Cooling Process Analysis of a 5-Drum System for Radioactive Waste Processing
Abstract
:1. Introduction
2. Materials and Methods
2.1. Description of the Process
- The slag mould is filled up in the top part of the cooling tunnel (above drum position 1). After the slag mould is filled, it is located at position 1 inside the cooling tunnel, where air is flowing through in the opposite direction to the drums advancing direction.
- After 24 h, drum 1 advances to location 2. A new drum is located at position 1 from the filling position.
- Every 24 h, the drum advances to locations 3, 4 and 5, while it is being cooled down by means of the external air flow.
- After 5 days the solid slag is taken out and the cooling mould is used again for the same process.
2.2. Modelling Methodology and Assumptions
2.2.1. Geometry Modelling and Drum Dimensions
2.2.2. Slag and Mould Physical Properties
- Thermal conductivity: 36.2 W/m·K
- Specific heat: 512 J/kg·K
- Density: 7100 kg/m3
- Thermal Expansion Coefficient: 12.5 μm/(m K)
2.2.3. Operating Conditions
2.2.4. Modelling Methodology
- First, the external 3D air flow forced convection is solved around the five drums for a set of different air flow rates. Given the turbulent nature of the flow, the Realizable k-epsilon model in ANSYS-FLUENT was used for turbulence modelling, with non-equilibrium wall functions [33]. Simulations are carried out in steady-state. The drum external wall heat transfer coefficient is obtained as a result of the simulations, for each of the five drums in the row.
- Second, the heat transfer within the different drum elements is resolved separately. 2D axisymmetric simulations are carried out given the symmetry nature of the cylindrical drums (axis is depicted in Figure 1 (bottom)). The transient cooling heat transfer process is resolved, using a constant initial temperature at t = 0 s (1673 K for slag and slag mould, and 323 K for the other drum elements). The boundary condition at the external wall of each drum is the heat transfer coefficient calculated from the previous 3D simulation of the air flow around the drums.
- The coupling interface between both simulations is therefore the external wall of the drums.
2.2.5. Model Assumptions and Boundary Conditions
- Equal slag properties for solid and liquid phase (detailed in Table 2), as nuclear waste slag properties are not known. A sensitivity analysis for the slag properties is carried out in Section 3.5 in order to evaluate the effects of the variation of the slag properties.
- Slag mould properties equal to the slag properties (as nuclear waste slag properties are not known). A sensitivity analysis for the slag properties is carried out in Section 3.5.
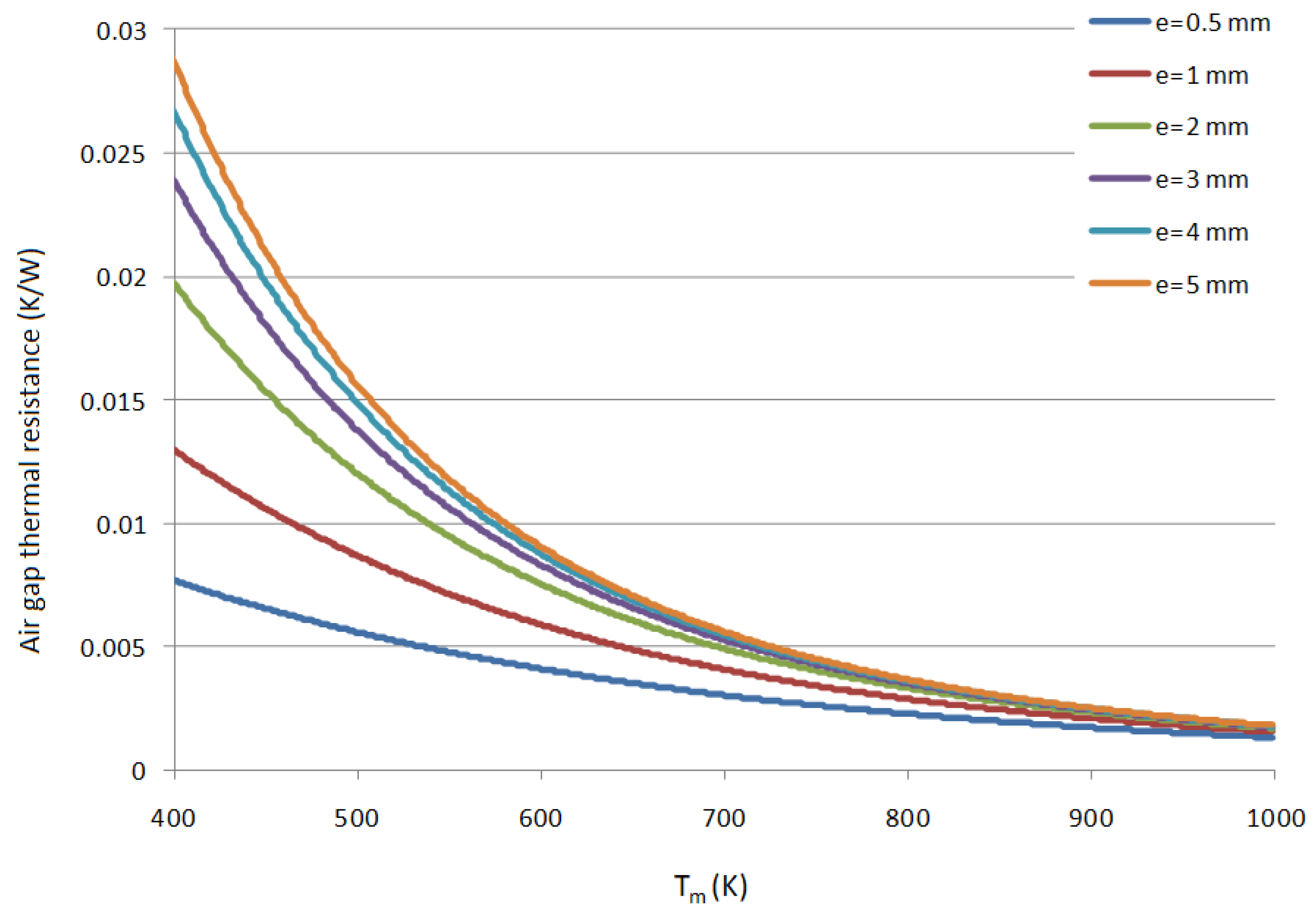
- The air conductivity in the air gap (0.5–5 mm thickness depending on the dilatation state) is corrected in the CFD simulations in order to take into account the radiation heat transfer between slag mould and cooling mould. This assumption is described and justified in Section 3.1.
- Constant air velocity at the inlet section (flat velocity profile at the inlet considered, as the real velocity profile from the blower upwind is not known).
- External heat transfer coefficient is dependent on drum position (see Figure 1), as turbulence and flow field around drums will differ for each drum. However, it is assumed to be constant for the top and side drum surfaces. This assumption is based on the preliminary results obtained for the simulations (29.18 W/m2K at the top surface and 29.24 W/m2K at the side, for the third drum at 2 m/s air velocity).
- Adiabatic bottom drum surface, as the heat flow through the bottom surface will be negligible in comparison with the side and top surfaces, given the very low air circulation under the drums as a result of the system configuration (Figure 1, with drums laying on the rolling floor).
- Gravity is not included in the simulations. The drum external heat transfer is a process governed by air flow forced convection, and the internal cooling is dominated by heat conduction within solids. Gravity forces can be therefore neglected.
- Drum-drum radiation heat transfer and drum-wall radiation heat transfer has been neglected in the simulations, as preliminary estimations show that radiation effects are negligible (drum-drum view factor is 0.15). Simulation results will be therefore minimally affected by radiation heat transfer, and not including it in the model will provide conservative results.
- The drum is perfectly cylindrical with a central rotation axis. Therefore, in order to allow for shorter computation times, a 2D axisymmetrical segment of 3 degrees has been resolved instead of the full 360-degree geometry (axis is depicted in Figure 1b). This allows for a mesh with less elements than in a 3D geometry, and it fully represents the real drum geometry.
- Time step size = 100 s. As the total cooling time is 24 h, 100 s time step size means 864 time steps.
3. Results
- Analysis of the thermal resistance of the air gap between slag mould and cooling mould, in order to assess the relative importance of heat radiation in comparison to conduction.
- Analysis of the external convective heat transfer coefficient of the drum wall-air interface by means of 3D CFD simulations.
- Determination of the temperature profiles (in space and time) in the drums by means of 2D axisymmetric CFD simulation.
- Determination of the outlet air temperature.
- Sensitivity analysis for different slag properties.
3.1. Analysis of the Thermal Resistance between Slag Mould and Cooling Mould
3.2. Analysis of the Mould/Air External Forced Convection
3.3. Temperature Distribution in Drums
3.4. Air Outlet Temperature
3.5. Sensitivity Analysis
4. Conclusions
- For all system variations analyzed, covering a range of air flow velocity 1–5 m/s and two different nuclear waste slag materials, the maximum temperature of slag is below 323 K at the end of five days operation, thus fulfilling the system requirements.
- The maximum slag mould temperature for all variations analyzed is 1661 K.
- The maximum cooling air temperature for 1 m/s cooling air velocity is 328 K for slag with steel properties, and 320 K for slag with glass properties, thus fulfilling the system requirements.
- The thermal resistance associated to the air gap, in the range of the system operation, is negligible in comparison with the external convective thermal resistance from drum to cooling air.
- The slag physical properties largely influence the heat transfer process, as the heat transfer rate limited by the external convection for slag with steel properties, but it is limited by heat conduction within the slag for glass properties (with a significantly lower thermal conductivity).
Supplementary Materials
Author Contributions
Funding
Conflicts of Interest
Nomenclature
| Symbols | |
| Cp | specific heat [kJ/kg K] |
| e | thickness [m] |
| F | force [kg/ms2] |
| g | gravity [kg/ms2] |
| h | heat transfer coefficient [W/m2K] |
| k | conductivity [W/m·K] |
| m | mass [kg] |
| mass flow [kg/s] | |
| Pr | Prandtl number [-] |
| p | pressure [Pa] |
| Q | heat [MJ] |
| Sm,h | source of mass, enthalpy [kg/m3s, J/m3s] |
| T | temperature [K] |
| t | time [s] |
| v | velocity [m/s] |
| Greek symbols | |
| Δhlg | solidification enthalpy [kJ/kg] |
| ε | emissivity |
| ρ | density [kg/m3] |
| σ | Stefan-Boltzmann constant (5.67 × 10−8 W/m2·K4) |
| τ | viscosity [Pa s] |
| Subscripts | |
| air | air |
| cm | cooling mould |
| d | drum |
| in | inlet |
| l | latent heat |
| out | outlet |
| s | sensible heat |
| slag | slag |
| sm | slag mould |
| wall | drum external wall |
Appendix A




References
- Weng, Y.; Wang, H.; Cai, B.; Gu, H.; Wang, H. Flow mixing and heat transfer in nuclear reactor vessel with direct vessel injection. Appl. Therm. Eng. 2017, 125, 617–632. [Google Scholar] [CrossRef]
- Maitri, R.V.; Zhang, C.; Jiang, J. Computational fluid dynamic assisted control system design methodology using system identification technique for CANDU supercritical water cooled reactor (SCWR). Appl. Therm. Eng. 2017, 118, 17–22. [Google Scholar] [CrossRef]
- Borreani, W.; Alemberti, A.; Lomonaco, G.; Magugliani, F.; Saracco, P. Design and Selection of Innovative Primary Circulation Pumps for GEN-IV Lead Fast Reactors. Energies 2017, 10, 2079. [Google Scholar] [CrossRef]
- Corzo, S.F.; Ramajo, D.E.; Nigro, N.M. CFD model of a moderator tank for a pressure vessel PHWR nuclear power plant. Appl. Therm. Eng. 2016, 107, 975–986. [Google Scholar] [CrossRef]
- Park, S.D.; Kim, J.H.; Bang, I.C. Experimental study on a novel liquid metal fin concept preventing boiling critical heat flux for advanced nuclear power reactors. Appl. Therm. Eng. 2016, 98, 743–755. [Google Scholar] [CrossRef]
- Şahin, H.M.; Akbay, O.; Kocar, C. Effect of thermal parameters on performance of modular helium reactors. Int. J. Energ. Res. 2012, 36, 1395–1402. [Google Scholar] [CrossRef]
- Simões, E.F.; Carneiro, J.N.E.; Nieckele, A.O. Numerical prediction of non-boiling heat transfer in horizontal stratified and slug flow by the Two-Fluid Model. Int. J. Heat Fluid Flow 2014, 47, 135–145. [Google Scholar] [CrossRef]
- Smith, T.R.; Schlegel, J.P.; Hibiki, T.; Ishii, M. Two-phase flow structure in large diameter pipes. Int. J. Heat Fluid Flow 2012, 33, 156–167. [Google Scholar] [CrossRef]
- Iacovides, H.; Launder, B.; West, A. A comparison and assessment of approaches for modelling flow over in-line tube banks. Int. J. Heat Fluid Flow 2014, 49, 69–79. [Google Scholar] [CrossRef]
- Shin, Y.; Seo, S.B.; Kim, I.G.; Bang, I.C. Natural circulation with DOWTHERM RP and its MARS code implementation for molten salt-cooled reactors. Int. J. Energ. Res. 2016, 40, 1122–1133. [Google Scholar] [CrossRef]
- Cong, T.; Zhang, X. Numerical Study of Bubble Coalescence and Breakup in the Reactor Fuel Channel with a Vaned Grid. Energies 2018, 11, 256. [Google Scholar] [CrossRef]
- Sohag, F.A.; Mohanta, L.; Cheung, F.B. CFD analyses of mixed and forced convection in a heated vertical rod bundle. Appl. Therm. Eng. 2017, 117, 85–93. [Google Scholar] [CrossRef]
- Chen, D.; Xiao, Y.; Xie, S.; Yuan, D.; Lu, Q. Thermal–hydraulic performance of a 5 × 5 rod bundle with spacer grid in a nuclear reactor. Appl. Therm. Eng. 2016, 103, 1416–1426. [Google Scholar] [CrossRef]
- Liu, C.C.; Ferng, Y.M.; Shih, C.K. CFD evaluation of turbulence models for flow simulation of the fuel rod bundle with a spacer assembly. Appl. Therm. Eng. 2012, 40, 389–396. [Google Scholar] [CrossRef]
- Piro, M.H.A.; Wassermann, F.; Grundmann, S.; Tensudad, B.; Kime, S.J.; Christonf, M.; Berndtg, M.; Nishimura, M.; Tropea, C. Fluid flow investigations within a 37 element CANDU fuel bundle supported by magnetic resonance velocimetry and computational fluid dynamics. Int. J. Heat Fluid Flow 2017, 66, 27–42. [Google Scholar] [CrossRef]
- Delafontaine, S. Simulation of unsteady fluid forces on a single rod downstream of mixing grid cell. Nucl. Eng. Des. 2018, 332, 38–58. [Google Scholar] [CrossRef]
- Hung, T.H.; Dhir, V.K.; Pei, B.S.; Chen, Y.S.; Tsai, F.P. The development of a three-dimensional transient CFD model for predicting cooling ability of spent fuel pools. Appl. Therm. Eng. 2013, 50, 496–504. [Google Scholar] [CrossRef]
- Liao, Y.; Lucas, D. Possibilities and Limitations of CFD Simulation for Flashing Flow Scenarios in Nuclear Applications. Energies 2017, 10, 139. [Google Scholar] [CrossRef]
- Yang, T.; Liu, X.; Cheng, X. A circumferentially non-uniform fuel model and its application to thermal-hydraulic code. Int. J. Energ. Res. 2018, 42, 188–197. [Google Scholar] [CrossRef]
- Ciparisse, J.F.; Rossi, R.; Malizia, A.; Gaudio, P. 3D Simulation of a Loss of Vacuum Accident (LOVA) in ITER (International Thermonuclear Experimental Reactor): Evaluation of Static Pressure, Mach Number, and Friction Velocity. Energies 2018, 11, 856. [Google Scholar] [CrossRef]
- Abe, S.; Studer, E.; Ishigaki, M.; Sibamoto, Y.; Yonomoto, T. Stratification breakup by a diffuse buoyant jet: The MISTRA HM1-1 and 1-1bis experiments and their CFD analysis. Nucl. Eng. Des. 2018, 331, 162–175. [Google Scholar] [CrossRef]
- Valdés-Parada, F.J.; Romero-Paredes, H.; Espinosa-Paredes, G. Numerical analysis of hydrogen generation in a BWR during a severe accident. Chem. Eng. Res. Des. 2013, 91, 614–624. [Google Scholar] [CrossRef]
- Jiang, J.; Li, Y.; Zhao, W.; Ying, R.; Fu, Y. Hydrodynamic buffer effect on the fall-off core barrel assembly in hypothetical drop accident. Nucl. Eng. Des. 2018, 332, 79–87. [Google Scholar] [CrossRef]
- Vivaldi, D.; Gruy, F.; Simon, N.; Perrais, C. Modelling of a CO2-gas jet into liquid-sodium following a heat exchanger leakage scenario in Sodium Fast Reactors. Chem. Eng. Res. Des. 2013, 91, 640–648. [Google Scholar] [CrossRef]
- Chang, H.Y.; Chen, R.H.; Lai, C.H. Numerical Simulation of the Thermal Performance of a Dry Storage Cask for Spent Nuclear Fuel. Energies 2018, 11, 149. [Google Scholar] [CrossRef]
- Lee, J.C.; Choi, W.S.; Bang, K.S.; Seo, K.S.; Yoo, S.Y. Thermal-fluid flow analysis and demonstration test of a spent fuel storage system. Nucl. Eng. Des. 2009, 239, 551–558. [Google Scholar] [CrossRef]
- Lo Frano, R.; Pugliese, G.; Forasassi, G. Thermal analysis of a spent fuel cask in different transport conditions. Energy 2011, 36, 2285–2293. [Google Scholar] [CrossRef]
- Xu, Y.; Yang, J.; Xu, C.; Wang, W.; Ma, Z. Thermal analysis on NAC-STC spent fuel transport cask under different transport conditions. Nucl. Eng. Des. 2013, 265, 682–690. [Google Scholar] [CrossRef]
- Tseng, Y.S.; Wang, J.R.; Tsai, F.P.; Cheng, Y.H.; Shih, C. Thermal design investigation of a new tube-type dry-storage system through CFD simulations. Ann. Nucl. Energy 2011, 38, 1088–1097. [Google Scholar] [CrossRef]
- Sanyal, D.; Goyal, P.; Verma, V.; Chakraborty, A. A CFD analysis of thermal behavior of transportation cask under fire test conditions. Nucl. Eng. Des. 2011, 241, 3178–3189. [Google Scholar] [CrossRef]
- Bullard, T.; Greiner, M.; Dennis, M.; Bays, S.; Weiner, R. Thermal analysis of proposed transport cask for three advanced burner reactor used fuel assemblies. In Proceedings of the ASME 2010 Pressure Vessels & Piping Division/K-PVP Conference PVP2010, Bellevue, WA, USA, 18–22 July 2010. [Google Scholar]
- European Standard EN-1563; European Committee for Standardization: Brussels, Belgium, June 1997.
- ANSYS-FLUENT; ANSYS, Inc.: Canonsburg, PA, USA, 2017.
- Incropera, F.P.; DeWitt, D.P. Fundamentals of Heat and Mass Transfer; John Wiley and Sons: New York, NY, USA, 1996. [Google Scholar]
- Rohsenow, W.M.; Harnett, J.P. Handbook of Heat Transfer; McGraw-Hill: New York, NY, USA, 1973. [Google Scholar]










| Element | Dimension (m) |
|---|---|
| Drum height | 1.030 |
| External CM diameter | 0.8 |
| Drum centres shift | 1.0 |
| Air gap thickness | 0.003 |
| Slag mould thickness (wall) | 0.005 |
| Slag mould thickness (bottom) | 0.01 |
| Slag mould height | 0.83 |
| Slag height | 0.81 |
| Physical Property | Temperature | Steel | Glass |
|---|---|---|---|
| Density (kg/m3) | 7833 | 2500 | |
| Specific heat (J/kg·K) | 465 | 840 | |
| Phase change temperature (K) | 1673 | 1173 | |
| Phase change enthalpy (kJ/kg) | 247.3 | 1780 | |
| 273 K | 55 | 0.6 | |
| 373 K | 52 | 0.6 | |
| 473 K | 48 | 0.6 | |
| Thermal conductivity (W/m·K) | 573 K | 45 | 0.6 |
| 673 K | 42 | 0.6 | |
| 873 K | 35 | 0.6 | |
| 1073 K | 31 | 0.6 | |
| 1273 K | 29 | 0.6 |
| Cooling Air Velocity (m/s) | hext_d1 (W/m2·K) | hext_d2 (W/m2·K) | hext_d3 (W/m2·K) | hext_d5 (W/m2·K) | hext_d4 (W/m2·K) |
|---|---|---|---|---|---|
| 1 | 16.4 | 15.7 | 16.5 | 18.2 | 20.5 |
| 2 | 25.6 | 30.5 | 35.7 | 39.7 | 39.4 |
| 3 | 34.4 | 44.1 | 52.3 | 55.6 | 52.1 |
| 4 | 38.1 | 47.8 | 56.7 | 62.8 | 62.5 |
| 5 | 41.3 | 50.3 | 63.2 | 69.7 | 70.2 |
| Cooling Air Velocity (m/s) | Slag | Slag Mould | Cooling Mould |
|---|---|---|---|
| 1 | 1673 | 1660 | 1036 |
| 2 | 1673 | 1660 | 966 |
| 3 | 1673 | 1660 | 934 |
| 4 | 1673 | 1660 | 915 |
| 5 | 1673 | 1660 | 904 |
| Cooling Air Velocity (m/s) | Slag | Slag Mould | Cooling Mould |
|---|---|---|---|
| 1 | 1673 | 1576 | 579 |
| 2 | 1673 | 1576 | 549 |
| 3 | 1673 | 1576 | 549 |
| 4 | 1673 | 1576 | 549 |
| 5 | 1673 | 1576 | 549 |
© 2018 by the authors. Licensee MDPI, Basel, Switzerland. This article is an open access article distributed under the terms and conditions of the Creative Commons Attribution (CC BY) license (http://creativecommons.org/licenses/by/4.0/).
Share and Cite
Iranzo, A.; Pino, F.J.; Guerra, J.; Bernal, F.; García, N. Cooling Process Analysis of a 5-Drum System for Radioactive Waste Processing. Energies 2018, 11, 2689. https://doi.org/10.3390/en11102689
Iranzo A, Pino FJ, Guerra J, Bernal F, García N. Cooling Process Analysis of a 5-Drum System for Radioactive Waste Processing. Energies. 2018; 11(10):2689. https://doi.org/10.3390/en11102689
Chicago/Turabian StyleIranzo, Alfredo, Francisco Javier Pino, José Guerra, Francisco Bernal, and Nicasio García. 2018. "Cooling Process Analysis of a 5-Drum System for Radioactive Waste Processing" Energies 11, no. 10: 2689. https://doi.org/10.3390/en11102689
APA StyleIranzo, A., Pino, F. J., Guerra, J., Bernal, F., & García, N. (2018). Cooling Process Analysis of a 5-Drum System for Radioactive Waste Processing. Energies, 11(10), 2689. https://doi.org/10.3390/en11102689

