Effects of Design Parameters on Fuel Economy and Output Power in an Automotive Thermoelectric Generator
Abstract
1. Introduction
2. Thermoelectric Generators
3. Experimental Analysis
3.1. Automotive Thermoelectric Generator
3.2. Experimental Set-Up
3.3. Experimental Cases
3.4. Effective Thermal and Electrial Properties of the Thermoelectric Modules
4. Numerical Model
4.1. Simulation Set-Up
4.2. Model Validation
5. Results and Discussion
5.1. Water Heat Sink: Effects of Changing the Geometry and Flow Rate
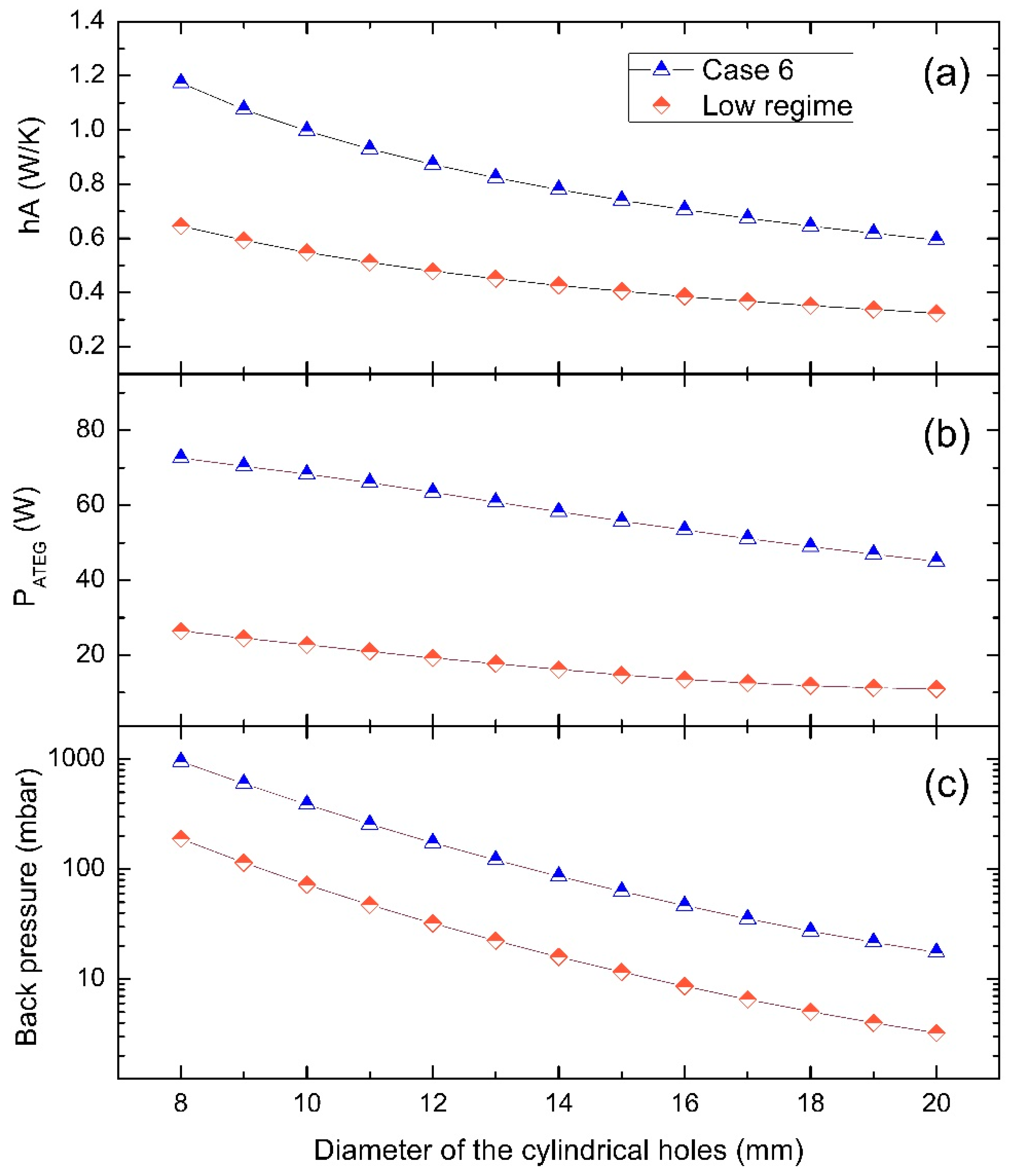
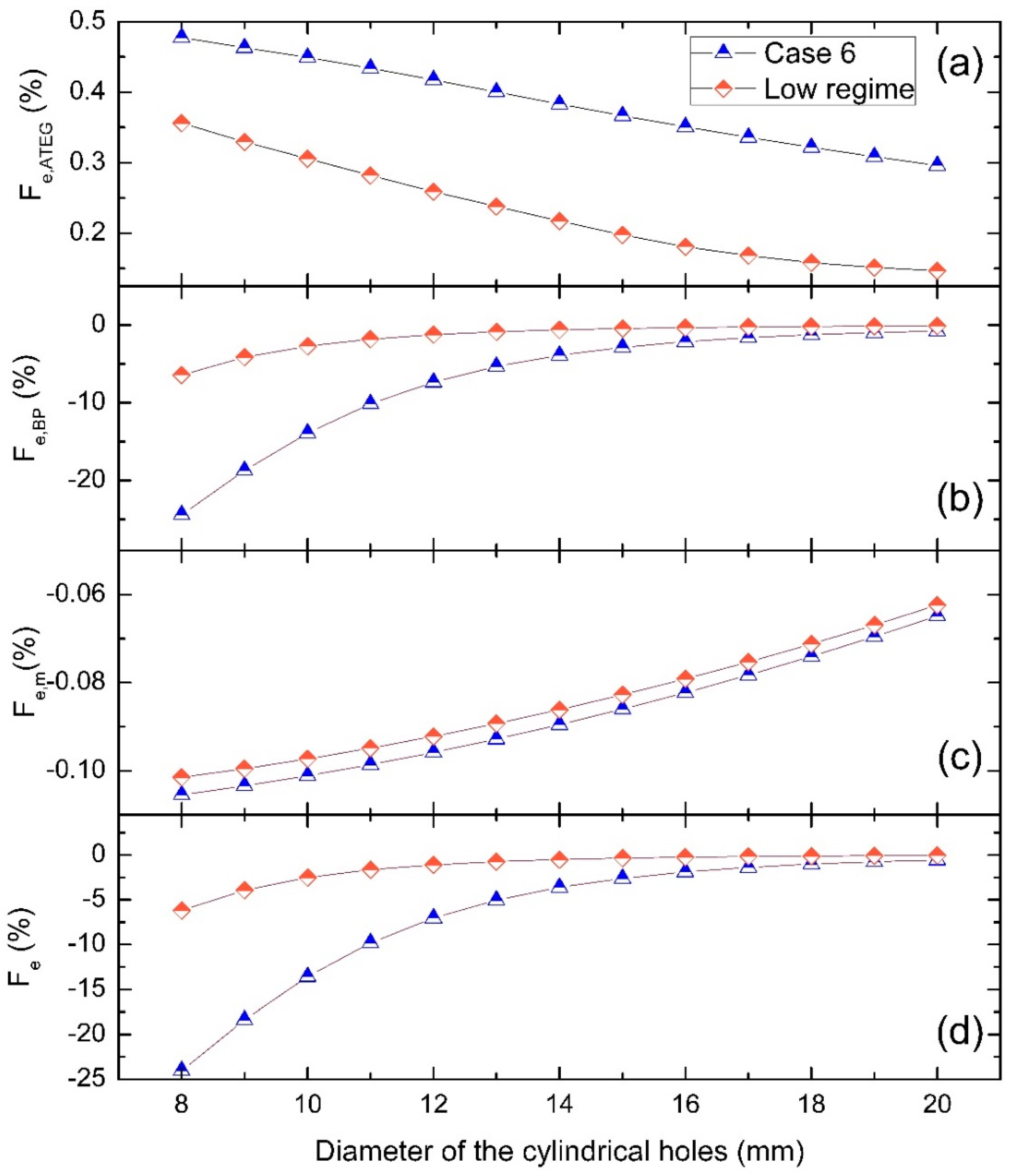
5.2. Heat Absorber: Effects of Changing the Diameter of the Cylindrical Holes
5.3. Configurations with Maximum Power and Maximum Fuel Economy
6. Conclusions
- Engine operating points of maximum output power did not coincide with those of maximum fuel economy.
- Designs that maximized output power differed substantially from those that maximized fuel savings.
- While an increase in the cooling flow rate enhanced the output power, it also increased the power required to pump the cooling flow. Therefore, a compromise between gaining generated power and the loss of power needed to drive the water pump must be made. From the design point, a maximum value of flow velocity in the cooling system should be imposed to assure that energy losses are not excessive. Changes in the cross-sectional area of the water cooling channel had a similar effect. From the initial layout, a reduction in flow rate was preferred over an increase in the cross-sectional area of the channel, since the former implied greater decrements of the required pumping power.
- The design of the heat absorber was critical in two opposing aspects: (1) to maximize the heat transfer, and (2) to minimize the back pressure. The back pressure was the main limiting factor in determining success in terms of fuel economy. Its value may vary several orders of magnitude depending on the type of heat absorber design. In order to have increments in fuel consumption <0.2% due to the effect of the back pressure, a value lower than 5 mbar should be attained.
- A heat absorber with cylindrical holes is not a recommended geometry since it leads to large back pressure values. For this type of heat absorber, the main three terms that contributed to fuel savings could be analytically expressed as a function of the diameter of the cylindrical holes with a high degree of accuracy. The analytical equations could be used to determine the minimum efficiency of the thermoelectric modules (figure of merit) in order to obtain positive fuel savings.
- The maximization of fuel savings cannot only rely on reducing back pressure values because this would result in trivial designs with very low back pressure and very low heat transfer being proposed. The feasibility of an ATEG requires a minimum value of electrical output power generated and this value should be kept as a constraint in the minimization study of the back pressure values.
Author Contributions
Acknowledgments
Conflicts of Interest
Nomenclature
| A | area of the aluminum channel in contact with the water (m2) |
| Ab | block surface area (mm2) |
| ATEM | TEM surface area (mm2) |
| D | diameter of the cylindrical holes (m) |
| Fe | fuel economy (%) |
| Fe,ATEG | fuel economy resulting from the power generated by the ATEG (%) |
| Fe,BP | fuel consumption (<0) due to overcome the back pressure (%) |
| Fe,m | fuel consumption due to increase in weight (%) |
| g | acceleration of gravity (m·s−2) |
| h | heat transfer coefficient (W·K−1·m−2) |
| ITEM | electrical current (A) |
| kb | block thermal conductivity (W·K−1·m−1) |
| ke | TEM effective thermal conductivity (W·K−1·m−1) |
| L | height of the cooling channel (mm) |
| Lb | block height (mm) |
| LTEM | TEM height (mm) |
| mATEG | ATEG mass (kg) |
| exhaust gas mass flow rate (g·s−1) | |
| N | number of samples in the data series |
| PATEG | ATEG electrical output power (W) |
| Pe | engine-shaft power (W) |
| Pn,ATEG | net ATEG electrical output power (W) |
| PTEM | TEM electrical output power (W) |
| Pwp | power consumed by the water pump (W) |
| Qc | heat flow on the cold side of the TEM (W) |
| Qh | heat flow on the hot side of the TEM (W) |
| r | ratio of figure of merits |
| Rc | thermal contact resistance (cold side) (m2·K·W−1) |
| Rh | thermal contact resistance (hot side) (m2·K·W−1) |
| Rie | TEM effective internal electrical resistance (Ω) |
| RL | external electrical load resistance (Ω) |
| (Th + Tc)/2 (K) | |
| Tc | TEM cold side temperature (°C) |
| Tg | exhaust gas temperature (°C) |
| Th | TEM hot side temperature (°C) |
| Tw | coolant temperature (°C) |
| v | vehicle velocity (m·s−1) |
| Voc | open-circuit voltage (V) |
| volumetric flow of the ATEG coolant (L·h−1) | |
| ZTe | effective figure of merit |
| confidence range | |
| αe | TEM effective Seebeck coefficient (V·K−1) |
| Δpbp | back pressure increase due to the ATEG (Pa) |
| εe | uncertainty of the equipment |
| εs | uncertainty of the mean values |
| εt | total uncertainty of data |
| η | ATEG efficiency |
| ηG | efficiency of the alternator |
| ηPCU | efficiency of the power converter unit |
| λ | air–fuel equivalence ratio |
| ξ | vehicle rolling resistance |
| ρe | effective electrical resistivity (Ω·m) |
| σ | standard deviation |
Subscripts
| i | inlet |
| max | maximum conditions |
| o | outlet |
Abbreviations
| AFR | air–fuel ratio |
| AFRs | stoichiometric air–fuel ratio |
| ATEG | Automotive thermoelectric generator |
| CAE | computer-aided engineering |
| CI | compression ignition |
| CSHE | cold-side heat exchanger |
| EGR | exhaust gas recirculation |
| HDV | heavy-duty vehicle |
| HexS | hexagonal cross-section |
| HP | heat pipes |
| HSHE | hot-side heat exchanger |
| ICE | internal combustion engine |
| OctS | octagonal cross-section |
| PCU | power converter unit |
| SI | spark ignition |
| TEG | thermoelectric generator |
| TEM | thermoelectric module |
| 2PP | two parallel plates |
| 4SSP | four square section plates |
References
- Rahman, A.; Razzak, F.; Afroz, R.; Akm, M.; Hawlader, M.N.A. Power generation from waste IC engines. Renew. Sustain. Energy Rev. 2015, 51, 382–395. [Google Scholar] [CrossRef]
- Vázquez, J.; Palacios, R.; Sanz-Bobi, M.A. State of the art of thermoelectric generators based on heat recovered from the exhaust gases of automobiles. In Proceedings of the 7th European Workshop on Thermoelectrics, Pamplona, Spain, 3–4 October 2002. [Google Scholar]
- European Commission. Clean Power for Transport: A European Alternative Fuels Strategy. Communication from the Commission to the European Parliament, the Council, the European Economic and Social Committee and the Committee of the Regions; COM (2013) 17; European Commission: Brussels, Belgium, 2013.
- Karvonen, M.; Kapoor, R.; Uusitalo, A.; Ojanen, V. Technology competition in the internal combustion engine waste heat recovery: A patent landscape analysis. J. Clean. Prod. 2016, 112, 3735–3742. [Google Scholar] [CrossRef]
- Massaguer, A.; Massaguer, E.; Comamala, M.; Pujol, T.; Montoro, L.; Cardenas, M.D.; Carbonell, D.; Bueno, A.J. Transient behavior under a normalized driving cycle of an automotive thermoelectric generator. Appl. Energy 2017, 206, 1282–1296. [Google Scholar] [CrossRef]
- Fernández-Yáñez, P.; Armas, O.; Kiwan, R.; Stefaopoulou, A.G.; Boehman, A.L. A thermoelectric generator in exhaust systems of spark-ignition and compression-ignition engines. A comparison with an electric turbo-generator. Appl. Energy 2018, 229, 80–87. [Google Scholar] [CrossRef]
- Comamala, M.; Pujol, T.; Cózar, I.R.; Massaguer, E.; Massaguer, A. Power and fuel economy of a radial automotive thermoelectric generator: Experimental and numerical studies. Energies 2018, 11, 2720. [Google Scholar] [CrossRef]
- Stobart, R.; Wijewardane, M.A.; Yang, Z. Comprehensive analysis of thermoelectric generation systems for automotive applications. Appl. Therm. Eng. 2017, 112, 1433–1444. [Google Scholar] [CrossRef]
- Matsubara, K. Development of a high efficient thermoelectric stack for a waste exhaust heat recovery of vehicles. In Proceedings of the 21st International Conference on Thermoelectronics, Proceedings ICT, Long Beach, CA, USA, 29 August 2002; pp. 418–423. [Google Scholar]
- Kim, T.Y.; Kwak, J.; Kim, B.-W. Energy harvesting performance of hexagonal shaped thermoelectric generator for passenger vehicle applications: An experimental approach. Energy Convers. Manag. 2018, 160, 14–21. [Google Scholar] [CrossRef]
- Orr, B.; Akbarzadeh, A.; Lappas, P. An exhaust heat recovery system utilizing thermoelectric generators and heat pipes. Appl. Therm. Eng. 2017, 126, 1185–1190. [Google Scholar] [CrossRef]
- Haidar, J.G.; Ghojel, J.I. Waste heat recovery from the exhaust of low-power diesel engine using thermoelectric generators. In Proceedings of the 20th International Conference on Thermoelectrics, Proceedings ICT, Beijing, China, 8–11 June 2001; pp. 413–417. [Google Scholar]
- Wang, Y.; Li, S.; Xie, X.; Deng, Y.; Liu, X.; Su, C. Performance evaluation of an automotive thermoelectric generator with inserted fins or dimpled-surface hot heat exchanger. Appl. Energy 2018, 218, 391–401. [Google Scholar] [CrossRef]
- Thacher, E.F.; Helenbrook, B.T.; Karri, M.A.; Richter, C.J. Testing of an automobile exhaust thermoelectric generator in a light truck. Proc. Inst. Mech. Eng. Part D 2007, 221, 95–107. [Google Scholar] [CrossRef]
- Lan, S.; Yang, Z.; Chen, R.; Stobart, R. A dynamic model for thermoelectric generator applied to vehicle waste heat recovery. Appl. Energy 2018, 210, 327–338. [Google Scholar] [CrossRef]
- Frobenius, F.; Gaiser, G.; Rusche, U.; Weller, B. Thermoelectric generators for the integration into automotive exhaust systems for passenger cars and commercial vehicles. J. Electron. Mater. 2016, 45, 1433–1440. [Google Scholar] [CrossRef]
- Bass, J.C.; Elsner, N.B.; Leavitt, F.A. Performance of the 1 kW thermoelectric generator for diesel engines. AIP Conf. Proc. 1994, 316, 295–298. [Google Scholar]
- Massaguer, A.; Massaguer, E.; Comamala, M.; Pujol, T.; González, J.R.; Cardenas, M.D.; Carbonell, D.; Bueno, A.J. A method to assess the fuel economy of automotive thermoelectric generators. Appl. Energy 2018, 222, 42–58. [Google Scholar] [CrossRef]
- Karri, M.A.; Thacher, E.F.; Helenbrook, B.T. Exhaust energy conversion of thermoelectric generator: Two case studies. Energy Convers. Manag. 2011, 52, 1596–1611. [Google Scholar] [CrossRef]
- Champier, D. Thermoelectric generators: A review of applications. Energy Convers. Manag. 2017, 140, 167–181. [Google Scholar] [CrossRef]
- Von Lukowicz, M.; Abbe, E.; Schmiel, T.; Tajmar, M. Thermoelectric generators on satellites-An approach for waste heat recovery in space. Energies 2016, 9, 541. [Google Scholar] [CrossRef]
- Lv, H.; Li, G.; Zheng, Y.; Hu, J.; Li, J. Compact water-cooled thermoelectric generator (TEG) based on a portable gas stove. Energies 2018, 11, 2231. [Google Scholar] [CrossRef]
- Li, G.; Zhang, G.; He, W.; Ji, J.; Lv, S.; Chen, X.; Chen, H. Performance analysis on a solar concentrating thermoelectric generator using the micro-channel heat pipe array. Energy Convers. Manag. 2016, 112, 191–198. [Google Scholar] [CrossRef]
- Li, G.; Feng, W.; Jin, Y.; Chen, X.; Ji, J. Discussion on the solar concentrating thermoelectric generation using micro-channel heat pipe array. Heat Mass Transfer 2017, 53, 3249–3256. [Google Scholar] [CrossRef]
- Li, G.; Chen, X.; Jin, Y. Analysis of the primary constraint conditions of an efficient photovoltaic-thermoelectric hybrid system. Energies 2017, 10, 20. [Google Scholar] [CrossRef]
- Li, G.; Ji, J.; Zhang, G.; He, W.; Chen, X.; Chen, H. Performance analysis on a novel micro-channel heat pipe evacuated tube solar collector-incorporated thermoelectric generation. Int. J. Energy Res. 2016, 40, 2117–2127. [Google Scholar] [CrossRef]
- Cheng, K.; Feng, Y.; Lv, C.; Zhang, S.; Qin, J.; Bao, W. Performance evaluation of waste heat recovery systems based on semiconductor thermoelectric generators for hypersonic vehicles. Energies 2017, 10, 570. [Google Scholar] [CrossRef]
- Fernández-Yañez, P.; Armas, O.; Capetillo, A.; Martínez-Martínez, S. Thermal analysis of a thermoelectric generator for light-duty diesel engines. Appl. Energy 2018, 226, 690–702. [Google Scholar] [CrossRef]
- He, W.; Zhang, G.; Li, G.; Ji, J. Analysis and discussion on the impact of non-uniform input heat flux on thermoelectric generator array. Energy Convers. Manag. 2015, 98, 268–274. [Google Scholar] [CrossRef]
- Risseh, A.E.; Nee, H.-P.; Goupil, C. Electrical power conditioning system for thermoelectric waste heat recovery in commercial vehicles. IEEE Trans. Transp. Electrif. 2018, 4, 548–562. [Google Scholar] [CrossRef]
- Demir, M.E.; Dincer, I. Performance assessment of a thermoelectric generator applied to exhaust waste heat recovery. Appl. Therm. Eng. 2017, 120, 694–707. [Google Scholar] [CrossRef]
- He, W.; Wang, S.; Yue, L. High net power output analysis with changes in exhaust temperature in a thermoelectric generator system. Appl. Energy 2017, 196, 259–267. [Google Scholar] [CrossRef]
- Kempf, N.; Zhang, Y. Design and optimization of automotive thermoelectric generators for maximum fuel efficiency improvement. Energy Convers. Manag. 2016, 121, 224–231. [Google Scholar] [CrossRef]
- Gamma Technologies LLC. Available online: https://www.gtisoft.com (accessed on 1 October 2018).
- Cózar, I.R.; Pujol, T.; Lehocky, M. Numerical analysis of the effects of electrical and thermal configurations of thermoelectric modules in large-scale thermoelectric generators. Appl. Energy 2018, 229, 264–280. [Google Scholar] [CrossRef]
- National Instruments. Available online: http://www.ni.com (accessed on 3 September 2018).
- Omega. Available online: http://www.omega.com (accessed on 3 September 2018).
- Sensus. Available online: http://www.sensus.com (accessed on 3 September 2018).
- Su, J.; Xu, M.; Li, T.; Gao, Y.; Wang, J. Combined effects of cooled EGR and a higher geometric compression ratio on thermal efficiency improvement of a downsized boosted spark-ignition direct engine. Energy Convers. Manag. 2014, 78, 65–73. [Google Scholar] [CrossRef]
- Zhao, M.; Wei, M.; Song, P.; Liu, Z.; Tian, G. Performance evaluation of a diesel engine integrated with ORC system. Appl. Therm. Eng. 2017, 115, 221–228. [Google Scholar] [CrossRef]
- Zhao, R.; Li, W.; Zhuge, W.; Zhang, Y.; Yin, Y. Numerical study on steam injection in a turbocompound diesel engine for waste heat recovery. Appl. Energy 2017, 185, 506–518. [Google Scholar] [CrossRef]
- Incropera, F.P.; DeWitt, D.P.; Bergman, T.L.; Lavine, A.S. Fundamentals of Heat and Mass Transfer, 7th ed.; John Wiley & Sons, Inc.: Hoboken, NJ, USA, 2007. [Google Scholar]
- Chen, J.; Li, K.; Liu, C.; Li, M.; Lv, Y.; Jia, L.; Jiang, S. Enhanced efficiency of thermoelectric generator by optimizing mechanical and electrical structures. Energies 2017, 10, 1329. [Google Scholar] [CrossRef]
- Li, Z.; Li, W.; Chen, Z. Performance analysis of thermoelectric based automotive waste heat recovery system with nano fluid coolant. Energies 2017, 10, 1489. [Google Scholar] [CrossRef]
- Alam, T.; Kim, M.-H. A comprehensive review on single phase heat transfer enhancement techniques in heat exchanger applications. Renew. Sustain. Energy Rev. 2018, 81, 813–839. [Google Scholar] [CrossRef]
- Twaha, S.; Zhu, J.; Maraaba, L.; Huang, K.; Li, B.; Yan, Y. Maximum power point tracking control of a thermoelectric generation system using the extremum seeking control method. Energies 2017, 10, 2016. [Google Scholar] [CrossRef]
- Xie, D.; Xu, J.; Liu, G.; Liu, Z.; Shao, H.; Tan, X.; Jiang, J.; Jiang, H. Synergistic optimization of thermoelectric performance in p-type Bi0.48Sb1.52Te3/graphene composite. Energies 2016, 9, 236. [Google Scholar] [CrossRef]
- Zhao, D.; Wu, D.; Bo, L. Enhanced thermoelectric properties of Cu2SbSe4 compounds via gallium doping. Energies 2017, 10, 1524. [Google Scholar] [CrossRef]


















| Engine 1 | ATEG Design 2 | Number of TEMs 3 | Tg,i (°C) | Tw,i (°C) | mATEG (kg) | PATEG (W) | Fe (%) | Reference |
|---|---|---|---|---|---|---|---|---|
| 1.4 L SI | 2 PP | 12 | 709 | 74 | 7 | 111 | [5] | |
| 1.6 L SI | 2 PP | 80 | 719 | 50 | 137 | 1.1 * | [6] | |
| 1.8 L CI | Radial | 10 | 540 | 28 | 4.8 | 40 | 0.0 * | [7] |
| 1.8 L CI | 2 PP | 12 | 526 | 34 | 7 | 64 | 0.0 * | Present |
| 1.9 L CI | 4 SSP | 8 | 427 | 7 | 30 | [8] | ||
| 2.0 L SI | 20 | 650 | 25 | 266 | [9] | |||
| 2.0 L SI | HexS | 18 | 611 | 80 | 99 | [10] | ||
| 3.0 L SI | HP | 8 | 350 | 30 | 38 | [11] | ||
| 3.7 L CI | 6 | 650 | 30 | 42 | [12] | |||
| 3.9 L CI | 2 PP | 240 | 290 | 80 | 200 | 618 | [13] | |
| 5.3 L SI | 2 PP | 16 | 550 | 88 | 40 | 177 | 2.0 ± 1.5 | [14] |
| 6.6 L CI | 2 PP | 4 | 200 | 10 | 8 | [15] | ||
| HDV CI | 2 PP | 224 | 80 | 416 | [16] | |||
| 14 L CI | OctS | 72 | 1068 | [17] |
| Equipment | Accuracy | Ref. |
|---|---|---|
| Current (NI 9227) | ± (169.7 mA + 5% of reading) | [36] |
| Voltage (NI 9215) | ± (85.3 mV + 1.05% of reading) | [36] |
| Temperature (NI 9211) | ± 0.6 °C | [36] |
| Type K thermocouple | ± 1.5 °C | [37] |
| Sensus 405 S water meter | ± 0.05 L | [38] |
| Manometer | ± 10 Pa | |
| Fuel Calibrated volume cylinder | ± 0.5 cm3 |
| Case | Regime (rpm) | Torque (N·m) | (g/s) | Tg,i (°C) | (L/h) | Tw,i (°C) | λ |
|---|---|---|---|---|---|---|---|
| 1 | 2500 | 69.9 ± 0.1 | 43.4 ± 0.3 | 444.7 ± 2.0 | 580 ± 3 | 26.4 ± 2.0 | 1.68 |
| 2 | 2500 | 67.3 ± 0.1 | 42.8 ± 0.3 | 428.7 ± 2.0 | 280 ± 3 | 31.2 ± 2.0 | 1.68 |
| 3 | 2500 | 71.9 ± 0.1 | 43.0 ± 0.3 | 450.1 ± 2.1 | 160 ± 3 | 33.6 ± 2.0 | 1.63 |
| 4 | 2800 | 75.1 ± 0.1 | 46.1 ± 0.3 | 521.6 ± 2.1 | 580 ± 3 | 29.6 ± 2.0 | 1.50 |
| 5 | 2600 | 82.2 ± 0.1 | 44.4 ± 0.3 | 547.4 ± 2.0 | 140 ± 3 | 33.4 ± 2.0 | 1.43 |
| 6 | 3000 | 79.2 ± 0.1 | 48.3 ± 0.3 | 598.8 ± 2.0 | 580 ± 3 | 28.0 ± 2.0 | 1.34 |
| 7 | 3200 | 76.1 ± 0.1 | 51.0 ± 0.3 | 598.5 ± 2.0 | 180 ± 3 | 34.5 ± 2.0 | 1.36 |
| Tc (°C) | Th (°C) | αe (V·K−1) | ke (W·m−1·K−1) | Rei (Ω) | |
|---|---|---|---|---|---|
| 38 | 140 | 0.0255 | 3.17 | 0.759 | 0.157 |
| 39 | 160 | 0.0263 | 2.94 | 0.781 | 0.180 |
| 42 | 180 | 0.0272 | 2.90 | 0.814 | 0.192 |
| 50 | 160 | 0.0267 | 3.00 | 0.806 | 0.179 |
| 51 | 170 | 0.0274 | 3.02 | 0.838 | 0.183 |
| 55 | 181 | 0.0280 | 2.97 | 0.829 | 0.199 |
| 55 | 201 | 0.0280 | 2.84 | 0.834 | 0.212 |
| 65 | 201 | 0.0279 | 2.87 | 0.787 | 0.214 |
| 65 | 226 | 0.0296 | 2.73 | 0.922 | 0.232 |
| 70 | 140 | 0.0261 | 3.15 | 0.729 | 0.179 |
| 70 | 160 | 0.0267 | 3.11 | 0.760 | 0.186 |
© 2018 by the authors. Licensee MDPI, Basel, Switzerland. This article is an open access article distributed under the terms and conditions of the Creative Commons Attribution (CC BY) license (http://creativecommons.org/licenses/by/4.0/).
Share and Cite
Comamala, M.; Cózar, I.R.; Massaguer, A.; Massaguer, E.; Pujol, T. Effects of Design Parameters on Fuel Economy and Output Power in an Automotive Thermoelectric Generator. Energies 2018, 11, 3274. https://doi.org/10.3390/en11123274
Comamala M, Cózar IR, Massaguer A, Massaguer E, Pujol T. Effects of Design Parameters on Fuel Economy and Output Power in an Automotive Thermoelectric Generator. Energies. 2018; 11(12):3274. https://doi.org/10.3390/en11123274
Chicago/Turabian StyleComamala, Martí, Ivan Ruiz Cózar, Albert Massaguer, Eduard Massaguer, and Toni Pujol. 2018. "Effects of Design Parameters on Fuel Economy and Output Power in an Automotive Thermoelectric Generator" Energies 11, no. 12: 3274. https://doi.org/10.3390/en11123274
APA StyleComamala, M., Cózar, I. R., Massaguer, A., Massaguer, E., & Pujol, T. (2018). Effects of Design Parameters on Fuel Economy and Output Power in an Automotive Thermoelectric Generator. Energies, 11(12), 3274. https://doi.org/10.3390/en11123274

