMgH2)(n = 0.5, 0.7, 0.9, 1.0, 1.5 and 2.0) nanocomposites. Int. J. Hydrogen Energy 2014, 39, 10585–10599. [Google Scholar] [CrossRef]
- Xiong, Z.; Hu, J.; Wu, G.; Chen, P.; Luo, W.; Gross, K.; Wang, J. Thermodynamic and kinetic investigations of the hydrogen storage in the Li–Mg–N–H system. J. Alloys Compd. 2005, 398, 235–239. [Google Scholar] [CrossRef]
- Xiong, Z.; Wu, G.; Hu, J.; Chen, P.; Luo, W.; Wang, J. Investigations on hydrogen storage over Li–Mg–N–H complex—The effect of compositional changes. J. Alloys Compd. 2006, 417, 190–194. [Google Scholar] [CrossRef]
- Aoki, M.; Noritake, T.; Kitahara, G.; Nakamori, Y.; Towata, S.; Orimo, S. Dehydriding reaction of Mg(NH2)2–LiH system under hydrogen pressure. J. Alloys Compd. 2007, 428, 307–311. [Google Scholar] [CrossRef]
- Hu, J.; Fichtner, M. Formation and stability of ternary imides in the Li−Mg−N−H hydrogen storage system. Chem. Mater. 2009, 21, 3485–3490. [Google Scholar] [CrossRef]
- Ikeda, S.; Tokoyoda, K.; Kiyobayashi, T.; Kuriyama, N. Cyclic properties and ammonia by-product emission of Li/Mg–N–H hydrogen storage material. Int. J. Hydrogen Energy 2011, 36, 8373–8380. [Google Scholar] [CrossRef]
- Cao, H.; Chua, Y.; Zhang, Y.; Xiong, Z.; Wu, G.; Qiu, J.; Chen, P. Releasing 9.6 wt% of H2 from Mg(NH2)2–3LiH–NH3BH3 through mechanochemical reaction. Int. J. Hydrogen Energy 2013, 38, 10446–10452. [Google Scholar] [CrossRef]
- Liu, Y.; Hu, J.; Xiong, Z.; Wu, G.; Chen, P. Improvement of the hydrogen-storage performances of Li–Mg–N–H system. J. Mater. Res. 2007, 22, 1339–1345. [Google Scholar] [CrossRef]
- Sudik, A.; Yang, J.; Halliday, D.; Wolverton, C. Kinetic Improvement in the Mg(NH2)2−LiH Storage System by Product Seeding. J. Phys. Chem. C 2007, 111, 6568–6573. [Google Scholar] [CrossRef]
- Liu, Y.; Zhong, K.; Luo, K.; Gao, M.; Pan, H.; Wang, Q. Size-Dependent Kinetic Enhancement in Hydrogen Absorption and Desorption of the Li−Mg−N−H System. J. Am. Chem. Soc. 2009, 131, 1862–1870. [Google Scholar] [CrossRef] [PubMed]
- Janot, R.; Eymery, J.-B.; Tarascon, J.-M. Investigation of the processes for reversible hydrogen storage in the Li–Mg–N–H system. J. Power Sources 2007, 164, 496–502. [Google Scholar] [CrossRef]
- Li, C.; Liu, Y.; Ma, R.; Zhang, X.; Li, Y.; Gao, M.; Pan, H. Superior Dehydrogenation/Hydrogenation Kinetics and Long-Term Cycling Performance of K and Rb Cocatalyzed Mg(NH2)2–2LiH system. ACS Appl. Mater. Interfaces 2014, 6, 17024–17033. [Google Scholar] [CrossRef] [PubMed]
- Liang, C.; Liu, Y.; Wei, Z.; Jiang, Y.; Wu, F.; Gao, M.; Pan, H. Enhanced dehydrogenation/hydrogenation kinetics of the Mg(NH2)2–2LiH system with NaOH additive. Int. J. Hydrogen Energy 2011, 36, 2137–2144. [Google Scholar] [CrossRef]
- Ma, L.-P.; Dai, H.-B.; Liang, Y.; Kang, X.-D.; Fang, Z.-Z.; Wang, P.-J.; Wang, P.; Cheng, H.-M. Catalytically enhanced hydrogen storage properties of Mg(NH2)2 + 2LiH material by graphite-supported Ru nanoparticles. J. Phys. Chem. C 2008, 112, 18280–18285. [Google Scholar] [CrossRef]
- Shahi, R.R.; Yadav, T.; Shaz, M.; Srivastva, O. Studies on dehydrogenation characteristic of Mg(NH2)2/LiH mixture admixed with vanadium and vanadium based catalysts (V, V2O5 and VCl3). Int. J. Hydrogen Energy 2010, 35, 238–246. [Google Scholar] [CrossRef]
- Wang, J.; Liu, T.; Wu, G.; Li, W.; Liu, Y.; Araújo, C.M.; Scheicher, R.H.; Blomqvist, A.; Ahuja, R.; Xiong, Z.; et al. Potassium-Modified Mg(NH2)2/2LiH System for Hydrogen Storage. Angew. Chem. Int. Ed. 2009, 48, 5828–5832. [Google Scholar] [CrossRef] [PubMed]
- Yan, M.-Y.; Sun, F.; Liu, X.-P.; Ye, J.-H. Effects of compaction pressure and graphite content on hydrogen storage properties of Mg(NH2)2–2LiH hydride. Int. J. Hydrogen Energy 2014, 39, 19656–19661. [Google Scholar] [CrossRef]
- Torre, F.; Valentoni, A.; Milanese, C.; Pistidda, C.; Marini, A.; Dornheim, M.; Enzo, S.; Mulas, G.; Garroni, S. Kinetic improvement on the CaH2-catalyzed Mg(NH2)2+2LiH system. J. Alloys Compd. 2015, 645, S284–S287. [Google Scholar] [CrossRef]
- Hu, J.; Liu, Y.; Wu, G.; Xiong, Z.; Chua, Y.S.; Chen, P. Improvement of Hydrogen Storage Properties of the Li–Mg–N–H System by Addition of LiBH4. Chem. Mater. 2008, 20, 4398–4402. [Google Scholar] [CrossRef]
- Napolitano, E.; Dolci, F.; Campesi, R.; Pistidda, C.; Hoelzel, M.; Moretto, P.; Enzo, S. Crystal structure solution of KMg(ND)(ND2): An ordered mixed amide/imide compound. Int. J. Hydrogen Energy 2014, 39, 868–876. [Google Scholar] [CrossRef]
- Santoru, A.; Garroni, S.; Pistidda, C.; Milanese, C.; Girella, A.; Marini, A.; Masolo, E.; Valentoni, A.; Bergemann, N.; Le, T.T.; et al. A new potassium-based intermediate and its role in the desorption properties of the K-Mg-N-H system. Phys. Chem. Chem. Phys. 2016, 18, 3910–3920. [Google Scholar] [CrossRef] [PubMed]
- Santoru, A.; Pistidda, C.; Sorby, M.H.; Chierotti, M.R.; Garroni, S.; Pinatel, E.; Karimi, F.; Cao, H.; Bergemann, N.; Le, T.T.; et al. KNH2-KH: A metal amide-hydride solid solution. Chem. Commun. 2016, 52, 11760–11763. [Google Scholar] [CrossRef] [PubMed]
- Wang, J.; Chen, P.; Pan, H.; Xiong, Z.; Gao, M.; Wu, G.; Liang, C.; Li, C.; Li, B.; Wang, J. Solid–Solid Heterogeneous Catalysis: The Role of Potassium in Promoting the Dehydrogenation of the Mg(NH2)2/2LiH Composite. ChemSusChem 2013, 6, 2181–2189. [Google Scholar] [CrossRef] [PubMed]
- Wang, J.; Wu, G.; Chua, Y.S.; Guo, J.; Xiong, Z.; Zhang, Y.; Gao, M.; Pan, H.; Chen, P. Hydrogen Sorption from the Mg(NH2)2-KH System and Synthesis of an Amide–Imide Complex of KMg(NH)(NH2). ChemSusChem 2011, 4, 1622–1628. [Google Scholar] [CrossRef] [PubMed]
- Li, C.; Liu, Y.; Yang, Y.; Gao, M.; Pan, H. High-temperature failure behaviour and mechanism of K-based additives in Li-Mg-N-H hydrogen storage systems. J. Mater. Chem. A 2014, 2, 7345–7353. [Google Scholar] [CrossRef]
- Liang, C.; Liu, Y.; Gao, M.; Pan, H. Understanding the role of K in the significantly improved hydrogen storage properties of a KOH-doped Li-Mg-N-H system. J. Mater. Chem. A 2013, 1, 5031–5036. [Google Scholar] [CrossRef]
- Liu, Y.; Li, C.; Li, B.; Gao, M.; Pan, H. Metathesis Reaction-Induced Significant Improvement in Hydrogen Storage Properties of the KF-Added Mg(NH2)2–2LiH System. J. Phys. Chem. C 2013, 117, 866–875. [Google Scholar] [CrossRef]
- Liu, Y.; Yang, Y.; Zhang, X.; Li, Y.; Gao, M.; Pan, H. Insights into the dehydrogenation reaction process of a K-containing Mg(NH2)2–2LiH system. Dalton Trans. 2015, 44, 18012–18018. [Google Scholar] [CrossRef] [PubMed]
- Lin, H.-J.; Li, H.-W.; Paik, B.; Wang, J.; Akiba, E. Improvement of hydrogen storage property of three-component Mg(NH2)2-LiNH2-LiH composites by additives. Dalton Trans. 2016, 45, 15374–15381. [Google Scholar] [CrossRef] [PubMed]
- Li, C.; Liu, Y.; Gu, Y.; Gao, M.; Pan, H. Improved Hydrogen-Storage Thermodynamics and Kinetics for an RbF-Doped Mg(NH2)2–2LiH System. Chem. Asian J. 2013, 8, 2136–2143. [Google Scholar] [CrossRef] [PubMed]
- Santoru, A.; Pistidda, C.; Brighi, M.; Chierotti, M.R.; Heere, M.; Karimi, F.; Cao, H.; Capurso, G.; Chaudhary, A.-L.; Gizer, G.; et al. Insights into the Rb–Mg–N–H System: An Ordered Mixed Amide/Imide Phase and a Disordered Amide/Hydride Solid Solution. Inorg. Chem. 2018, 57, 3197–3205. [Google Scholar] [CrossRef] [PubMed]
- Zhang, J.; Liu, Y.; Zhang, X.; Yang, Y.; Zhang, Q.; Jin, T.; Wang, Y.; Gao, M.; Sun, L.; Pan, H. Synthesis of CsH and its effect on the hydrogen storage properties of the Mg(NH2)2–2LiH system. Int. J. Hydrogen Energy 2016, 41, 11264–11274. [Google Scholar] [CrossRef]
- Zhang, J.; Wang, Y.; Zhang, M.; Leng, Z.; Gao, M.; Hu, J.; Liu, Y.; Pan, H. Improved overall hydrogen storage properties of a CsH and KH co-doped Mg(NH2)2/2LiH system by forming mixed amides of Li-K and Cs-Mg. RSC Adv. 2017, 7, 30357–30364. [Google Scholar] [CrossRef]
- Xia, G.; Chen, X.; Zhao, Y.; Li, X.; Guo, Z.; Jensen, C.M.; Gu, Q.; Yu, X. High-Performance Hydrogen Storage Nanoparticles Inside Hierarchical Porous Carbon Nanofibers with Stable Cycling. ACS Appl. Mater. Interfaces 2017, 9, 15502–15509. [Google Scholar] [CrossRef] [PubMed]
- Vajo, J.J.; Skeith, S.L.; Mertens, F. Reversible Storage of Hydrogen in Destabilized LiBH4. J. Phys. Chem. B 2005, 109, 3719–3722. [Google Scholar] [CrossRef] [PubMed]
- Filinchuk, Y.E.; Yvon, K.; Meisner, G.P.; Pinkerton, F.E.; Balogh, M.P. On the Composition and Crystal Structure of the New Quaternary Hydride Phase Li4BN3H10. Inorg. Chem. 2006, 45, 1433–1435. [Google Scholar] [CrossRef] [PubMed]
- Lewis, G.J.; Sachtler, J.W.A.; Low, J.J.; Lesch, D.A.; Faheem, S.A.; Dosek, P.M.; Knight, L.M.; Halloran, L.; Jensen, C.M.; Yang, J.; et al. High throughput screening of the ternary LiNH2–MgH2–LiBH4 phase diagram. J. Alloys Compd. 2007, 446–447, 355–359. [Google Scholar] [CrossRef]
- Sudik, A.; Yang, J.; Siegel, D.J.; Wolverton, C.; Carter, R.O.; Drews, A.R. Impact of Stoichiometry on the Hydrogen Storage Properties of LiNH2−LiBH4−MgH2 Ternary Composites. J. Phys. Chem. C 2009, 113, 2004–2013. [Google Scholar] [CrossRef]
- Yang, J.; Sudik, A.; Siegel, D.J.; Halliday, D.; Drews, A.; Carter, R.O.; Wolverton, C.; Lewis, G.J.; Sachtler, J.W.A.; Low, J.J.; et al. A Self-Catalyzing Hydrogen-Storage Material. Angew. Chem. Int. Ed. 2008, 47, 882–887. [Google Scholar] [CrossRef] [PubMed]
- Hu, J.; Fichtner, M.; Chen, P. Investigation on the Properties of the Mixture Consisting of Mg(NH2)2, LiH, and LiBH4 as a Hydrogen Storage Material. Chem. Mater. 2008, 20, 7089–7094. [Google Scholar] [CrossRef]
- Hu, J.; Weidner, E.; Hoelzel, M.; Fichtner, M. Functions of LiBH4 in the hydrogen sorption reactions of the 2LiH-Mg(NH2)2 system. Dalton Trans. 2010, 39, 9100–9107. [Google Scholar] [CrossRef] [PubMed]
- Cao, H.J.; Wu, G.T.; Zhang, Y.; Xiong, Z.T.; Qiu, J.S.; Chen, P. Effective thermodynamic alteration to Mg(NH2)2-LiH system: Achieving near ambient-temperature hydrogen storage. J. Mater. Chem. A 2014, 2, 15816–15822. [Google Scholar] [CrossRef]
- Wang, H.; Cao, H.J.; Wu, G.T.; He, T.; Chen, P. The improved Hydrogen Storage Performances of the Multi-Component Composite: 2Mg(NH2)2-3LiH-LiBH4. Energies 2015, 8, 6898–6909. [Google Scholar] [CrossRef]
- Wang, H.; Cao, H.J.; Pistidda, C.; Garroni, S.; Wu, G.T.; Klassen, T.; Dorheim, M.; Chen, P. Effects of Stoichiometry on the H-2-Storage Properties of Mg(NH2)2-LiH-LiBH4 Tri-Component Systems. Chem. Asian J. 2017, 12, 1758–1764. [Google Scholar] [CrossRef] [PubMed]
- Wang, H.; Wu, G.T.; Cao, H.J.; Pistidda, C.; Chaudhary, A.L.; Garroni, S.; Dornheim, M.; Chen, P. Near Ambient Condition Hydrogen Storage in a Synergized Tricomponent Hydride System. Adv. Energy Mater. 2017, 7. [Google Scholar] [CrossRef]
- Wang, H.; Cao, H.; Zhang, W.; Chen, J.; Wu, H.; Pistidda, C.; Ju, X.; Zhou, W.; Wu, G.; Etter, M.; et al. Li2NH-LiBH4: A Complex Hydride with Near Ambient Hydrogen Adsorption and Fast Lithium Ion Conduction. Chem. Eur. J. 2018, 24, 1342–1347. [Google Scholar] [CrossRef] [PubMed]
- Wolczyk, A.; Paik, B.; Sato, T.; Nervi, C.; Brighi, M.; GharibDoust, S.P.; Chierotti, M.; Matsuo, M.; Li, G.; Gobetto, R.; et al. Li5(BH4)3NH: Lithium-Rich Mixed Anion Complex Hydride. J. Phys. Chem. C 2017, 121, 11069–11075. [Google Scholar] [CrossRef]
- Zhan, L.; Zhang, Y.; Zhuang, X.; Fang, H.; Zhu, Y.; Guo, X.; Chen, J.; Wang, Z.; Li, L. Ionic conductivities of lithium borohydride-lithium nitride composites. Solid State Ion. 2017, 304, 150–155. [Google Scholar] [CrossRef]
- Chen, P.; Xiong, Z.T.; Yang, L.F.; Wu, G.T.; Luo, W.F. Mechanistic investigations on the heterogeneous solid-state reaction of magnesium amides and lithium hydrides. J. Phys. Chem. B 2006, 110, 14221–14225. [Google Scholar] [CrossRef] [PubMed]
- Cao, H.; Wang, H.; He, T.; Wu, G.; Xiong, Z.; Qiu, J.; Chen, P. Improved kinetics of the Mg(NH2)2–2LiH system by addition of lithium halides. RSC Adv. 2014, 4, 32555–32561. [Google Scholar] [CrossRef]
- Matsuo, M.; Remhof, A.; Martelli, P.; Caputo, R.; Ernst, M.; Miura, Y.; Sato, T.; Oguchi, H.; Maekawa, H.; Takamura, H.; et al. Complex Hydrides with (BH4)- and (NH2)-Anions as New Lithium Fast-Ion Conductors. J. Am. Chem. Soc. 2009, 131, 16389–16391. [Google Scholar] [CrossRef] [PubMed]
- Srinivasan, S.S.; Niemann, M.U.; Hattrick-Simpers, J.R.; McGrath, K.; Sharma, P.C.; Goswami, D.Y.; Stefanakos, E.K. Effects of nano additives on hydrogen storage behavior of the multinary complex hydride LiBH4/LiNH2/MgH2. Int. J. Hydrogen Energy 2010, 35, 9646–9652. [Google Scholar] [CrossRef]
- Zhang, X.; Li, Z.; Lv, F.; Li, H.; Mi, J.; Wang, S.; Liu, X.; Jiang, L. Improved hydrogen storage performance of the LiNH2–MgH2–LiBH4 system by addition of ZrCo hydride. Int. J. Hydrogen Energy 2010, 35, 7809–7814. [Google Scholar] [CrossRef]
- Hu, J.; Pohl, A.; Wang, S.; Rothe, J.; Fichtner, M. Additive Effects of LiBH4 and ZrCoH3 on the Hydrogen Sorption of the Li-Mg-N-H Hydrogen Storage System. J. Phys. Chem. C 2012, 116, 20246–20253. [Google Scholar] [CrossRef]
- Yuan, H.; Zhang, X.; Li, Z.; Ye, J.; Guo, X.; Wang, S.; Liu, X.; Jiang, L. Influence of metal oxide on LiBH4/2LiNH2/MgH2 system for hydrogen storage properties. Int. J. Hydrogen Energy 2012, 37, 3292–3297. [Google Scholar] [CrossRef]
- Zhao, W.; Jiang, L.; Wu, Y.; Ye, J.; Yuan, B.; Li, Z.; Liu, X.; Wang, S. Improved dehydrogenation cycle performance of the 1.1MgH2–2LiNH2–0.1LiBH4 system by addition of LaNi4.5Mn0.5 alloy. J. Rare Earths 2015, 33, 783–790. [Google Scholar] [CrossRef]
- Li, Z.-N.; Qiu, H.-C.; Guo, X.-M.; Ye, J.-H.; Wang, S.-M.; Jiang, L.-J.; Du, J.; Cuevas, F. Hydrogen storage properties of Li–Mg–N–B–H/ZrCoH3 composite with different ball-milling atmospheres. Rare Metals 2017, 1–7. [Google Scholar] [CrossRef]
- Cao, H.; Zhang, W.; Pistidda, C.; Puszkiel, J.; Milanese, C.; Santoru, A.; Karimi, F.; Castro Riglos, M.V.; Gizer, G.; Welter, E.; et al. Kinetic alteration of the 6Mg(NH2)2–9LiH-LiBH4 system by co-adding YCl3 and Li3N. Phys. Chem. Chem. Phys. 2017, 19, 32105–32115. [Google Scholar] [CrossRef] [PubMed]
- Bürger, I.; Hu, J.J.; Vitillo, J.G.; Kalantzopoulos, G.N.; Deledda, S.; Fichtner, M.; Baricco, M.; Linder, M. Material properties and empirical rate equations for hydrogen sorption reactions in 2LiNH2–1.1MgH2–0.1LiBH4–3wt.% ZrCoH3. Int. J. Hydrogen Energy 2014, 39, 8283–8292. [Google Scholar] [CrossRef]
- Bürger, I.; Luetto, C.; Linder, M. Advanced reactor concept for complex hydrides: Hydrogen desorption at fuel cell relevant boundary conditions. Int. J. Hydrogen Energy 2014, 39, 7346–7355. [Google Scholar] [CrossRef]
- Baricco, M.; Bang, M.; Fichtner, M.; Hauback, B.; Linder, M.; Luetto, C.; Moretto, P.; Sgroi, M. SSH2S: Hydrogen storage in complex hydrides for an auxiliary power unit based on high temperature proton exchange membrane fuel cells. J. Power Sources 2017, 342, 853–860. [Google Scholar] [CrossRef]
- Yang, J.; Li, D.; Fu, H.; Xin, G.; Zheng, J.; Li, X. In situ hybridization of LiNH2-LiH-Mg(BH4)2 nano-composites: Intermediate and optimized hydrogenation properties. Phys. Chem. Chem. Phys. 2012, 14, 2857–2863. [Google Scholar] [CrossRef] [PubMed]
- Pan, H.; Shi, S.; Liu, Y.; Li, B.; Yang, Y.; Gao, M. Improved hydrogen storage kinetics of the Li-Mg-N-H system by addition of Mg(BH4)2. Dalton Trans. 2013, 42, 3802–3811. [Google Scholar] [CrossRef] [PubMed]
- Qiu, S.; Ma, X.; Wang, E.; Chu, H.; Huot, J.; Zou, Y.; Xiang, C.; Xu, F.; Sun, L. Enhanced hydrogen storage properties of 2LiNH2/MgH2 through the addition of Mg(BH4)2. J. Alloys Compd. 2017, 704, 44–50. [Google Scholar] [CrossRef]
- Li, B.; Liu, Y.; Gu, J.; Gu, Y.; Gao, M.; Pan, H. Mechanistic investigations on significantly improved hydrogen storage performance of the Ca(BH4)2-added 2LiNH2/MgH2 system. Int. J. Hydrogen Energy 2013, 38, 5030–5038. [Google Scholar] [CrossRef]
- Amica, G.; Cova, F.; Arneodo Larochette, P.; Gennari, F.C. Effective participation of Li4(NH2)3BH4 in the dehydrogenation pathway of the Mg(NH2)2–2LiH composite. Phys. Chem. Chem. Phys. 2016, 18, 17997–18005. [Google Scholar] [CrossRef] [PubMed]
- Amica, G.; Cova, F.; Arneodo Larochette, P.; Gennari, F.C. Two-controlling mechanisms model for hydrogen desorption in the Li4(NH2)3BH4 doped Mg(NH2)2–2LiH system. Int. J. Hydrogen Energy 2017, 42, 6127–6136. [Google Scholar] [CrossRef]
- Shukla, V.; Bhatnagar, A.; Soni, P.K.; Vishwakarma, A.K.; Shaz, M.A.; Yadav, T.P.; Srivastava, O.N. Enhanced hydrogen sorption in a Li-Mg-N-H system by the synergistic role of Li4(NH2)3BH4 and ZrFe2. Phys. Chem. Chem. Phys. 2017, 19, 9444–9456. [Google Scholar] [CrossRef] [PubMed]
- Gamba, N.S.; Amica, G.; Arneodo Larochette, P.; Gennari, F.C. Interaction between Li2Mg(NH)2 and CO: Effect on the hydrogen storage behavior of the Li4(NH2)3BH4 doped Mg(NH2)2–2LiH composite. Int. J. Hydrogen Energy 2017, 42, 6024–6032. [Google Scholar] [CrossRef]
- Cao, H.J.; Richter, T.M.M.; Pistidda, C.; Chaudhary, A.L.; Santoru, A.; Gizer, G.; Niewa, R.; Chen, P.; Klassen, T.; Dornheim, M. Ternary Amides Containing Transition Metals for Hydrogen Storage: A Case Study with Alkali Metal Amidozincates. Chemsuschem 2015, 8, 3777–3782. [Google Scholar] [CrossRef] [PubMed]
- Cao, H.J.; Santoru, A.; Pistidda, C.; Richter, T.M.M.; Chaudhary, A.L.; Gizer, G.; Niewa, R.; Chen, P.; Klassen, T.; Dornheim, M. New synthesis route for ternary transition metal amides as well as ultrafast amide-hydride hydrogen storage materials. Chem. Commun. 2016, 52, 5100–5103. [Google Scholar] [CrossRef] [PubMed]
- Cao, H.J.; Pistidda, C.; Richter, T.M.M.; Santoru, A.; Milanese, C.; Garroni, S.; Bednarcik, J.; Chaudhary, A.L.; Gizer, G.; Liermann, H.P.; et al. In Situ X-ray Diffraction Studies on the De/rehydrogenation Processes of the K-2 Zn(NH2)4-8LiH System. J. Phys. Chem. C 2017, 121, 1546–1551. [Google Scholar] [CrossRef]
- Jepsen, L.H.; Wang, P.; Wu, G.; Xiong, Z.; Besenbacher, F.; Chen, P.; Jensen, T.R. Thermal decomposition of sodium amide, NaNH2, and sodium amide hydroxide composites, NaNH2-NaOH. Phys. Chem. Chem. Phys. 2016, 18, 25257–25264. [Google Scholar] [CrossRef] [PubMed]
- Jain, A.; Miyaoka, H.; Ichikawa, T. Two-Peak Mystery of LiNH2–NaH Dehydrogenation Is Solved? A Study of the Analogous Sodium Amide/Lithium Hydride System. J. Phys. Chem. C 2016, 120, 27903–27909. [Google Scholar] [CrossRef]
- Sheppard, D.A.; Paskevicius, M.; Buckley, C.E. Hydrogen Desorption from the NaNH2−MgH2 System. J. Phys. Chem. C 2011, 115, 8407–8413. [Google Scholar] [CrossRef]
- Dolotko, O.; Paulson, N.; Pecharsky, V.K. Thermochemical transformations in 2MNH2–3MgH2 systems (M = Li or Na). Int. J. Hydrogen Energy 2010, 35, 4562–4568. [Google Scholar] [CrossRef]
- Yamaguchi, S.; Miyaoka, H.; Ichikawa, T.; Kojima, Y. Thermal decomposition of sodium amide. Int. J. Hydrogen Energy 2017, 42, 5213–5219. [Google Scholar] [CrossRef]
- Garroni, S.; Delogu, F.; Bonatto Minella, C.; Pistidda, C.; Cuesta-Lopez, S. Mechanically activated metathesis reaction in NaNH2–MgH2 powder mixtures. J. Mater. Sci. 2017, 52, 11891–11899. [Google Scholar] [CrossRef]
- Pireddu, G.; Valentoni, A.; Minella, C.B.; Pistidda, C.; Milanese, C.; Enzo, S.; Mulas, G.; Garroni, S. Comparison of the thermochemical and mechanochemical transformations in the 2NaNH2–MgH2 system. Int. J. Hydrogen Energy 2015, 40, 1829–1835. [Google Scholar] [CrossRef]
- Singh, N.K.; Kobayashi, T.; Dolotko, O.; Wiench, J.W.; Pruski, M.; Pecharsky, V.K. Mechanochemical transformations in NaNH2-MgH2 mixtures. J. Alloys Compd. 2012, 513, 324–327. [Google Scholar] [CrossRef]
- Xiong, Z.; Hu, J.; Wu, G.; Chen, P. Hydrogen absorption and desorption in Mg–Na–N–H system. J. Alloys Compd. 2005, 395, 209–212. [Google Scholar] [CrossRef]
- Jain, A.; Kumar, S.; Miyaoka, H.; Zhang, T.; Isobe, S.; Ichikawa, T.; Kojima, Y. Ammonia suppression during decomposition of sodium amide by the addition of metal hydride. Int. J. Hydrogen Energy 2017, 42, 22388–22394. [Google Scholar] [CrossRef]
- Morelle, F.; Jepsen, L.H.; Jensen, T.R.; Sharma, M.; Hagemann, H.; Filinchuk, Y. Reaction Pathways in Ca(BH4)2–NaNH2 and Mg(BH4)2–NaNH2 Hydrogen-Rich Systems. J. Phys. Chem. C 2016, 120, 8428–8435. [Google Scholar] [CrossRef]
- Bai, Y.; Zhao, L.-L.; Wang, Y.; Liu, X.; Wu, F.; Wu, C. Light-weight NaNH2–NaBH4 hydrogen storage material synthesized via liquid phase ball milling. Int. J. Hydrogen Energy 2014, 39, 13576–13582. [Google Scholar] [CrossRef]
- Wu, C.; Bai, Y.; Yang, J.-h.; Wu, F.; Long, F. Characterizations of composite NaNH2–NaBH4 hydrogen storage materials synthesized via ball milling. Int. J. Hydrogen Energy 2012, 37, 889–893. [Google Scholar] [CrossRef]
- Pei, Z.-W.; Wu, C.; Bai, Y.; Liu, X.; Wu, F. NaNH2–NaBH4 hydrogen storage composite materials synthesized via liquid phase ball-milling: Influence of Co–Ni–B catalyst on the dehydrogenation performances. Int. J. Hydrogen Energy 2017, 42, 14725–14733. [Google Scholar] [CrossRef]
- Lu, J.; Fang, Z.Z. Dehydrogenation of a Combined LiAlH4/LiNH2 System. J. Phys. Chem. B 2005, 109, 20830–20834. [Google Scholar] [CrossRef] [PubMed]
- Jepsen, L.H.; Wang, P.; Wu, G.; Xiong, Z.; Besenbacher, F.; Chen, P.; Jensen, T.R. Synthesis and decomposition of Li3Na(NH2)4 and investigations of Li-Na-N-H based systems for hydrogen storage. Phys. Chem. Chem. Phys. 2016, 18, 1735–1742. [Google Scholar] [CrossRef] [PubMed]
- Chua, Y.S.; Wu, G.; Xiong, Z.; Chen, P. Investigations on the solid state interaction between LiAlH4 and NaNH2. J. Solid State Chem. 2010, 183, 2040–2044. [Google Scholar] [CrossRef]
- Dolotko, O.; Zhang, H.; Ugurlu, O.; Wiench, J.W.; Pruski, M.; Scott Chumbley, L.; Pecharsky, V. Mechanochemical transformations in Li(Na)AlH4–Li(Na)NH2 systems. Acta Mater. 2007, 55, 3121–3130. [Google Scholar] [CrossRef]











| Composition | ΔH kJ/(mol H2) | ΔS J/(mol K) | Ea kJ/mol | Hydrogen Content—wt. % (Desorption Working Temperature and Time) | Ref. |
|---|---|---|---|---|---|
| 2LiNH2 + MgH2 | 65.0 | - | 119.0 | 2.8 (210 °C, 250 min) | [66] |
| 65.8 | 119.0 | - | [65] | ||
| 1.9LiNH2 + 1.1MgH2 + 0.1KH | 42.0 | - | 87.0 | 5.4 (210 °C, 250 min) | [65] |
| 5.0 (210 °C, 50 min) | |||||
| 1.9LiNH2 + 1.1MgH2 + 0.1RbH | 42.7 | - | 86.8 | 5.5 (210 °C, 50 min) | [65] |
| 1.9LiNH2 + 1.1MgH2 + 0.1CsH | 45.7 | - | 109.1 | 5.0 (210 °C, 100 min) | [66] |
| 4.4 (210 °C, 50 min) | |||||
| 2LiNH2 + MgH2 + 0.1LiBH4 | - | - | 156 | 2.5 (180 °C, 180 min) | [145] |
| 2LiNH2 + MgH2 + 0.1LiBH4 + 4 wt. % ZrFe2 | 54.0 | 159.6 | 135 | 4 (180 °C, 180 min) | [145] |
| 2LiNH2 + MgH2 + 0.1LiBH4 + 3 wt. % ZrCoH3 | 45.0 | 124.0 | 131.8 | 4.1 (150 °C, 450 min) | [131,136] |
| 79.9 | 4.5 (150 °C, 350 min) | [134] | |||
| Mg(NH2)2 + 2LiH | 38.9 | 112.0 | 102.0 | 5.0 (200 °C) | [79] |
| 41.6 | 112.2 | 2.6 (140 °C, 400 min) | [140] | ||
| 6Mg(NH2)2 + 9LiH | 40.1 | 113.3 | - | 2.8 (146 °C, 500 min) | [119] |
| 4.4 (81 °C) * | |||||
| 6Mg(NH2)2 + 9LiH + 3/2LiI | 33.3 | 99.9 | - | 2.4 (146 °C, 500 min) | [119] |
| 3.0 (60 °C) * | |||||
| 6Mg(NH2)2 + 9LiH + 3LiBr | 31.9 | 99.5 | - | 1.8 (146 °C, 500 min) | [119] |
| 2.7 (48 °C) * | |||||
| 6Mg(NH2)2 + 9LiH + LiBH4 | 35.8 | 106.2 | - | 4.0 (146 °C, 500 min) | [119,135] |
| 4.0 (174 °C-15 cycles) | |||||
| 4.2 (64 °C) * | |||||
| 6Mg(NH2)2 + 9LiH + 3LiBH4 | - | - | 109.0 | 3.8 (143 °C, 220 min) | [121] |
| 6Mg(NH2)2 + 9LiH + 6LiBH4 | - | - | 86.0 | 3.3 (143 °C, 220 min) | [121] |
| 6Mg(NH2)2 + 9LiH + 12LiBH4 | 24 | 92 | 76.0 | 2.6 (98 °C, 140 h) | [121,122] |
| 2.6 (108 °C, 40 h) | |||||
| 2.6 (143 °C, 8 h) | |||||
| 2.7 (RT) * | |||||
| 6Mg(NH2)2 + 9LiH + LiBH4 + 2 wt. % YCl3 | - | - | 130.0 | 1.9 (140 °C, 800 min) | [135] |
| 6Mg(NH2)2 + 9LiH + LiBH4+5 wt. % Li3N | - | - | 134.0 | 1.9 (140 °C, 800 min) | [135] |
| 6Mg(NH2)2 + 9LiH + LiBH4 + 2 wt. % YCl3 + 5 wt. % Li3N | - | - | 128.0 | 2.1 (140 °C, 800 min) | [135] |
| Mg(NH2)2 + 2LiH + 0.1LiBH4 | 36.5 | 105.6 | - | 4.3 (140 °C, 400 min) | [96] |
| Mg(NH2)2 + 2LiH + 0.2LiBH4 | 38.5 | - | 101.4 | 3.7 (140 °C, 400 min) | [140] |
| Mg(NH2)2 + 2LiH + 0.1Mg(BH4)2 | 36.7 | - | 99.7 | 4.1 (140 °C, 400 min) | [140] |
| Mg(NH2)2 + 2LiH + 0.2MgNH | - | - | 105.5 | 3.1 (140 °C, 400 min) | [140] |
| Mg(NH2)2 + 1.9LiH + 0.1KH | 42.0 | - | - | 4.8 (163 °C, 50 min) | [93] |
| Mg(NH2)2 + 2LiH + 0.08KF | 39.4 | - | - | 4.3 (150 °C, 150 min) | [104] |
| Mg(NH2)2 + 2LiH + 0.08RbF | 39.3 | - | - | 3.6 (130 °C, 350 min) | [107] |
| Mg(NH2)2 + 2LiH + 0.04KH + 0.04RbH | 38.0 | - | - | 3.8 (130 °C, 350 min) | [89] |
| Li2Mg(NH)2@CNFs | 35.7 | 100.2 | 2.0 (130 °C, 50 min) | [111] |
| Materials | LiNH2 | LiH | MgH2 | LiBH4 |
|---|---|---|---|---|
| Purity (%) | 95 (Alfa Aesar) 95 | 97 (Alfa Aesar) | 95% (Albemarle) | 95 (Acros Organics) |
| Price (€/kg) | 348 | 483 | 600 | 7980 |
© 2018 by the authors. Licensee MDPI, Basel, Switzerland. This article is an open access article distributed under the terms and conditions of the Creative Commons Attribution (CC BY) license (http://creativecommons.org/licenses/by/4.0/).
Share and Cite
Garroni, S.; Santoru, A.; Cao, H.; Dornheim, M.; Klassen, T.; Milanese, C.; Gennari, F.; Pistidda, C. Recent Progress and New Perspectives on Metal Amide and Imide Systems for Solid-State Hydrogen Storage. Energies 2018, 11, 1027. https://doi.org/10.3390/en11051027
Garroni S, Santoru A, Cao H, Dornheim M, Klassen T, Milanese C, Gennari F, Pistidda C. Recent Progress and New Perspectives on Metal Amide and Imide Systems for Solid-State Hydrogen Storage. Energies. 2018; 11(5):1027. https://doi.org/10.3390/en11051027
Chicago/Turabian StyleGarroni, Sebastiano, Antonio Santoru, Hujun Cao, Martin Dornheim, Thomas Klassen, Chiara Milanese, Fabiana Gennari, and Claudio Pistidda. 2018. "Recent Progress and New Perspectives on Metal Amide and Imide Systems for Solid-State Hydrogen Storage" Energies 11, no. 5: 1027. https://doi.org/10.3390/en11051027
APA StyleGarroni, S., Santoru, A., Cao, H., Dornheim, M., Klassen, T., Milanese, C., Gennari, F., & Pistidda, C. (2018). Recent Progress and New Perspectives on Metal Amide and Imide Systems for Solid-State Hydrogen Storage. Energies, 11(5), 1027. https://doi.org/10.3390/en11051027

