An Algorithm for Online Inertia Identification and Load Torque Observation via Adaptive Kalman Observer-Recursive Least Squares
Abstract
1. Introduction
2. Design of the Kalman Observer
3. Inertia Identification by RLS Estimator and Original KO-RLS
3.1. Inertia Identification by RLS
3.2. Details about KO-RLS
4. Proposed AKO-RLS Algorithm
4.1. Design of the Adaptive Algorithm in KO
4.2. Design of the Adaptive Algorithm in RLS
5. Sensitivity Analysis of the Proposed Algorithm
6. Simulation and Experiment
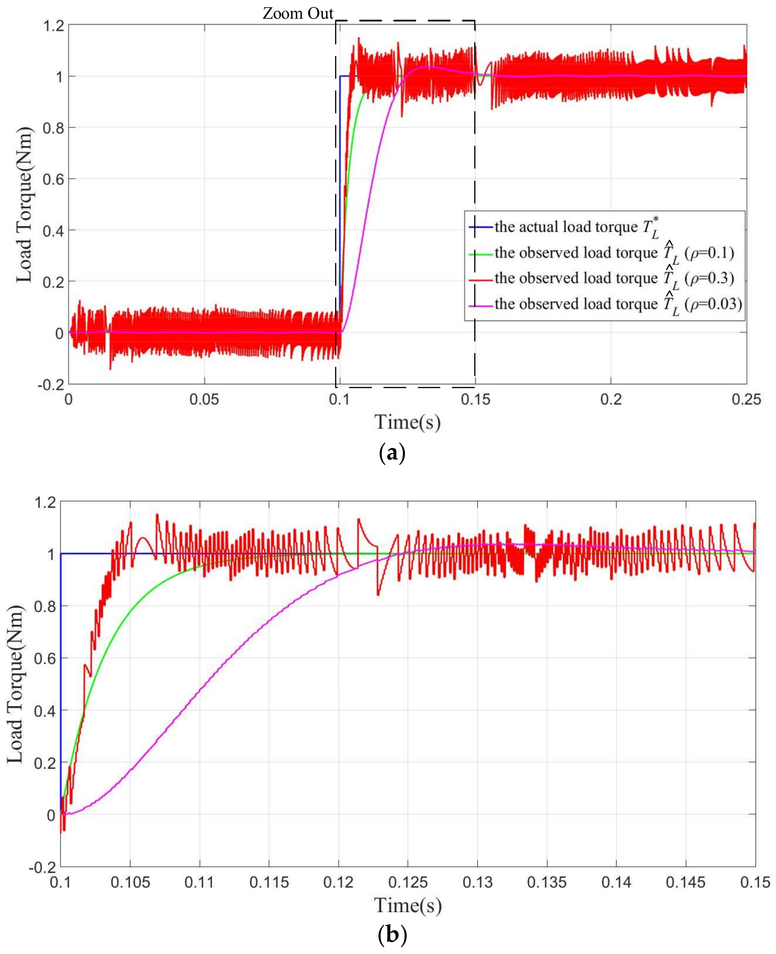
6.1. Simulation Analysis
6.2. Experimental Analysis
7. Conclusions
Acknowledgments
Author Contributions
Conflicts of Interest
References
- Xia, C.; Wang, S.; Gu, X.; Yan, Y.; Shi, T. Direct Torque Control for VSI-PMSM Using Vector Evaluation Factor Table. IEEE Trans. Ind. Electron. 2016, 63, 4571–4583. [Google Scholar] [CrossRef]
- Lin, F.J.; Hung, Y.C.; Tsai, M.T. Fault-Tolerant Control for Six-Phase PMSM Drive System via Intelligent Complementary Sliding-Mode Control Using TSKFNN-AMF. IEEE Trans. Ind. Electron. 2013, 60, 5747–5762. [Google Scholar] [CrossRef]
- Kommuri, S.K.; Defoort, M.; Karimi, H.R.; Veluvolu, K.C. A Robust Observer-Based Sensor Fault-Tolerant Control for PMSM in Electric Vehicles. IEEE Trans. Ind. Electron. 2016, 63, 7671–7681. [Google Scholar] [CrossRef]
- Ahmed, A.; Sozer, Y.; Hamdan, M. Maximum Torque per Ampere Control for Buried Magnet PMSM Based on DC-Link Power Measurement. IEEE Trans. Ind. Electron. 2017, 32, 1299–1311. [Google Scholar] [CrossRef]
- Lee, K.; Ahmed, S.; Lukic, S.M. Universal Restart Strategy for High-Inertia Scalar-Controlled PMSM Drives. IEEE Trans. Ind. Appl. 2016, 52, 4001–4009. [Google Scholar] [CrossRef]
- Liu, K.; Zhu, Z. Fast Determination of Moment of Inertia of Permanent Magnet Synchronous Machine Drives for Design of Speed Loop Regulator. IEEE Trans. Control Syst. Technol. 2017, 25, 1816–1824. [Google Scholar] [CrossRef]
- Zhang, G. Speed control of two-inertia system by PI/PID control. IEEE Trans. Ind. Electron. 2000, 47, 603–609. [Google Scholar] [CrossRef]
- She, J.H.; Fang, M.; Ohyama, Y.; Hashimoto, H.; Wu, M. Improving Disturbance-Rejection Performance Based on an Equivalent-Input-Disturbance Approach. IEEE Trans. Ind. Electron. 2008, 55, 380–389. [Google Scholar] [CrossRef]
- O’Sullivan, T.M.; Bingham, C.M.; Schofield, N. Observer-Based Tuning of Two-Inertia Servo-Drive Systems with Integrated SAW Torque Transducers. IEEE Trans. Ind. Electron. 2007, 54, 1080–1091. [Google Scholar] [CrossRef]
- Andoh, F. Moment of Inertia Identification Using the Time Average of the Product of Torque Reference Input and Motor Position. IEEE Trans. Ind. Electron. 2007, 22, 2534–2542. [Google Scholar] [CrossRef]
- Babau, R.; Boldea, I.; Miller, T.J.E.; Muntean, N. Complete Parameter Identification of Large Induction Machines from No-Load Acceleration–Deceleration Tests. IEEE Trans. Ind. Electron. 2007, 54, 1962–1972. [Google Scholar] [CrossRef]
- Kim, N.-J.; Moon, H.-S.; Hyun, D.-S. Inertia identification for the speed observer of the low speed control of induction machines. IEEE Trans. Ind. Appl. 1996, 32, 1371–1379. [Google Scholar]
- Shi, T.; Wang, Z.; Xia, C. Speed Measurement Error Suppression for PMSM Control System Using Self-Adaption Kalman Observer. IEEE Trans. Ind. Electron. 2015, 62, 2753–2763. [Google Scholar] [CrossRef]
- Xiaoquan, L.; Heyun, L.; Junlin, H. Load disturbance observer-based control method for sensorless PMSM drive. IET Electr. Power Appl. 2016, 10, 735–743. [Google Scholar] [CrossRef]
- Ouhrouche, M.; Errouissi, R.; Trzynadlowski, A.M.; Tehrani, K.A.; Benzaioua, A. A Novel Predictive Direct Torque Controller for Induction Motor Drives. IEEE Trans. Ind. Electron. 2016, 63, 5221–5230. [Google Scholar] [CrossRef]
- Huang, W.S.; Liu, C.W.; Hsu, P.L.; Yeh, S.S. Precision Control and Compensation of Servomotors and Machine Tools via the Disturbance Observer. IEEE Trans. Ind. Electron. 2010, 57, 420–429. [Google Scholar] [CrossRef]
- Choi, J.W.; Lee, S.C.; Kim, H.G. Inertia identification algorithm for high-performance speed control of electric motors. IEE Proc. Electr. Power Appl. 2006, 153, 379–386. [Google Scholar] [CrossRef]
- Li, S.; Liu, Z. Adaptive Speed Control for Permanent-Magnet Synchronous Motor System with Variations of Load Inertia. IEEE Trans. Ind. Electron. 2009, 56, 3050–3059. [Google Scholar]
- Niu, L.; Xu, D.; Yang, M.; Gui, X.; Liu, Z. On-line Inertia Identification Algorithm for PI Parameters Optimization in Speed Loop. IEEE Trans. Power Electron. 2015, 30, 849–859. [Google Scholar] [CrossRef]
- Yin, Z.G.; Zhao, C.; Zhong, Y.R.; Liu, J. Research on Robust Performance of Speed-Sensorless Vector Control for the Induction Motor Using an Interfacing Multiple-Model Extended Kalman Filter. IEEE Trans. Power Electron. 2014, 29, 3011–3019. [Google Scholar] [CrossRef]
- Alonge, F.; Cirrincione, M.; D’Ippolito, F.; Pucci, M.; Sferlazza, A.; Vitale, G. Descriptor-Type Kalman Filter and TLS EXIN Speed Estimate for Sensorless Control of a Linear Induction Motor. IEEE Trans. Ind. Appl. 2014, 50, 3754–3766. [Google Scholar] [CrossRef]
- Antonello, R.; Ito, K.; Oboe, R. Acceleration Measurement Drift Rejection in Motion Control Systems by Augmented-State Kinematic Kalman Filter. IEEE Trans. Ind. Electron. 2016, 63, 1953–1961. [Google Scholar] [CrossRef]
- Kweon, T.-J.; Hyun, D.-S. High-performance speed control of electric machine using low-precision shaft encoder. IEEE Trans. Power Electron. 1999, 14, 838–849. [Google Scholar] [CrossRef]
- Lin, F.J. Robust speed-controlled induction-motor drive using EKF and RLS estimators. IEE Proc. Electr. Power Appl. 1996, 143, 186–192. [Google Scholar] [CrossRef]
- Sayed, A.H. Fundamentals of Adaptive Filtering; Wiley: New York, NY, USA, 2003. [Google Scholar]
- Leung, S.-H.; So, C.F. Gradient-based variable forgetting factor RLS algorithm in time-varying environments. IEEE Trans. Signal Process. 2005, 53, 3141–3150. [Google Scholar] [CrossRef]
- Zarei, J.; Shokri, E. Convergence analysis of non-linear filtering based on cubature Kalman filter. IET Sci. Meas. Technol. 2015, 9, 294–305. [Google Scholar] [CrossRef]
- Cortesao, R.; Koeppe, R.; Nunes, U.; Hirzinger, G. Compliant motion control with stochastic active observers. In Proceedings of the 2001 IEEE/RSJ International Conference on Intelligent Robots and Systems, Maui, HI, USA, 29 October–3 November 2001; Volume 4, pp. 1876–1881. [Google Scholar]











| KO-RLS Algorithm | |
|---|---|
| 1 | k ← 0 |
| 2 | Set original states for KO: KO ← P(0), X(0), , B, H, Q(0), R |
| 3 | Set original states for RLS: RLS ← , , , |
| 4 | While (1) |
| 5 | Read inputs: , |
| 6 | calculate , , by KO in (7), (8), (9) |
| 7 | calculate , , by RLS in (12), (13) |
| 8 | if then |
| 9 | ← |
| 10 | ← , |
| 11 | output: , , , |
| 12 | k ← k +1 |
| AKO-RLS Integration Algorithm | |
|---|---|
| 1 | k ← 0 |
| 2 | Set original states for KO: KO ← P(0), X(0), , B, H, Q(0), R |
| 3 | Set original states for RLS: RLS ← , , , |
| 4 | While (1) |
| 5 | Read inputs: , |
| 6 | calculate , , by AKO in (7), (8), (9) |
| 7 | calculate , , by RLS in (12), (13) |
| 8 | calculate , , , in (18) |
| 9 | if then |
| 10 | |
| 11 | ← |
| 12 | ← , |
| 13 | else |
| 14 | |
| 15 | output: , , , |
| 16 | k ← k +1 |
| Parameter | Quantity |
|---|---|
| Rated Power | 750 W |
| Rated Torque | 2.39 Nm |
| Rated Speed | 3000 r/min |
| Rated current | 4.8 A |
| Pole-pairs number | 4 |
| Moment of inertia J with Loading motor | 5.2 × 10−4 kg·m2 |
| Values under Different Methods | Speed Command | Final Values (Steady State) | ||
|---|---|---|---|---|
| AKO-RLS | repeated | 7.8% | 8.2% | |
| speed | 4.5% | 3.9% | ||
| KO-RLS | step | 8.7% | 8.9% | |
| command | 19.2% | 12.8% | ||
| Values under Different Methods | Speed Command | Final Values (Steady State) | ||
|---|---|---|---|---|
| AKO-RLS | Random | 8.5% | 8.6% | |
| speed | 4.5% | 5.4% | ||
| KO-RLS | step | 8.6% | 8.8% | |
| command | 20.8% | 12.8% | ||
© 2018 by the authors. Licensee MDPI, Basel, Switzerland. This article is an open access article distributed under the terms and conditions of the Creative Commons Attribution (CC BY) license (http://creativecommons.org/licenses/by/4.0/).
Share and Cite
Yang, M.; Liu, Z.; Long, J.; Qu, W.; Xu, D. An Algorithm for Online Inertia Identification and Load Torque Observation via Adaptive Kalman Observer-Recursive Least Squares. Energies 2018, 11, 778. https://doi.org/10.3390/en11040778
Yang M, Liu Z, Long J, Qu W, Xu D. An Algorithm for Online Inertia Identification and Load Torque Observation via Adaptive Kalman Observer-Recursive Least Squares. Energies. 2018; 11(4):778. https://doi.org/10.3390/en11040778
Chicago/Turabian StyleYang, Ming, Zirui Liu, Jiang Long, Wanying Qu, and Dianguo Xu. 2018. "An Algorithm for Online Inertia Identification and Load Torque Observation via Adaptive Kalman Observer-Recursive Least Squares" Energies 11, no. 4: 778. https://doi.org/10.3390/en11040778
APA StyleYang, M., Liu, Z., Long, J., Qu, W., & Xu, D. (2018). An Algorithm for Online Inertia Identification and Load Torque Observation via Adaptive Kalman Observer-Recursive Least Squares. Energies, 11(4), 778. https://doi.org/10.3390/en11040778
