Brazilian Tensile Strength of Anisotropic Rocks: Review and New Insights
Abstract
1. Introduction
2. Overview of the BDT for Anisotropic Rocks
2.1. Anisotropic Degrees of “BtS” for Anisotropic Rocks
2.2. Variations of “BtS” with Loading Direction
2.3. Typical Failure Modes
3. Modeling of “BtS” for Anisotropic Rocks
3.1. Stress Distribution
3.2. Modeling of “BtS” under Tensile Failure Modes
3.3. Modeling of “BtS” under Shear Failure Modes
3.3.1. Anisotropic Shear Criterion
3.3.2. Solution Method of “BtS” under Shear Failure Modes
3.4. Modeling of Integrated “BtS” for Anisotropic Rocks
4. Results and Discussions
4.1. Model Validation for Longmaxi Shale-I
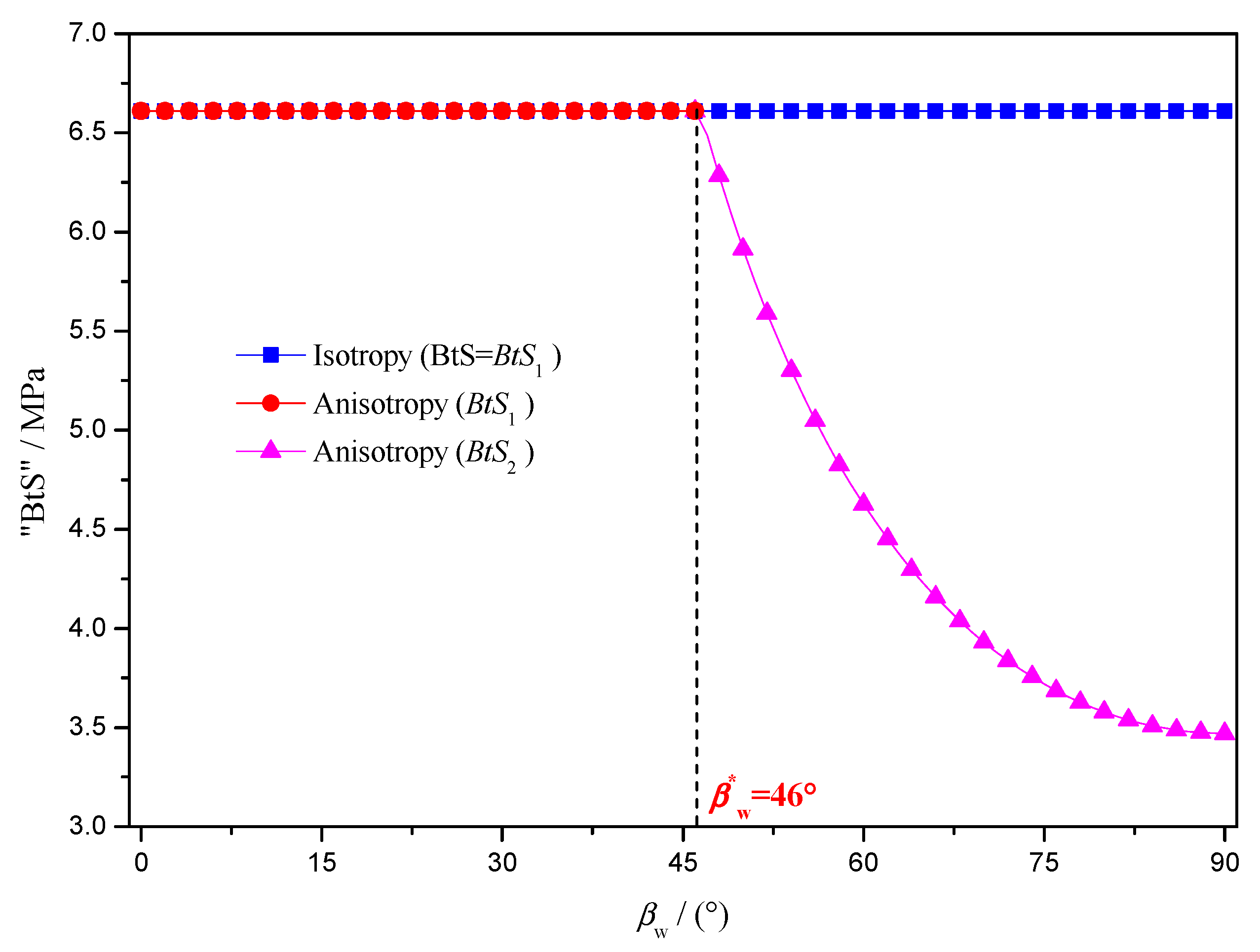
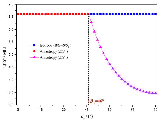
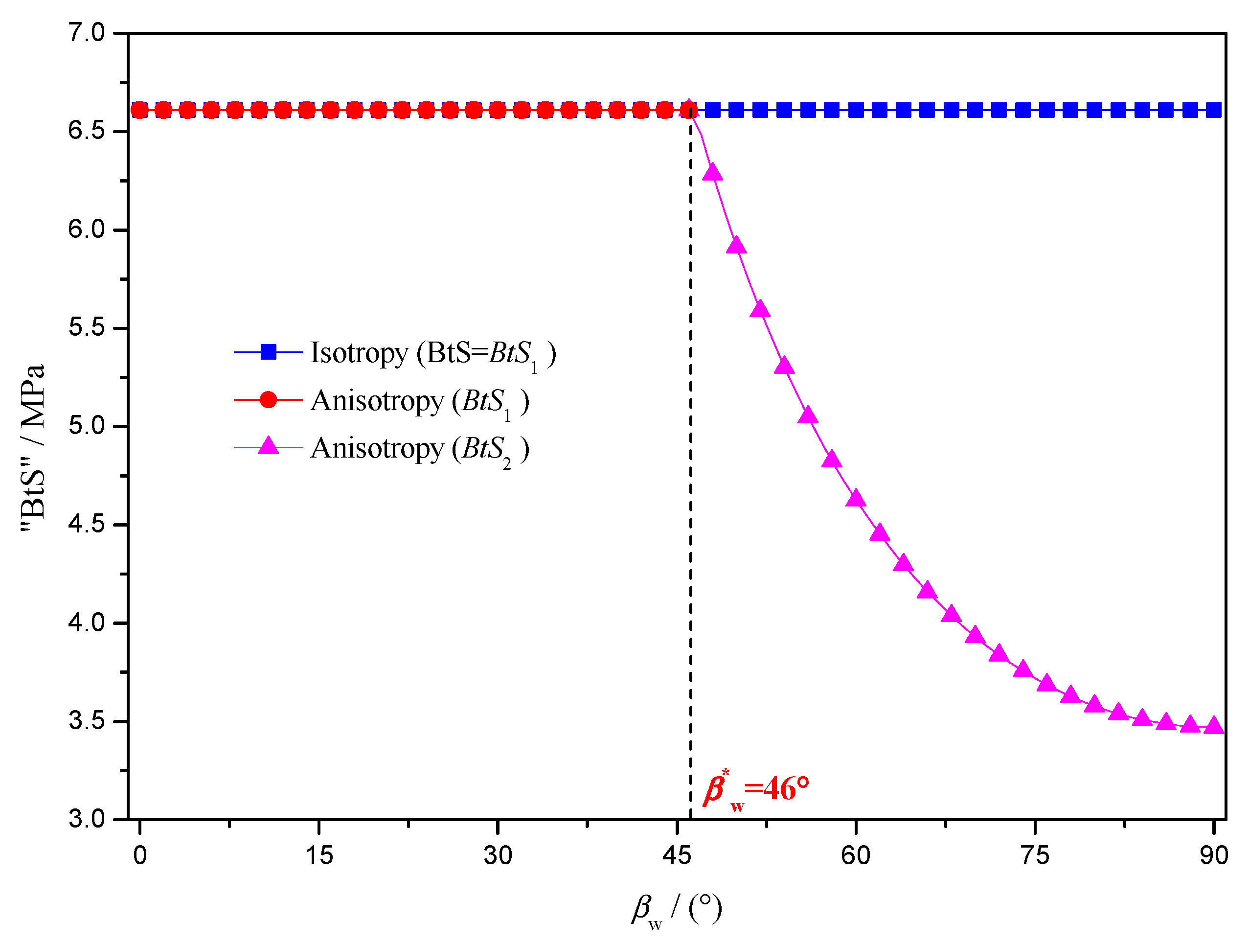
4.1.1. Calculation of BtS1(βw) and BtS2(βw)
4.1.2. Calculation of BtS3(βw) and BtS4(βw)
4.1.3. Comparison of Integrated “BtS” with Test Results
4.1.4. Comparison of Failure Modes between Simulated and Test Results
4.2. Model Generalization and Further Validation
4.2.1. Model Generalization
4.2.2. Model Validation for Jixi Coal
4.3. Discussion
5. Conclusions
Acknowledgments
Author Contributions
Conflicts of Interest
List of Symbols
| AI | The anisotropic index |
| BtSmax | The maximum “BtS”, MPa |
| BtSmin | The minimum “BtS”, MPa |
| P | The line load, N |
| D | The diameter of the disc, mm |
| t | The thickness of the disc, mm |
| r1, r2 | The distances from arbitrary point to the upper and lower loading points respectively, mm |
| θ1, θ2 | The intersection angle between loading position and the ligature form arbitrary point to the upper and lower loading points respectively, (°) |
| x, y | The rectangular coordinates of the arbitrary point, mm |
| σXX, σYY | The stress along X and Y axis respectively, MPa |
| τXY | The shear stress, MPa |
| σxx, σyy | The stress along x and y axis respectively, MPa |
| τxy | The shear stress, MPa |
| βw | The complementary angles of foliation-loading angle, (°) |
| σ1 | The maximum principal stress, MPa |
| σ3 | The minimum principal stress, MPa |
| βf | The potential failure direction of rock, (°) |
| σnw | The normal tensile stress load on the surface of weakness planes, MPa |
| Tw | The tensile strength of weakness planes, MPa |
| β*w | The critical angle, (°) |
| BtS1(βw) | The calculated “BtS” for tensile failure across the weakness planes, MPa. |
| BtS2(βw) | The calculated “BtS” for tensile failure along the weakness planes, MPa. |
| τ0 | The resultant shear stress load on the shear plane, MPa |
| τw | The resultant shear stress load on the surface of the WPs, MPa |
| σn0 | The resultant effective normal stress load on the shear plane, MPa |
| σnw | The resultant effective normal stress load on the surface of the WPs, MPa |
| c0 | The cohesion of the intact rock, MPa |
| cw | The cohesion of the weakness planes, MPa |
| φ0 | The internal friction angle of the intact rock, (°) |
| φw | The internal friction angle of the weakness planes, (°) |
| f[BtS3(βw)] | The additional cohesion to prevent the shear failure of intact rock, MPa |
| f[BtS4(βw)] | The additional cohesion to prevent the shear failure along the weakness planes, MPa |
| BtS3(βw) | The calculated “BtS” for shear failure across the weakness planes, MPa |
| BtS4(βw) | The calculated “BtS” for shear failure along the weakness planes, MPa |
| r | The radial distance from the central point of the disc, mm |
| a | The radial ratio of the solution domain on the disc, 0 ≤ a ≤ 1, dimensionless |
| , | The resultant shear stress load on the surface of the weakness plane No. 1 and i respectively, MPa |
| , | The resultant normal stress load on the surface of the weakness plane No. 1 and i respectively, MPa |
| , | The cohesion of weakness plane No. 1 and i respectively, MPa |
| , | The internal friction angle of weakness plane No. 1 and i respectively, (°) |
Abbreviations
| DTT | Direct Tensile Test |
| ITT | Indirect Tensile Test |
| BDT | Brazilian Disc Test |
| ITS | Indirect Tensile Strength |
| BTS | Brazilian Tensile Strength |
| “BtS” | Brazilian test Strength |
| SPW | Single Plane of Weakness |
Appendix A. Classical Theories of BDT
References
- Jaeger, J.C.; Cook, N.G.W.; Zimmerman, R.W. Fundamentals of Rock Mechanics, 4th ed.; Blackwell Publishing: Hoboken, NJ, USA, 2007. [Google Scholar]
- Cho, J.W.; Kim, H.; Jeon, S.; Min, K.B. Deformation and strength anisotropy of Asan gneiss, Boryeong shale, and Yeoncheon schist. Int. J. Rock Mech. Min. Sci. 2012, 50, 158–169. [Google Scholar] [CrossRef]
- Wittke, W. Rock Mechanics Based on an Anisotropic Jointed Rock Model (AJRM); Wilhelm Ernst & Sohn: Weinheim, Germany, 2014. [Google Scholar]
- Fereidooni, D.; Khanlari, G.R.; Heidari, M.; Sepahi-Gero, A.A.; Kolahi-Azar, A.P. Assessment of inherent anisotropy and confining pressure influences on mechanical behavior of anisotropic foliated rocks under triaxial compression. Rock Mech. Rock Eng. 2016, 49, 2155–2163. [Google Scholar] [CrossRef]
- Aadnoy, B.; Looyeh, R. Petroleum Rock Mechanics: Drilling Operations and Well Design; Gulf Professional Publishing: Houston, TX, USA, 2011. [Google Scholar]
- Ma, T.; Chen, P. Study of meso-damage characteristics of shale hydration based on CT scanning technology. Pet. Explor. Dev. 2014, 41, 249–256. [Google Scholar] [CrossRef]
- Ma, T.; Chen, P. A wellbore stability analysis model with chemical-mechanical coupling for shale gas reservoirs. J. Nat. Gas Sci. Eng. 2015, 26, 72–98. [Google Scholar] [CrossRef]
- Chen, P.; Han, Q.; Ma, T.S.; Lin, D. The mechanical properties of shale based on micro-indentation test. Pet. Explor. Dev. 2015, 42, 723–732. [Google Scholar] [CrossRef]
- Heng, S.; Guo, Y.; Yang, C.; Daemen, J.J.K.; Li, Z. Experimental and theoretical study of the anisotropic properties of shale. Int. J. Rock Mech. Min. Sci. 2015, 74, 58–68. [Google Scholar] [CrossRef]
- Ma, T.; Chen, P.; Yang, C.; Zhao, J. Wellbore stability analysis and well path optimization based on the breakout width model and Mogi-Coulomb criterion. J. Pet. Sci. Eng. 2015, 135, 678–701. [Google Scholar] [CrossRef]
- Ma, T.; Zhang, Q.B.; Chen, P.; Yang, C.; Zhao, J. Fracture pressure model for inclined wells in layered formations with anisotropic rock strengths. J. Pet. Sci. Eng. 2017, 149, 393–408. [Google Scholar] [CrossRef]
- Ma, T.; Wu, B.; Fu, J.; Zhang, Q.; Chen, P. Fracture pressure prediction for layered formations with anisotropic rock strengths. J. Nat. Gas Sci. Eng. 2017, 38, 485–503. [Google Scholar] [CrossRef]
- Amadei, B.; Orszag, S.A. Rock Anisotropy and the Theory of Stress Measurements; Springer: Berlin/Heidelberg, Germany, 1983. [Google Scholar]
- Jaeger, J.C. Shear failure of anisotropic rocks. Geol. Mag. 1960, 97, 65–72. [Google Scholar] [CrossRef]
- Jaeger, J.C. Friction of rocks and stability of rock slopes. Geotechnique 1971, 21, 97–134. [Google Scholar] [CrossRef]
- Lisjak, A.; Tatone, B.S.A.; Grasselli, G.; Vietor, T. Numerical modelling of the anisotropic mechanical behaviour of Opalinus Clay at the laboratory-scale using FEM/DEM. Rock Mech. Rock Eng. 2014, 47, 187–206. [Google Scholar] [CrossRef]
- Khanlari, G.; Rafiei, B.; Abdilor, Y. An experimental investigation of the Brazilian tensile strength and failure patterns of laminated sandstones. Rock Mech. Rock Eng. 2015, 48, 843–852. [Google Scholar] [CrossRef]
- Khanlari, G.R.; Heidari, M.; Sepahigero, A.A.; Fereidooni, D. Quantification of strength anisotropy of metamorphic rocks of the Hamedan province, Iran, as determined from cylindrical punch, point load and Brazilian tests. Eng. Geol. 2014, 169, 80–90. [Google Scholar] [CrossRef]
- Khanlari, G.R.; Heidari, M.; Sepahi-Gero, A.A.; Fereidooni, D. Determination of geotechnical properties of anisotropic rocks using some index tests. Geotech. Test. J. 2014, 37, 1–13. [Google Scholar] [CrossRef]
- Liao, J.J.; Yang, M.T.; Hsieh, H.Y. Direct tensile behavior of a transversely isotropic rock. Int. J. Rock Mech. Min. Sci. 1997, 34, 837–849. [Google Scholar] [CrossRef]
- Lee, Y.K.; Pietruszczak, S. Tensile failure criterion for transversely isotropic rocks. Int. J. Rock Mech. Min. Sci. 2015, 79, 205–215. [Google Scholar] [CrossRef]
- Akazawa, T. New test method for evaluating internal stress due to compression of concrete: The splitting tension test. J. Jpn. Soc. Civ. Eng. 1943, 29, 777–787. [Google Scholar]
- Carneiro, F.L.L.B. A new method to determine the tensile strength of concrete. In Proceedings of the 5th Meeting of the Brazilian Association for Technical Rules, 3rd Section, Lisbon, Portugal, 16 September 1943; pp. 126–129. [Google Scholar]
- Jianhong, Y.; Wu, F.Q.; Sun, J.Z. Estimation of the tensile elastic modulus using Brazilian disc by applying diametrically opposed concentrated loads. Int. J. Rock Mech. Min. Sci. 2009, 46, 568–576. [Google Scholar] [CrossRef]
- Dan, D.Q.; Konietzky, H.; Herbst, M. Brazilian tensile strength tests on some anisotropic rocks. Int. J. Rock Mech. Min. Sci. 2013, 58, 1–7. [Google Scholar] [CrossRef]
- Dan, D.Q.; Konietzky, H. Numerical simulations and interpretations of Brazilian tensile tests on transversely isotropic rocks. Int. J. Rock Mech. Min. Sci. 2014, 71, 53–63. [Google Scholar] [CrossRef]
- Li, D.; Wong, L.N.Y. The Brazilian disc test for rock mechanics applications: Review and new insights. Rock Mech. Rock Eng. 2013, 46, 269–287. [Google Scholar] [CrossRef]
- Duan, K.; Kwok, C.Y. Discrete element modeling of anisotropic rock under Brazilian test conditions. Int. J. Rock Mech. Min. Sci. 2015, 78, 46–56. [Google Scholar] [CrossRef]
- Kwok, C.Y.; Duan, K. DEM simulation of fracture process of inherently anisotropic rock under Brazilian test condition. In Proceedings of the 49th US Rock Mechanics/Geomechanics Symposium, San Francisco, CA, USA, 28 June–1 July 2015. ARMA 15-535. [Google Scholar]
- Hobbs, D.W. The tensile strength of rocks. Int. J. Rock Mech. Min. Sci. Geomech. Abstr. 1964, 1, 385–396. [Google Scholar] [CrossRef]
- Barla, G.; Innaurato, N. Indirect tensile testing of anisotropic rocks. Rock Mech. 1973, 5, 215–230. [Google Scholar] [CrossRef]
- Chou, Y.C.; Chen, C.S. Determining elastic constants of transversely isotropic rocks using Brazilian test and iterative procedure. Int. J. Numer. Anal. Methods Geomech. 2008, 32, 219–234. [Google Scholar] [CrossRef]
- Debecker, B.; Vervoort, A. Experimental observation of fracture patterns in layered slate. Int. J. Fract. 2009, 159, 51–62. [Google Scholar] [CrossRef]
- Tavallali, A.; Vervoort, A. Effect of layer orientation on the failure of layered sandstone under Brazilian test conditions. Int. J. Rock Mech. Min. Sci. 2010, 47, 313–322. [Google Scholar] [CrossRef]
- Tavallali, A.; Vervoort, A. Failure of layered sandstone under Brazilian test conditions: Effect of micro-scale parameters on macro-scale behaviour. Rock Mech. Rock Eng. 2010, 43, 641–653. [Google Scholar] [CrossRef]
- Tavallali, A.; Vervoort, A. Behaviour of layered sandstone under Brazilian test conditions: Layer orientation and shape effects. J. Rock Mech. Geotech. Eng. 2013, 5, 366–377. [Google Scholar] [CrossRef]
- Liu, Y.S.; Fu, H.L.; Rao, J.Y.; Dong, H.; Cao, Q. Research on Brazilian disc splitting tests for anisotropy of slate under influence of different bedding orientations. Chin. J. Rock Mech. Eng. 2012, 31, 785–791. [Google Scholar]
- Liu, S.L.; Chen, S.X.; Yu, F.; Zhao, W.G. Anisotropic properties study of chlorite schist. Rock Soil Mech. 2012, 33, 3616–3623. [Google Scholar]
- Liu, Y.S.; Fu, H.L.; Wu, Y.M.; He, Y.W.; Dong, H. Study on Brazilian splitting test for slate based on single weak plane theory. J. China Coal Soc. 2013, 38, 1775–1780. [Google Scholar]
- Simpson, N.D.J. An analysis of Tensile Strength, Fracture Initiation and Propagation in Anisotropic Rock (Gas Shale) Using Brazilian Tests Equipped with High Speed Video and Acoustic Emission. Master’s Thesis, Norwegian University of Science and Technology, Trondheim, Norway, 2013. [Google Scholar]
- Tan, X.; Heinz, K. Brazilian split tests and numerical simulation by discrete element method for heterogeneous gneiss with bedding structure. Chin. J. Rock Mech. Eng. 2014, 33, 938–946. [Google Scholar]
- Mighani, S.; Sondergeld, C.; Rai, C. Efficient completions in anisotropic shale gas formations. In Proceedings of the Unconventional Resources Technology Conference (URTEC), Denver, CO, USA, 25–27 August 2014. URTeC 1934272. [Google Scholar]
- Mighani, S.; Sondergeld, C.H.; Rai, C.S. Observations of tensile fracturing of anisotropic rocks. SPE J. 2016, 21, 1–13. [Google Scholar] [CrossRef]
- Beyhan, S.; Özgür, A. Investigating the anisotropy of rocks depending on the indirect tensile strength. In Proceedings of the ISRM Regional Symposium-EUROCK, Salzburg, Austria, 7–10 October 2015. ISRM-EUROCK-2015-088. [Google Scholar]
- Tan, X.; Konietzky, H.; Frühwirt, T.; Dan, D.Q. Brazilian tests on transversely isotropic rocks: Laboratory testing and numerical simulations. Rock Mech. Rock Eng. 2015, 48, 1341–1351. [Google Scholar] [CrossRef]
- Wang, X. Experimental study on the effect of micro-cracks on Brazilian tensile strength. Arch. Min. Sci. 2015, 60, 985–996. [Google Scholar] [CrossRef][Green Version]
- Yang, Z.P.; He, B.; Xie, L.Z.; Li, C.; Wang, J. Strength and failure modes of shale based on Brazilian test. Rock Soil Mech. 2015, 36, 3447–3455. [Google Scholar]
- Yao, G.H.; Chen, Q.; Liu, H.; Tan, Y.H.; Wang, L.S.; Du, H.Y.; Zhu, H.L. Experiment study on mechanical properties of bedding shale in lower Silurian Longmaxi shale southeast Chongqing. Chin. J. Rock Mech. Eng. 2015, 34 (Suppl. S1), 3313–3319. [Google Scholar]
- Ai, C.; Zhang, J.; Li, Y.; Zeng, J.; Gao, C. Theoretical calculation and experimental research on tensile strength of coal rock under different splitting angles. Saf. Coal Mines 2015, 46, 20–23. [Google Scholar]
- Li, Y.D.; Qiu, J.D.; Li, X.B. Experimental study on dynamic tensile and compressive properties of bedding sandstone under impact loading. Chin. J. Rock Mech. Eng. 2015, 34, 2091–2097. [Google Scholar]
- Li, Y.W.; Zhang, J.; Liu, Y. Effects of loading direction on failure load test results for Brazilian tests on coal rock. Rock Mech. Rock Eng. 2016, 49, 2173–2180. [Google Scholar] [CrossRef]
- Roy, D.G.; Singh, T.N. Effect of Heat Treatment and layer orientation on the tensile strength of a crystalline rock under Brazilian test condition. Rock Mech. Rock Eng. 2016, 49, 1663–1677. [Google Scholar]
- Hou, P.; Gao, F.; Yang, Y.G.; Zhang, Z.Z.; Zhang, X.X. Effect of layer orientation on the failure of block shale under Brazilian splitting test and energy analysis. Chin. J. Geotech. Eng. 2016, 38, 930–937. [Google Scholar]
- Hou, P.; Gao, F.; Zhang, Z.Z.; Lin, B.; Yang, Y.G.; Gao, Y.N. Mechanical property and bedding inclination effect on gas fracturing of black shale. Chin. J. Rock Mech. Eng. 2016, 35, 670–681. [Google Scholar]
- Wang, J.; Xie, L.; Xie, H.; Ren, L.; He, B.; Li, C.; Yang, Z.; Gao, C. Effect of layer orientation on acoustic emission characteristics of anisotropic shale in Brazilian tests. J. Nat. Gas Sci. Eng. 2016, 36, 1120–1129. [Google Scholar] [CrossRef]
- Singh, J.; Ramamurthy, T.; Rao, G.V. Strength anisotropies in rocks. Indian Geotech. J. 1989, 19, 147–166. [Google Scholar]
- Chen, C.S.; Pan, E.; Amadei, B. Determination of deformability and tensile strength of anisotropic rock using Brazilian tests. Int. J. Rock Mech. Min. Sci. 1998, 35, 43–61. [Google Scholar] [CrossRef]
- Zhao, Y.; Zhao, G.F.; Jiang, Y.; Elsworth, D.; Huang, Y.Q. Effects of bedding on the dynamic indirect tensile strength of coal: Laboratory experiments and numerical simulation. Int. J. Coal Geol. 2014, 132, 81–93. [Google Scholar] [CrossRef]
- Zhao, Y.; Liu, S.; Jiang, Y.; Wang, K.; Huang, Y. Dynamic tensile strength of coal under dry and saturated conditions. Rock Mech. Rock Eng. 2016, 49, 1709–1720. [Google Scholar] [CrossRef]
- Mokhtari, M.; Bui, B.T.; Tutuncu, A.N. Tensile failure of shales: Impacts of layering and natural fractures. In Proceedings of the SPE Western North American and Rocky Mountain Joint Meeting, Denver, CO, USA, 17–18 April 2014. SPE 169520. [Google Scholar]
- Park, B.; Min, K.B. Bonded-particle discrete element modeling of mechanical behavior of transversely isotropic rock. Int. J. Rock Mech. Min. Sci. 2015, 76, 243–255. [Google Scholar] [CrossRef]
- Hobbs, D.W. Rock tensile strength and its relationship to a number of alternative measures of rock strength. Int. J. Rock Mech. Min. Sci. Geomech. Abstr. 1967, 4, 115–127. [Google Scholar] [CrossRef]
- Nova, R.; Zaninetti, A. An investigation into the tensile behaviour of a schistose rock. Int. J. Rock Mech. Min. Sci. Geomech. Abstr. 1990, 27, 231–242. [Google Scholar] [CrossRef]
- Duveau, G.; Shao, J.F.; Henry, J.P. Assessment of some failure criteria for strongly anisotropic geomaterials. Mech. Cohesive Frict. Mater. 1998, 3, 1–26. [Google Scholar] [CrossRef]
- Ma, T.; Chen, P.; Zhang, Q.; Zhao, J. A novel collapse pressure model with chemical-mechanical coupling in shale gas formations with multi-weakness planes. J. Nat. Gas Sci. Eng. 2016, 36, 1151–1177. [Google Scholar] [CrossRef]
- Lekhnitskii, S.G. Anisotropic Plates; Gorden and Breach: New York, NY, USA, 1957. [Google Scholar]
- Lekhnitskij, S.G. Theory of the Elasticity of Anisotropic Bodies; Mir Publishers: Moscow, Russia, 1981. [Google Scholar]
- Loureiro-Pinto, J. Determination of the elastic constants of anisotropic bodies by diametral compression tests. In Proceedings of the 4th ISRM Congress, Montreux, Switzerland, 2–8 September 1979. ISRM-4CONGRESS-1979-160. [Google Scholar]
- Chen, C.S.; Pan, E.; Amadei, B. Evaluation of properties of anisotropic rocks using Brazilian tests. In Proceedings of the 2nd North American Rock Mechanics Symposium, Montreal, QC, Canada, 19–21 June 1996. ARMA 96-1651. [Google Scholar]
- Claesson, J.; Bohloli, B. Brazilian test: Stress field and tensile strength of anisotropic rocks using an analytical solution. Int. J. Rock Mech. Min. Sci. 2002, 39, 991–1004. [Google Scholar] [CrossRef]
- Cai, M. Practical estimates of tensile strength and Hoek–Brown strength parameter mi of brittle rocks. Rock Mech. Rock Eng. 2010, 43, 167–184. [Google Scholar] [CrossRef]

















| No. | Rock Types | References | Min. BtS/MPa | Max. BtS/MPa | AI | Group |
|---|---|---|---|---|---|---|
| 1 | Permian Shale | [5] | 13.61 | 21.63 | 1.59 | Shale |
| 2 | Green River Shale | [5] | 11.46 | 17.24 | 1.51 | |
| 3 | Boryeong Shale | [2] | 6.40 | 13.60 | 2.13 | |
| 4 | Mancos Shale-I | [40] | 2.47 | 3.22 | 1.30 | |
| 5 | Mancos Shale-I in Oil | [40] | 2.47 | 3.95 | 1.60 | |
| 6 | Mancos Shale-II | [42] | 2.92 | 6.10 | 2.09 | |
| 7 | GR Shale-I | [42] | 2.45 | 7.42 | 3.02 | |
| 8 | GR Shale-II | [42] | 4.49 | 9.58 | 2.13 | |
| 9 | GR Shale-III | [42] | 3.76 | 7.50 | 1.99 | |
| 10 | GR Shale-IV | [42] | 8.71 | 13.22 | 1.52 | |
| 11 | Longmaxi Shale-I | [47] | 3.47 | 6.61 | 1.91 | |
| 12 | Longmaxi Shale-II | [48] | 4.60 | 10.81 | 2.35 | |
| 13 | Longmaxi Shale-III | [53,54] | 3.32 | 7.64 | 2.30 | |
| 14 | X Shale (Air Dry) | [46] | 2.48 | 6.01 | 2.42 | |
| 15 | X Shale (Staturated) | [46] | 1.10 | 3.09 | 2.81 | |
| 16 | Wolfcamp Shale | [42,43] | 5.78 | 16.11 | 2.79 | |
| 17 | Mudstone-I | [44] | 0.81 | 4.06 | 5.01 | |
| 18 | Mudstone-II | [44] | 1.32 | 5.45 | 4.13 | |
| 19 | Type I Sandtone | [57] | 3.86 | 5.86 | 1.52 | Sandstone |
| 20 | Type II Sandtone | [57] | 0.97 | 4.34 | 4.50 | |
| 21 | Modave Sandstone | [34,35] | 9.53 | 15.13 | 1.59 | |
| 22 | Arkansas Sandstone | [5] | 9.57 | 11.71 | 1.22 | |
| 23 | Postaer Sandstone | [25] | 3.39 | 4.14 | 1.22 | |
| 24 | Bedded Sandstone | [50] | 11.64 | 13.28 | 1.14 | |
| 25 | Qom Sandstone Type I | [17] | 4.24 | 8.48 | 2.00 | |
| 26 | Qom Sandstone Type II | [17] | 4.36 | 12.06 | 2.77 | |
| 27 | Qom Sandstone Type III | [17] | 5.73 | 9.36 | 1.63 | |
| 28 | Herbeumont Slate | [33] | 0.37 | 20.00 | 53.59 | Slate |
| 29 | Huaihua-I Slate | [37] | 6.71 | 12.21 | 1.82 | |
| 30 | Huaihua-II Slate | [39] | 3.55 | 11.80 | 3.32 | |
| 31 | Mosel Slate | [45] | 3.80 | 15.56 | 4.10 | |
| 32 | Valle di Susa Gneiss | [31] | 3.28 | 4.56 | 1.39 | Gneiss |
| 33 | Asan Gneiss | [2] | 6.20 | 18.97 | 3.06 | |
| 34 | Freiberger Gneiss | [25] | 5.80 | 16.75 | 2.89 | |
| 35 | Leubsdorfer Gneiss | [25] | 8.67 | 17.66 | 2.04 | |
| 36 | XX Layered Gneiss | [52] | 12.99 | 19.68 | 1.52 | |
| 37 | Val Malenco Schist | [31] | 2.49 | 6.83 | 2.75 | Schist |
| 38 | Yeoncheon Schist | [2] | 2.60 | 17.23 | 6.63 | |
| 39 | Wudang Schist | [38] | 1.12 | 3.26 | 2.90 | |
| 40 | XZY Coal (Dry) | [58] | 4.61 | 5.46 | 1.18 | Coal |
| 41 | XZY Coal (Saturated) | [59] | 4.03 | 5.26 | 1.30 | |
| 42 | Jixi Coal | [51] | 0.35 | 0.63 | 1.80 | |
| 43 | Marl-I | [44] | 2.53 | 4.07 | 1.61 | Marl |
| 44 | Marl-II | [44] | 2.44 | 4.44 | 1.82 |
| No. | Rock Types | Anisotropic Index | Anisotropic Degree [56] |
|---|---|---|---|
| 1 | Shale | 1.30–5.01 | Weak-Strong |
| 2 | Sandstone | 1.14–4.50 | Weak-Strong |
| 3 | Slate | 1.82–4.10 (53.59) | Weak-Strong (Ultra-strong) |
| 4 | Gneiss | 1.39–3.06 | Weak-Medium |
| 5 | Schist | 2.75–6.63 | Medium-Strong |
| 6 | Coal | 1.18–1.80 | Weak |
| 7 | Marl | 1.61–1.82 | Weak |
| No. | Failure Type | Calculated BTS | Formula | Failure Pattern |
|---|---|---|---|---|
| 1 | Tensile failure across weakness planes | ![]() | ||
| 2 | Tensile failure along weakness planes | ![]() | ||
| 3 | Shear failure across weakness planes | ![]() | ||
| 4 | Shear failure along weakness planes | ![]() | ||
| 5 | Mixed failure | ![]() |
| No. | BtS Versus βw (MPa) | ||||||
|---|---|---|---|---|---|---|---|
| 0° | 15° | 30° | 45° | 60° | 75° | 90° | |
| 1 | 5.546 | 5.457 | 4.75 | 5.15 | 3.329 | 2.554 | 4.258 |
| 2 | 7.027 | 6.423 | 6.088 | 3.517 | 3.94 | 3.177 | 3.112 |
| 3 | 7.254 | 6.705 | 5.624 | 3.475 | 3.338 | 4.666 | 3.053 |
| Mean | 6.609 | 6.195 | 5.587 | 4.047 | 3.535 | 3.465 | 3.474 |
| Predicted BtS | 6.606 | 6.606 | 5.371 | 3.814 | 3.394 | 3.633 | 3.470 |
| Error | 0.05% | 6.55% | 3.92% | 5.83% | 4.13% | 4.70% | 0.00% |
| No. | BtS Versus βw (MPa) | ||||||
|---|---|---|---|---|---|---|---|
| 0° | 15° | 30° | 45° | 60° | 75° | 90° | |
| 1 | 0.69 | 0.55 | 0.51 | 0.39 | 0.26 | 0.71 | 0.55 |
| 2 | 0.54 | 0.65 | 0.45 | 0.45 | 0.41 | 0.45 | 0.59 |
| 3 | 0.62 | 0.71 | 0.42 | 0.38 | 0.39 | 0.61 | 0.67 |
| 4 | 0.67 | 0.67 | 0.49 | 0.36 | 0.33 | 0.6 | 0.58 |
| 5 | - | 0.54 | 0.57 | - | - | 0.54 | - |
| Mean | 0.63 | 0.62 | 0.49 | 0.40 | 0.35 | 0.58 | 0.60 |
| Predicted BtS | 0.61 | 0.61 | 0.52 | 0.37 | 0.37 | 0.60 | 0.61 |
| Error | 3.17% | 1.61% | 6.12% | 7.50% | 5.71% | 3.45% | 1.67% |
© 2018 by the authors. Licensee MDPI, Basel, Switzerland. This article is an open access article distributed under the terms and conditions of the Creative Commons Attribution (CC BY) license (http://creativecommons.org/licenses/by/4.0/).
Share and Cite
Ma, T.; Peng, N.; Zhu, Z.; Zhang, Q.; Yang, C.; Zhao, J. Brazilian Tensile Strength of Anisotropic Rocks: Review and New Insights. Energies 2018, 11, 304. https://doi.org/10.3390/en11020304
Ma T, Peng N, Zhu Z, Zhang Q, Yang C, Zhao J. Brazilian Tensile Strength of Anisotropic Rocks: Review and New Insights. Energies. 2018; 11(2):304. https://doi.org/10.3390/en11020304
Chicago/Turabian StyleMa, Tianshou, Nian Peng, Zhu Zhu, Qianbing Zhang, Chunhe Yang, and Jian Zhao. 2018. "Brazilian Tensile Strength of Anisotropic Rocks: Review and New Insights" Energies 11, no. 2: 304. https://doi.org/10.3390/en11020304
APA StyleMa, T., Peng, N., Zhu, Z., Zhang, Q., Yang, C., & Zhao, J. (2018). Brazilian Tensile Strength of Anisotropic Rocks: Review and New Insights. Energies, 11(2), 304. https://doi.org/10.3390/en11020304






