Analysis of Pseudo-Random Sequence Correlation Identification Parameters and Anti-Noise Performance
Abstract
:1. Introduction
2. Earth Impulse Response Correlation Identification
2.1. Pseudo-Random Sequence Electromagnetic Detection Working Equipment
2.2. Comparison of Identification Methods
3. Correlation Identification Parameters Analysis
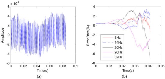
4. Anti-Noise Performance Analysis of Correlation Identification
5. Conclusions
Author Contributions
Funding
Conflicts of Interest
Appendix A

References
- Su, B.; Yu, J.; Sheng, C. Maxwell-equations based on mining transient electromagnetic method for coal mine-disaster water detection. Elektron. Elektrotech. 2017, 23, 20–23. [Google Scholar] [CrossRef]
- Chen, W.J.; Hao, Q.Q.; Chu, S.X.; Liu, J.M.; Liu, H.T.; Jiang, X. Application of very low frequency electromagnetic method to positioning of concealed metal deposits: An example of copper polymetallic ore occurrences in the southwest greater Hinggan mountains. Geol. Explor. 2017, 53, 528–532. [Google Scholar]
- Sharma, S.P.; Biswas, A.; Baranwal, V.C. Very low-frequency electromagnetic method: A shallow subsurface investigation technique for geophysical applications. In Recent Trends Modelling of Environmental Contaminants; Springer: New Delhi, India, 2014; pp. 119–141. [Google Scholar]
- Mittet, R.; Morten, J.P. The marine controlled-source electromagnetic method in shallow water. Geophysics 2013, 78, E67–E77. [Google Scholar] [CrossRef]
- Luo, Y.; Xu, Y.; Yang, B.; Liu, Y. Sensitivity study of three-dimensional marine controlled-source electromagnetic method. J. Appl. Geophys. 2017, 146, 46–53. [Google Scholar] [CrossRef]
- Zonge, K.L.; Sauck, W.A.; Sumner, J.S. Comparison of time, frequency, and phase measurements in induced polarization. Geophys. Prospect. 2010, 20, 626–648. [Google Scholar] [CrossRef]
- Hughes, L.; Zonge, L.; Van Reed, E.; Carlson, N.; Lide, C.; Urquhart, S.; Wynn, J.; Young, G.N.; Roth, J. Memorials: An appreciation of Kenneth L. Zonge (1936–2013). Lead. Edge 2014, 33, 354–356. [Google Scholar] [CrossRef]
- Huang, H.; Feng, L.I. Application of transient electromagnetic method in coal mine gob. Value Eng. 2014, 7, 321–326. [Google Scholar]
- Xi, Z.; Long, X.; Huang, L.; Zhou, S.; Song, G.; Hou, H.; Chen, X.; Wang, L.; Xiao, W.; Qi, Q. Opposing-coils transient electromagnetic method focused near-surface resolution. Geophysics 2016, 81, E279–E285. [Google Scholar] [CrossRef]
- El-Kaliouby, H.; Abdalla, O. Application of time-domain electromagnetic method in mapping saltwater intrusion of a coastal alluvial aquifer, North Oman. J. Appl. Geophys. 2015, 115, 59–64. [Google Scholar] [CrossRef]
- Azpúrua, M.A.; Pous, M.; Silva, F. A measurement system for radiated transient electromagnetic interference based on general purpose instruments. In Proceedings of the IEEE International Symposium on Electromagnetic Compatibility, Dresden, Germany, 16–22 August 2015; pp. 1189–1194. [Google Scholar]
- Powell, S.R.; Tazebay, M.V. Transceiver Self-Diagnostics for Electromagnetic Interference (EMI) Degradation in Balanced Channels. U.S. Patent 9379772, 28 June 2016. [Google Scholar]
- Zhai, L.; Lin, L.; Zhang, X.; Song, C. The effect of distributed parameters on conducted EMI from DC-Fed motor drive systems in electric vehicles. Energies 2017, 10, 1. [Google Scholar] [CrossRef]
- Huangfu, Y.; Pang, S.; Nahid-Mobarakeh, B.; Rathore, A.; Gao, F.; Zhao, D. Analysis and design of an active stabilizer for a boost power converter system. Energies 2016, 9, 934. [Google Scholar] [CrossRef]
- Roinila, T.; Luhtala, R.; Salpavaara, T.; Verho, J.; Messo, T.; Vilkko, M. Rapid high-frequency measurements of electrical circuits by using frequency mixer and pseudo-random sequences. Model. Identif. Control 2016, 37, 113–119. [Google Scholar] [CrossRef]
- Duncan, P.M.; Hwang, A.; Edwards, R.N.; Bailey, R.C.; Garland, G.D. The development and applications of a wide band electromagnetic sounding system using a pseudo-noise source. Geophysics 1980, 45, 1276–1296. [Google Scholar] [CrossRef]
- Cunningham, A.B. Some alternate vibrator signals. Geophysics 2012, 44, 332. [Google Scholar] [CrossRef]
- He, J.S. Wide field electromagnetic sounding methods. J. Cent. South Univ. 2015, 41, 1065–1072. [Google Scholar]
- He, J.; Li, D.; Dai, S. Shale gas detection with wide field electromagnetic method in north-western Hunan. Oil Geophys. Prospect. 2014, 49, 1006–1012. [Google Scholar]
- Zhang, W.W.; Di, Q.Y.; Lei, D.; Ma, F.S. Multi-channel transient electromagnetic method: A new geophysical method and its application in exploring metallic ore deposits. Gold Sci. Technol. 2018, 26, 1–8. [Google Scholar]
- Xue, G.Q.; Xin, W.U.; Hai, L.I.; Di, Q.-Y. Progress of multi-transient electromagnetic method in abroad. Prog. Geophys. 2016, 31, 2187–2191. [Google Scholar]
- Zhong, H.S.; Xue, G.Q.; Xiu, L.I.; Zhi, Q.Q.; Di, Q.-Y. Pseudo wavefield extraction in the multi-channel transient electromagnetic (MTEM) method. Chin. J. Geophys. 2016, 59, 4424–4431. [Google Scholar]
- Xie, X.; Lei, Z.; Yan, L.; Hu, W. Remaining oil detection with time-lapse long offset & window transient electromagnetic sounding. Oil Geophys. Prospect. 2016, 51, 605–612. [Google Scholar]
- Zhao, G.Z.; Bi, Y.X.; Wang, L.F.; Han, B.; Wang, X.; Xiao, Q.B.; Cai, J.; Zhan, Y.; Chen, X.; Tang, J.; et al. Advances in alternating electromagnetic field data processing for earthquake monitoring in china. Sci. China Earth Sci. 2015, 58, 172–182. [Google Scholar] [CrossRef]
- He, J.S. Closed addition in a three-element set and 2n sequence pseudo-random signal coding. J. Cent. South Univ. 2010, 41, 632–637. [Google Scholar]
- Ilyichev, P.V.; Bobrovsky, V.V. Application of pseudonoise signals in systems of active geoelectric exploration (results of mathematical simulation and field experiments). Seism. Instrum. 2015, 51, 53–64. [Google Scholar] [CrossRef]
- Xin, W.U.; Xue, G.Q.; Di, Q.-Y.; Zhang, Y.M.; Fang, G.Y. Accurate identification for the electromagnetic impulse response of the earth with pseudo random coded waveforms. Chin. J. Geophys. 2015, 58, 2792–2802. [Google Scholar]
- Wang, X.X.; Di, Q.Y.; Wang, M.Y.; Deng, J.Z. A study on the noise immunity of electromagnetic methods based on m pseudo-random sequence. Chin. J. Geophys. Chin. Ed. 2016, 59, 1861–1874. [Google Scholar]
- Fang, W.Z.; Li, X.; Li, Y.G. The whole-zone definition of apparent resistivity used in the frequency domain electromagnetic methods. J. Xi’an Coll. Geol. 1992, 14, 81–86. (In Chinese) [Google Scholar]
- Antoniou, A. Digital Signal Processing; McGraw-Hill: New York, NY, USA, 2016. [Google Scholar]












| n | |||
|---|---|---|---|
| 3 | 7 | 1.42 × 10−1 | 0.71 |
| 4 | 15 | 6.66 × 10−2 | 0.60 |
| 5 | 31 | 3.22 × 10−2 | 0.35 |
| 6 | 63 | 1.58 × 10−2 | 0.36 |
| 7 | 127 | 7.78 × 10−3 | 0.32 |
| 8 | 255 | 3.92 × 10−3 | 0.37 |
| 9 | 511 | 1.95 × 10−3 | 0.22 |
| 10 | 1023 | 9.77 × 10−4 | 0.37 |
| 11 | 2047 | 4.88 × 10−4 | 0.14 |
| Error | |||
|---|---|---|---|
| 1/1000 | 1.000 × 10−3 | 125.6637 | 16.22% |
| 1/2000 | 5.000 × 10−4 | 251.3274 | 67.55% |
| 1/3000 | 6.667 × 10−4 | 188.4956 | 25.66% |
| 1/4000 | 7.500 × 10−4 | 167.5516 | 11.70% |
| 1/5000 | 8.000 × 10−4 | 157.0796 | 4.720% |
| 1/6000 | 8.333 × 10−4 | 150.7964 | 0.531% |
| 1/7000 | 7.143 × 10−4 | 175.9292 | 17.29% |
| 1/9000 | 7.778 × 10−4 | 161.5676 | 7.712% |
© 2018 by the authors. Licensee MDPI, Basel, Switzerland. This article is an open access article distributed under the terms and conditions of the Creative Commons Attribution (CC BY) license (http://creativecommons.org/licenses/by/4.0/).
Share and Cite
Song, X.; Wang, X.; Dong, Z.; Zhao, X.; Feng, X. Analysis of Pseudo-Random Sequence Correlation Identification Parameters and Anti-Noise Performance. Energies 2018, 11, 2586. https://doi.org/10.3390/en11102586
Song X, Wang X, Dong Z, Zhao X, Feng X. Analysis of Pseudo-Random Sequence Correlation Identification Parameters and Anti-Noise Performance. Energies. 2018; 11(10):2586. https://doi.org/10.3390/en11102586
Chicago/Turabian StyleSong, Xijin, Xuelong Wang, Zhao Dong, Xiaojiao Zhao, and Xudong Feng. 2018. "Analysis of Pseudo-Random Sequence Correlation Identification Parameters and Anti-Noise Performance" Energies 11, no. 10: 2586. https://doi.org/10.3390/en11102586
APA StyleSong, X., Wang, X., Dong, Z., Zhao, X., & Feng, X. (2018). Analysis of Pseudo-Random Sequence Correlation Identification Parameters and Anti-Noise Performance. Energies, 11(10), 2586. https://doi.org/10.3390/en11102586
