A Simple-to-Implement Fault Diagnosis Method for Open Switch Fault in Wind System PMSG Drives without Threshold Setting
Abstract
1. Introduction
2. Investigation into Faults of PMSG Drives
2.1. Faulty Circuit Analysis of the PMSG Drives
2.1.1. (A) The Non-Zero-Crossing Section of the Faulty Current ()
2.1.2. (B) The Zero-Crossing Section of Faulty Current ()
2.2. Distortion of Arm Current
2.2.1. The Control Strategy
2.2.2. The Dynamics of Arm Current
2.3. Distortion of Voltages
2.3.1. The Lower Tube Voltage
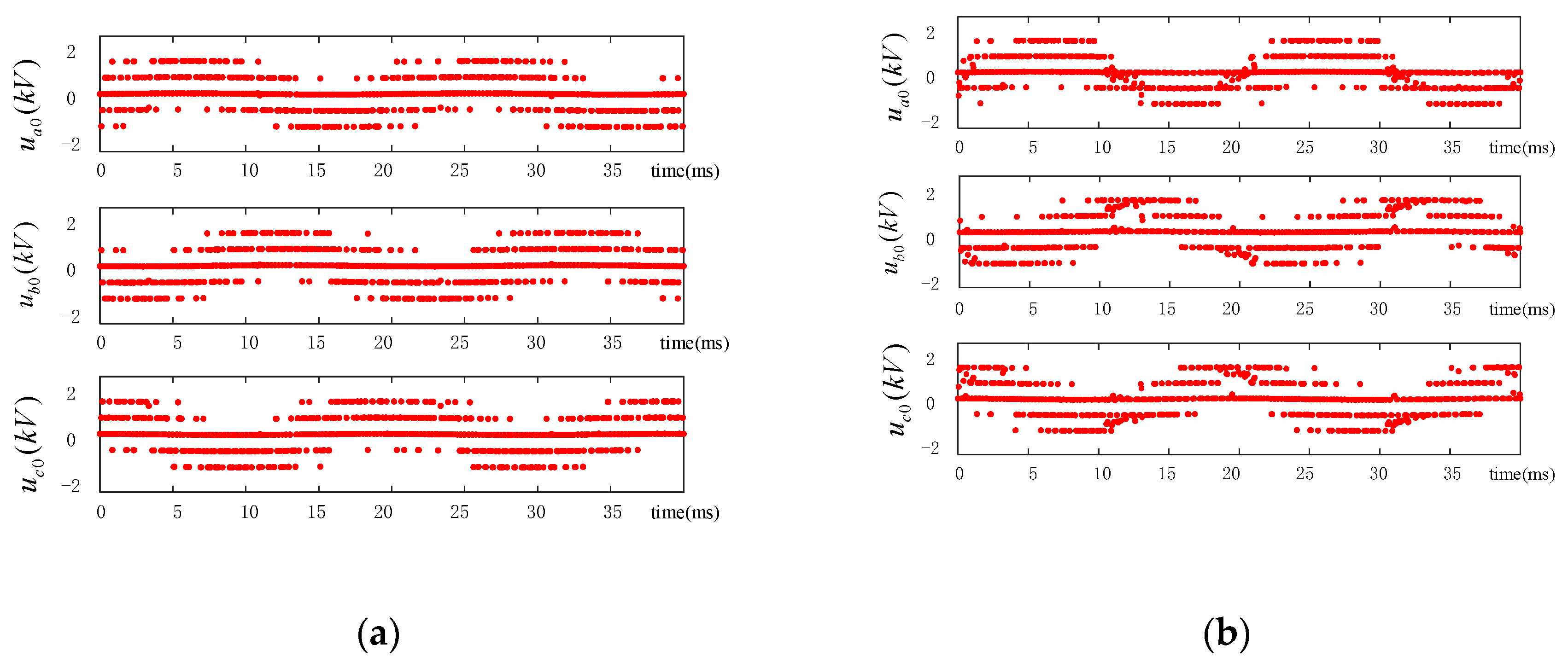
2.3.2. The Winding-to-Neutral Voltage
3. The Proposed Open-Circuit Fault Diagnosis
3.1. Method of Fault Diagnose
3.2. Fault Detection Time
3.3. Measurement of Electrical Signal
4. Simulation and Experimental Results
5. Conclusions
Author Contributions
Funding
Conflicts of Interest
Nomenclature
| back trapezoidal EMFs of generator (kV) | |
| phase stator resistance () | |
| phase stator inductance (mH) | |
| stator current (kA) | |
| N to neutral voltage (kV) | |
| gate command signals | |
| lower tube voltage (kV) | |
| special RMS voltage (kV) | |
| the fault blank period (ms) | |
| the sampling period (ms) | |
| DC-Link reference voltage (kV) | |
| the telecommunication and calculation time (ms) | |
| detection time (ms) | |
| the actual rotor speed (rad/s) | |
| PWM control signals | |
| fault localization variables |
References
- Sawczuk, W. The Application of Vibration Accelerations in the Assessment of Average Friction Coefficient of a Railway Brake Disc. Meas. Sci. Rev. 2017, 17, 125–134. [Google Scholar] [CrossRef]
- Sawczuk, W. Appliation of Vibroacoustic Dlagnostics to Evaluation of Wear of Friction Pads Rail Brake Disc. Eksploat. I Niezawodn.-Maint. Reliab. 2016, 18, 565–571. [Google Scholar] [CrossRef]
- Glowacz, A.; Glowacz, W.; Glowacz, Z.; Kozik, J.; Gutten, M.; Korenciak, D.; Khan, Z.F.; Irfan, M.; Carletti, E. Fault Dlagnosis of Three Phase Induction Motor Using-Current Singnal, MSAF-Ratio15 and Selected Classifiers. Arch. Metall. Mater. 2017, 62, 2413–2419. [Google Scholar] [CrossRef]
- Beainy, A.; Maatouk, C.; Moubayed, N.; Kaddah, F. Decision on Failure Diagnosis and Condition Monitoring technique for Wind Conversion System. In Proceedings of the IECON 2015—41st Annual Conference of the IEEE, Yokohama, Japan, 9–12 November 2015; pp. 5148–5155. [Google Scholar] [CrossRef]
- Choi, U.M.; Blaabjerg, F.; Lee, K.B. Study and Handling Methods of Power IGBT Module Failures in Power Electronic Converter Systems. IEEE Trans. Power Electron. 2015, 30, 2517–2533. [Google Scholar] [CrossRef]
- Rivera-Guillen, J.R.; De Santiago-Perez, J.J.; Amezquita-Sanchez, J.P.; Valtierra-Rodriguez, M.; Romero-Troncoso, R.J. Enhanced FFT-based Method for Incipient Broken Rotor Bar Detection In Induction Motors During the Startup Transient. Measurement 2018, 124, 277–285. [Google Scholar] [CrossRef]
- Singh, G.; Naikan, V.N.A. Detection of Half Broken Rotor Bar Fault In VFD Driven Induction Motor Drive Using Motor Square Current MUSIC Analysis. Mech. Syst. Signal Process. 2018, 110, 333–348. [Google Scholar] [CrossRef]
- Michalak, M.; Sikora, B.; Sobczyk, J. Diagnostic Model for Longwall Conveyor Engines; Book Series: Advances in Intelligent Systems and Computing; Springer International Publishing: Katowice, Poland, 2016; Volume 391, pp. 437–448. [Google Scholar]
- Igba, J.; Alemzadeh, K.; Durugbo, C.; Eiriksson, E.T. Analysing RMS and Peak Values of Vibration Signals for Condition Monitoring of Wind Turbine Gearboxes. Renew. Energy 2016, 91, 90–106. [Google Scholar] [CrossRef]
- Rokicki, E.; Szczepanik, R.; Rzadkowski, R.; Jarosław Spychała, R.S.; Drewczyński, M. Analysis of Middle Bearing Failure in Rotor Jet Engine Using Tip-Timing and RMS Technique. J. Vib. Eng. Technol. 2014, 4, 31–36. [Google Scholar] [CrossRef]
- Corne, B.; Vervisch, B.; Derammelaere, S.; Knockaert, J.; Desmet, J. The Reflection of Evolving Bearing Faults In the Stator Current’s Extended Park Vector Approach for Induction machines. Mech. Syst. Signal Process. 2018, 107, 168–182. [Google Scholar] [CrossRef]
- Riera-Guasp, M.; Antonino-Daviu, J.A.; Capolino, G.-A. Advances in Electrical Machine, Power Electronic, and Drive Condition Monitoring and Fault Detection: State of the Art. IEEE Trans. Ind. Electron. 2015, 62, 1746–1759. [Google Scholar] [CrossRef]
- Gao, Z.; Ding, S.X. A Survey of Fault Diagnosis and Fault-Tolerant Techniques Part I: Fault Diagnosis with Model-Based and Signal-Based Approaches. IEEE Trans. Ind. Electron. 2015, 62, 3757–3767. [Google Scholar] [CrossRef]
- Hang, J.; Zhang, J.; Cheng, M.; Ding, S. Detection and Discrimination of Open-Phase Fault in Permanent Magnet Synchronous Motor Drive System. IEEE Trans. Power Electron. 2016, 31, 4697–4709. [Google Scholar] [CrossRef]
- Yang, Z.; Chai, Y. A Survey of Fault Diagnosis for Onshore Grid-Connected Converterin Wind Energy Conversion Systems. Renew. Sustain. Energy Rev. 2016, 66, 345–359. [Google Scholar] [CrossRef]
- Kamel, T.; Biletskiy, Y.; Chang, L. Fault Diagnoses for Industrial Grid-Connected Converters in the Power Distribution Systems. IEEE Trans. Ind. Electron. 2015, 62, 6496–6507. [Google Scholar] [CrossRef]
- Moeini, R.; Tricoli, P.; Hemida, H.; Baniotopoulos, C. Increasing the reliability of wind turbines using condition monitoring of semiconductor devices: A review. IET Renew. Power Gener. 2018, 12, 182–189. [Google Scholar] [CrossRef]
- Wei, H.; Zhang, Y.; Yu, L.; Zhang, M.; Teffah, K. A New Diagnostic Algorithm for Multiple IGBTs Open Circuit Faults by the Phase Currents for Power Inverter in Electric Vehicles. Energies 2018, 11, 1508. [Google Scholar] [CrossRef]
- Zidani, F.; Diallo, D.; Benbouzid, M.E.H.; Nait-Said, R. A fuzzy-based approach for the diagnosis of fault modes in a voltage-fed PWM inverter induction motor drive. IEEE Trans. Ind. Electron. 2008, 55, 586–596. [Google Scholar] [CrossRef]
- An, Q.-T.; Sun, L.; Sun, L.-Z. Current Residual Vector-Based Open-Switch Fault Diagnosis of Inverters in PMSM Drive Systems. IEEE Trans. Power Electron. 2015, 30, 2814–2828. [Google Scholar] [CrossRef]
- Trabelsi, M.; Semail, E.; Nguyen, N.K. Experimental Investigation of Inverter Open-Circuit Fault Diagnosis for Biharmonic Five-Phase Permanent Magnet Drive. IEEE J. Emerg. Sel. Top. Power Electron. 2018, 6, 339–352. [Google Scholar] [CrossRef]
- Nuno, M.A.F.; Jorge, O.E.; António, J.M.C. A New Approach for Current Sensor Fault Diagnosis in PMSG Drives for Wind Energy Conversion Systems. IEEE Trans. Ind. Appl. 2014, 50, 1206–1214. [Google Scholar] [CrossRef]
- Trabelsi, M.; Boussak, M.; Benbouzid, M. Multiple criteria for high performance real-time diagnostic of single and multiple open-switch faults in AC-motor drives: Application to IGBT-based voltage source inverter. Electr. Power Syst. Res. 2017, 144, 136–149. [Google Scholar] [CrossRef]
- Gao, Z.; Cecati, C.; Ding, S.X. A Survey of Fault Diagnosis and Fault-Tolerant Techniques—Part II: Fault Diagnosis With Knowledge-Based and Hybrid/Active Approaches. IEEE Trans. Ind. Electron. 2015, 62, 3768–3774. [Google Scholar] [CrossRef]
- Cai, B.; Zhao, Y.; Liu, H. A Data-Driven Fault Diagnosis Methodology in Three-Phase Inverters for PMSM Drive Systems. IEEE Trans. Power Electron. 2017, 32, 5590–5600. [Google Scholar] [CrossRef]
- Yang, S.; Chen, G.; Jian, D. On-line Stator Open-Phase Fault Detection and Tolerant Control for Permanent Magnet Machines using the Neutral Point Voltage. IEEE Access 2017, 5, 1076–1082. [Google Scholar] [CrossRef]
- Wang, T.; Qi, J.; Xu, H.; Wang, Y.; Liu, L.; Gao, D. Fault Diagnosis Method Based on FFT-RPCA-SVM for Cascaded-Multilevel Inverter. ISA Trans. 2016, 60, 156–163. [Google Scholar] [CrossRef] [PubMed]
- Huang, Z.; Wang, Z.; Zhang, H. Multiple Open-Circuit Fault Diagnosis Based on Multistate Data Processing and Subsection Fluctuation Analysis for Photovoltaic Inverter. IEEE Trans. Instrum. Meas. 2018, 67, 516–527. [Google Scholar] [CrossRef]
- Rekha, S.N.; Jeyanthy, P.A.; Devaraj, D. Wavelet Transform Based Open Circuit Fault Diagnosis in the Converter Used in Wind Energy Systems. In Proceedings of the Name of the 2017 IEEE International Conference on Intelligent Techniques in Control, Srivilliputhur, India, 23–25 March 2017. [Google Scholar] [CrossRef]
- Jlassi, I.; Cardoso, A.J.M. IGBTs and Current Sensors Fault Diagnosis in Direct-Drive PSMG Wind Turbine Systems using Adaptive Thresholds. In Proceedings of the 43rd Annual Conference of the IEEE Industrial Electronics Society, Beijing, China, 29 October–1 November 2017. [Google Scholar] [CrossRef]
- Cheng, S.; Chen, Y.-T.; Yu, T.-J.; Wu, X. A Novel Diagnostic Technique for Open-Circuited Faults of Inverters Based on Output Line-To-Line Voltage Model. IEEE Trans. Ind. Electron. 2016, 63, 4412–4421. [Google Scholar] [CrossRef]
- Wang, T.; Xu, H.; Han, J.; Elbouchikhi, E.; Benbouzid, M.E.H. Cascaded H-bridge multilevel inverter system fault diagnosis using a PCA and multi-class relevance vector machine approach. IEEE Trans. Power Electron. 2015, 30, 7006–7018. [Google Scholar] [CrossRef]
- Gou, B.; Ge, X.; Wang, S.; Feng, X.; Kuo, J.B.; Habetler, T.G. An Open-Switch Fault Diagnosis Method for Single-Phase PWM Rectifier Using a Model-Based Approach in High-Speed Railway Electrical Traction Drive System. IEEE Trans. Power Electron. 2016, 31, 3816–3826. [Google Scholar] [CrossRef]
- Jlassi, I.; Estima, J.O.; Khil, S.K.E.; Bellaaj, N.M.; Cardoso, A.J.M. A Robust Observer-Based Method for IGBTs and Current Sensors Fault Diagnosis in Voltage-Source Inverters of PMSM Drives. IEEE Trans. Ind. Appl. 2017, 53, 2894–2905. [Google Scholar] [CrossRef]
- Jlassi, I.; Estima, J.O.; Khil, S.K.E.; Bellaaj, N.M.; Cardoso, A.J.M. Multiple Open-Circuit Faults Diagnosis in Back-to-Back Converters of PMSG Drives for Wind Turbine Systems. IEEE Trans. Power Electron. 2015, 30, 2689–2703. [Google Scholar] [CrossRef]
- Lee, J.S.; Lee, K.B.; Blaabjerg, F. Open-Switch Fault Detection Method of a Back-To-Back Converter Using NPC Topology for Wind Turbine Systems. IEEE Trans. Ind. Appl. 2015, 51, 325–335. [Google Scholar] [CrossRef]
- Shi, T.; He, Y.; Deng, F.; Tong, J.; Wang, T.; Shi, L. Online Diagnostic Method of Open-Wwitch Faults in PWM Voltage Source Rectifier Based on Instantaneous AC Current Distortion. IET Electr. Power Appl. 2018, 12, 447–454. [Google Scholar] [CrossRef]
- Li, W.; Li, L.; Gao, H.; Li, D.; Zhang, X.; Fan, Y. Influence of Direct-Connected Inverter with One Power Switch Open Circuit Fault on Electromagnetic Field and Temperature Field of Permanent Magnet Synchronous Motor. IET Electr. Power Appl. 2018, 12, 815–825. [Google Scholar] [CrossRef]
- Haghnazari, S.; Khodabandeh, M.; Zolghadri, M.R. Fast fault detection method for modular multilevel converter semiconductor power switches. IET Power Electron. 2016, 9, 165–174. [Google Scholar] [CrossRef]
- Masrur, M.A. Assumption or fact?—Line-to-neutral voltage expression in an unbalanced 3-phase circuit during inverter switching. IEEE Trans. Educ. 2009, 52, 222–227. [Google Scholar] [CrossRef]
- Yang, M.; Lang, X.; Long, J.; Xu, D. A Flux Immunity Robust Predictive Current Control with Incremental Model and Extended State Observer for PMSM Drive. IEEE Trans. Power Electron. 2017, 32, 9267–9279. [Google Scholar] [CrossRef]
- Broeck, H.W.V.D.; Skudelny, H.-C. Analysis and Realization of a Pulsewidth Modulator Based on Voltage Space Vectors. IEEE Trans. Ind. Appl. 1988, 24, 142–150. [Google Scholar] [CrossRef]














| Device | Parameters | Device | Parameters | |
|---|---|---|---|---|
| generator | rated power | 2.2 kW | DC-link capacitance | 1000 uF |
| rated voltage | 0.38 kV | Grid equivalent inductance | 2 mH | |
| rated frequency | 50 Hz | Rotational inertia of the generator | 0.0032 kg·m2 | |
| resistance | 0.86 | |||
| inductance | 11.3 mH | |||
| voltage coefficient | 0.62 kv | |||
| Device | Parameters | Device | Parameters | |
|---|---|---|---|---|
| generator | rated power | 1.58 MVA | DC-link capacitance | 200 mF |
| rated voltage | 0.69 KV | Grid equivalent inductance | 0.2 mH | |
| rated frequency | 50 HZ | Rotational inertia of the generator | 2 pu | |
| resistance | 0.017 pu | |||
| inductance | 0.064 pu | |||
| voltage coefficient | 1500 V | |||
| Faulty Switch | Current Direction | ||||||||
|---|---|---|---|---|---|---|---|---|---|
| 000 | 001 | 010 | 011 | 100 | 101 | 110 | 111 | ||
| T1 | 0 | 0 | 0 | 0 | 0 | 0 | 0 | 0 | |
| 0 | 0 | 0 | 0 | ||||||
| If VD1 conducts, . If VD4 conducts, . If both VD1 and VD4 cannot conduct, | |||||||||
| No faulty switch | both | 0 | 0 | 0 | 0 | ||||
| Faulty Switch | Faulty Switch | ||||||
|---|---|---|---|---|---|---|---|
| 1 | T4 | 1 | T6 | ||||
| 0 | T1 | 0 | T3 | ||||
| 1 | T2 | 0 | T5 |
| Diagnostic Methods | The Object | The Complex of Background | Faulty Current | Threshold Setting |
|---|---|---|---|---|
| Current-changing trend detection method [34] | The PWM voltage source rectifier | bilateral | need | |
| The normalized way [18] | Power inverter in electric vehicles | unidirectional | need | |
| The zero-crossing feature-based method [33] | back-to-back converters using the NPC topology | bilateral | need | |
| Proposed method | MSC of PMSGWS | bilateral | unnecessary |
© 2018 by the authors. Licensee MDPI, Basel, Switzerland. This article is an open access article distributed under the terms and conditions of the Creative Commons Attribution (CC BY) license (http://creativecommons.org/licenses/by/4.0/).
Share and Cite
Yanghong, T.; Haixia, Z.; Ye, Z. A Simple-to-Implement Fault Diagnosis Method for Open Switch Fault in Wind System PMSG Drives without Threshold Setting. Energies 2018, 11, 2571. https://doi.org/10.3390/en11102571
Yanghong T, Haixia Z, Ye Z. A Simple-to-Implement Fault Diagnosis Method for Open Switch Fault in Wind System PMSG Drives without Threshold Setting. Energies. 2018; 11(10):2571. https://doi.org/10.3390/en11102571
Chicago/Turabian StyleYanghong, Tan, Zhang Haixia, and Zhou Ye. 2018. "A Simple-to-Implement Fault Diagnosis Method for Open Switch Fault in Wind System PMSG Drives without Threshold Setting" Energies 11, no. 10: 2571. https://doi.org/10.3390/en11102571
APA StyleYanghong, T., Haixia, Z., & Ye, Z. (2018). A Simple-to-Implement Fault Diagnosis Method for Open Switch Fault in Wind System PMSG Drives without Threshold Setting. Energies, 11(10), 2571. https://doi.org/10.3390/en11102571
