Abstract
This paper proposes a novel model for a PV cell with parameters variance dependency on temperature and irradiance included. The model relies on commercial available data, calculates the cell parameters for standard conditions and then extrapolates them for the whole operating range. An up-to-date review of the PV modeling is also included with series and parallel parasitic resistance values and dependencies discussed. The parameters variance is analyzed and included in the proposed PV model, where the self-heating phenomenon is also considered. Each parameter variance is compared to the results from different authors. The model includes only standard components and can be run on any SPICE-based simulator. Unlike other approaches that consider the internal temperature as a parameter, our proposal relies on air temperature as an input and computes the actual internal temperature accordingly. Finally, the model is validated via experiments and comparisons to similar approaches are provided.
1. Introduction
PV cells have been extensively studied in the last decades as solar energy is more and more accepted as a viable alternative to traditional energy sources. Rauschenbach [1] is a reference work, addressing the principles of PV energy conversion. Patel [2] covers a wider area, dealing both with wind and solar energy. The second edition of the “Handbook of Photovoltaic Science and Engineering” [3] by Luque and Hegedus is another reference book, providing rich details of all aspects regarding solar energy. Chapter 18 deals with solar cells and modules measurements and models. Aparicio et al. [4] use free software for modeling PV cells, while Sumathi et al. [5] and Khatib and Elmenreich [6] explain how to model a PV cell or array using MATLAB. Honsberg and Bowden [7] offer an online book with examples, intended for researchers and students, while in another online resource, Van Zeghbroeck [8] inspects in detail the main information of the semiconductors theory and devices. Modeling the PV behavior is useful for system design, planning, research and training. The goal of this work is to develop an accurate model for a PV cell, expandable to a whole module, using affordable tools and taking into account parameters variations. LTSpice [9] was chosen as the simulation tool due to its free cost and wide acceptance, Visual Studio Express [10], also a free tool, was used for parameters estimation and solution validation. Finally, S-Math Studio [11] was selected for the trial and error different evaluations. The solution implies a reasonable computing power and provides fast convergence. The model itself is portable, as it uses only standard components and is also vendor independent. The input data is usually provided from the manufacturer’s datasheet or can be obtained via experiments.
Unlike other approaches, the model uses the ambient/air temperature and based on the irradiance it calculates the internal (silicon) temperature and provides the actual values of the parameters.
The paper is organized as follows: Section 2 briefly analyzes the classical PV model and its equations. Section 3 deals with the information provided by the PV cell datasheet and the equipment involved in measurements. Finding the solution for the PV cell model is analyzed in Section 4, with Section 4.1 introducing the solving algorithm. A review of parameters variation is the subject for Section 4.2, including the real operating conditions, when the PV solar cell is self heating. The new PV cell model is proposed in Section 4.3, the experimental results are exposed in Section 5, while conclusions are presented in Section 6.
2. The Classical PV Cell Model
The equivalent circuit of a solar cell is investigated in many prior works. It is generally accepted that a PV cell can be modeled by the circuit in Figure 1, including one [12,13,14,15,16,17,18,19,20,21,22,23,24,25,26,27,28,29,30,31,32], two [33,34,35] and rarely three or more diodes [36,37]. Erdem and Erdem [38] propose a distance learning experiment for a PV cell model using MATLAB. In [12], Green focuses on fill factor formulae. Phan and Chan [13] are among the first who provide an analytical solution for a PV model. However, they do not consider parameters variation and have a limited range for . Further proposals for PV models can be found in [14,15]. Walker [16] uses a MATLAB PV model to study MPPT converter technologies. De Blas et al. [17] and Xiao et al. [18] further enhance the PV models adding new perspectives, while King et al. [19] propose a model available online using an extensive set of experimental data. De Soto et al. [20] propose a model for a PV array, while Schlosser and Ghitas [21] analyze the AC parameters of the PV cell.
Figure 1.
Equivalent circuit of a photovoltaic cell.
Villava et al. [22] develop an accurate algorithm for finding the PV model parameters at the reference temperature. Kim et al. [23] concentrate on transient analysis based on a grid-connected PV system. Di Piazza and Vitale [24] investigate different shadowing conditions. A model dedicated to monocrystalline PV panels is proposed by Jung and Ahmed [25]; Kim and Choi [26] introduce an interesting way for finding the PV cell parameters. Advanced mathematics is used in [27] for the same purpose while Saloux et al. [28] elaborate explicit parameters finding around MPP. Further models are also proposed by Cuce [29] and Tian et al. [30].
Cubas and Pindado [31] use Lambert W-function for PV cell parameters extraction and they also provide an LTSpice model based on these parameters. In a recent paper, Aller et al. [32] propose an estimation of the PV parameters that can used in inverters power control.
Chan and Phang [33] do a pioneering work in establishing a solution for the double diode PV model with the assumption of the ideality factor being 1 for the first diode and 2 for the second diode. Sandrolini et al. [34] extract the double diode model parameters using a numerical method by cluster analysis, while Ishaque et al. [35] address the same problem using a MATLAB model, able to correctly operate also on shading conditions.
In Figure 1, current source models the photo generated current, with a linear dependency on the irradiance. The first diode, , is associated with the diffusion mechanism. The second diode, , is inserted to include the effect of charge recombination. Resistance represents the cell series resistance and resistance the cell parallel (shunt) resistance. Resistance is related to the losses in cell solder bonds, wires, junctions and so on and it is usually bellow 1 Ω. Resistance is related to the leakage current through the high conductivity shunts across the p-n junction and its order starts in the order of ten of ohms to several kΩ. The circuit in Figure 1 can be extended to any combination of series— parallel cells within a PV module (array). In this paper we shall consider only one diode in the model, , neglecting . The equations will be provided in a general form, while the simulations and the experiments will be conducted for a single cell, that is for . In the remaining text, for simplicity reasons, the output cell voltage and the output cell current will be written as and , respectively.
Referring to Figure 1, according to Kirchhoff’s current law (KCL), one can write:
where is the diode reverse saturation current, is the electron charge, is the Boltzmann constant, is the actual silicon temperature and is the ideality factor of the diode.
Current linearly depends on irradiation and temperature [15,18]:
At the maximum power point, using (1), the maximum power can be derived [22]:
Even in (1) and (3) is considered equal to , a more accurate formula for is [22]:
A good overview of the PV cell performance can be found in [12], where an empirical formula for the fill factor is introduced, considering the single diode model:
3. Materials, Methods and Equipment
For our experiments we have chosen a high efficiency low cost monocrystalline Silicon PV solar cell, unmounted in panels [39]. The datasheet of the PV cell offers a limited amount of data, summarized in Table 1.
Table 1.
PV Cell main specifications on STC (1000 W/m2, AM 1.5, 25 °C).
It is important to note that for any solar cell. This is a good starting point for any simulation or MPPT algorithm implementation.
The data from the datasheet is confusing, as:
- The claimed maximum power (5.21 W) differs from . This latter value will be considered subsequently.
- The claimed fill factor (81.90%) differs from the standard definition .
The empirical Equation (5) yields an approximate result () when compared to the datasheet values (Table 1).
The irradiance was measured with a Klipp and Zonen SHP1 pyrheliometer with integrated temperature sensor for temperature compensation. The internal silicon temperature was determined with a FLIR E8 infrared camera and a PT1000 temperature sensor on the rear of the PV cell. In order to obtain reliable data, the PT1000 temperature sensor was glued with high thermally conductive adhesive to the backside metal coating of the PV cell. The ambient temperature was measured using the National Instruments NI USB T01 interface. Due to the extremely low internal series resistance , several series cells were carefully wired and a Kelvin connection had to be used for voltage measurements. The measurements were performed under real life conditions, when the solar irradiance was maximum with the PV cells oriented toward the sun on 45 degree inclined support. The load was an ET Instrument ESL-Solar, configured in MPPT mode.
The accuracy of the irradiance measurement relies on the Klipp and Zonen SHP1 pyrheliometer with zero offset due to temperature change, temperature dependence of sensitivity below 0.5% from −30 to +60 °C and nonlinearity below 0.2% for up to 1000 W/m2 irradiance. The accuracy of the temperature sensor for the ambient temperature and PV cell backside coating is 0.6 °C in the measurement range of 0–60 °C. The FLIR E8 infrared camera has an accuracy of 2 °C with thermal sensitivity below 0.06 °C. The accuracy of the FLIR infrared camera is lower than the measurements taken with the temperature sensors but offers the advantage of contactless measurement which is important for PV cell front side measurements. However, the existence of hot spots can be easily observed with this method. The electrical noise was minimized using the following digital busses for communication: Modbus for irradiance and PV cell back side temperature measurement, USB for ambient and PV cell front side temperature measurements.
4. Classical Model Solving
Several ways for solving the equations have been proposed. In [17] de Blas et al. assume the operation of a solar module at high irradiance levels and deduce the parameters accordingly. De Soto et al. [20] show how the values of parameters for the five-parameter model can be determined for four different cell technologies. The methods introduced in [22,26] are somehow similar, the parameters being precisely extracted by letting the resistance values converge to the actual value in repeated numerical loop computations. Ishaque and Salam [27] use the differential evolution for parameters extraction. Saloux et al. [28] introduce a model able to predict the short-circuit current, the open-circuit voltage and the maximum cell power. Tian et al. [30] concentrate on an extension of the PV cell model for modules and arrays, for monocrystalline and polycrystalline silicon, used for shading effect investigation under different operating conditions.
One of the difficulties is the implicit nature of Equation (1) regarding . This has been addressed by various techniques, ranging from pure mathematical approaches (including Lambertian W-Function, [31]) to pure numerical solutions, mainly in MATLAB [5,6,16,35].
Later models take into account the parameters variation with temperature and irradiance. Radziemska and Klugmann [40] analyze the temperature influence on the I-V curves of the PV cell, while Tsuno et al. [41] include also the irradiance in the analysis. Singh et al. [42] also present the temperature influence, while Cuce and Bali [43] focus on parameters variation in humid climates. The Lambert W-function is again used by Ghani and Duke [44] to estimate the parasitic resistances of the PV cell. The correlation between the temperature and PV cell efficiency is addressed in [45,46]. Temperature and irradiance influence on the PV cell characteristics via experiments is presented in [47,48]. Araneo et al. [49] propose a model to predict the PV cell temperature based on date, time and geographical position. Temperature and irradiance influence are also investigated in two recent papers by Chander et al. [50] and Aller et al. [51]. However the most common approach considers the internal PV temperature as an independent parameter and plots the I-V family curves for different temperatures. This aspect will be covered in the subsequent sections. It has to be stressed out that the exponential nature of Equation (1) determines that a small variation in any of the terms involved in the exponential term to substantially modify the final result. This aspect will be addressed in Section 5 and Section 6.
4.1. Solving the Equations for the Classical PV Model
The method introduced here is an extension of the method proposed by Villalva et al. [22] and involves the following steps:
- Compute
- For validation purposes determine the limits and
- For all values between with as increment, numerically solve (1) for the MPP.
- When the maximum power error is below the imposed threshold error, is established and can be computed.
A VB.net application has been developed by the authors in order to numerically solve and compute the model parameters. The application can be downloaded from http://tess.upt.ro. Figure 2 depicts a print screen for the initial parameter passing (a) and the results (b).
Figure 2.
VB.net PV Cell solver: (a) Entering parameters values; (b) getting the solution.
In our case, using the values taken from the datasheet for , it results that:
These limits are important to set reliable ranges for the algorithm. The final results are listed in Table 2.
Table 2.
Vb.net application results.
Several attempts have been made for finding explicit expressions for and based on actual datasheet data. For example, Cubas et al. [31] offer the formula (with as an argument, considering ):
For the above data, the formula (8) yields a result of 59.43 Ω, compared to the actual value of 73.19 Ω.
In a simplified model (), Xiao et al. [18] propose for the following relationship (again ):
Here (9) yields mΩ, quite far from its actual value (3.8 mΩ).
4.2. Parameters Variation for Different Conditions
The parameters in Equations (1)–(4) are not constant over the environmental conditions, as depend on temperature and irradiance. A brief review of these dependencies is provided bellow.
4.2.1. Diode Saturation Current—
Phang et al. [13] show that if is below 10 A, can be derived as in (10):
in (10) yields a very good result of 1.3969 nA vs. 1.39427 nA obtained in Table 2.
Gow and Manning [15] were among the first to claim that:
The temperature dependence of this current is more detailed expressed by [16,20]:
where is the bandgap voltage of the semiconductor ( V for Si at 25 °C).
can be derived from (1) at the reference temperature as:
According to Vilalva et al. [22], can be further improved:
In subchapter 4.6.3 of [8], Van Zeghbroeck states an equation in which can be derived from, that can offer an alternate way to estimate :
This proves to be not very accurate in our case, as with the values from Table 1, from (15) results 0.085 nA, quite far from the actual value (1.39427 nA).
4.2.2. Band Gap Energy and Bandgap Voltage—
Van Zeghbroeck [8] shows that the bandgap energy, , exhibits a small temperature dependence as in (16).
From (16), for silicon cells at 25 °C. This is the value considered in Table 1.
In contrast, Kim et al. [23] define the variance for for silicon to be:
Both (16) and (17) fit in the [1.1, …, 1.3] V interval specified when Equation (12) was introduced. In our approach shown in Figure 3, we adopted the Van Zeghbroeck proposal because it will finally lead to a more realistic value for and close to the linear approximation of against temperature suggested by Radziemska and Klugmann [40], which indicate a temperature coefficient .
Figure 3.
variation against temperature according to several authors.
4.2.3. Series Resistance—
Honsberg and Bowden [7] show that does not influence , but close to the open-circuit voltage, the I-V curve is affected by . An initial estimation for is to find the slope of the I-V curve at the open-circuit voltage point (18):
In our case, mΩ (while mΩ, as it will later be shown).
Cuce and Bali [43], Cuce et al. [47] and Singh et al. [42] claim that linearly decreases with the temperature. Obviously, reducing yields an increase in the output current.
A PV Cell model is also available in MATLAB Simscape [52]. It consists of the same circuit as in Figure 1, where the user can choose between:
- An 8-parameter model, where Equation (1) describes the output current
- A 5-parameter model that neglects in Figure 1 and the value of the shunt resistor is infinite.
Both models adjust the resistance values and current parameters as a function of temperature. Resistance is assumed to be given by (19):
where is the temperature exponent for . is 0 by default and when modified has to be positive.
Figure 4 summarizes all these above dependencies. In order to have the results in the same range, Cubas et al. [31] and Cuce et al. [47] results were scaled, and Equation (19) was re-written as in (20), interchanging with and was estimated as 4.9 for the best fit. A linear dependency is easy to implement, but might also lead to results not physically true (for example Cuce et al. [47] data lead to negative resistances for temperatures over 75 °C and so does Cubas et al. [31] over 97 °C).
where .
Figure 4.
variation against temperature by several authors.
The linear law (21) was adopted for and we chose , again for the best fit.
4.2.4. Parallel Resistance—
Honsberg and Bowden [7] and Jung and Ahmed [25] showed that the shunt resistance of a solar cell can be determined from the slope of the I-V curve close to the short-circuit point, yielding a fair approximation for :
From our experimental data, Ω, very close to the accurate solution Ω, as it will later be illustrated.
Cuce and Bali [43] and Cuce et al. [47] claim that the shunt resistance linearly decreases with temperature. They explain this decrease in terms of a combination of tunneling and trapping–detrapping of the carriers through the defect states in the space-charge region of the device. These defect states act either as recombination centers or as traps depending upon the relative capture cross sections of the electrons and holes for the defect. Temperature dependency for is however more complicate.
is again modeled in MATLAB Simscape like (23):
where is the temperature exponent for . is 0 by default and when modified has to be positive.
Figure 5 summarizes all these equations. In order to bring the results in the same range, Cubas et al. [31] and Cuce et al. [47] dependencies were scaled, and Equation (23) was re-written as in (24) interchanging with and was estimated as 8 for best fit.
where .
Figure 5.
variation over temperature by several authors.
Although influence is small in the overall model, for an accurate modeling and especially for larger temperature ranges linear variation is not realistic. Therefore in our model described by (24) we chose .
4.2.5. Ideality Diode Factor—
Some authors consider the ideality factor as being constant over the operating temperature range and with a generic value for in the interval [1, 1.5] for every kind of cell [22,31]. Cuce et al. [29] propose for monocrystalline silicon cells, and for polycrystalline ones. Some studies indicate a linear decreasing with temperature [18]. Cubas et al. [31] say that “the lack of accuracy produced when considering the ideality factor as constant is generally reduced, given that variations of this parameter only affects the curvature of the I-V curve.” This is arguable, as interferes in an exponential dependency and small variations of lead to significant changes in and finally in . One might say that picking a random in the above specified range will be balanced by a different , so only the pair matters. However this approach is misleading, as it may induce impossible physical solutions.
Phang et al. [13] have the following proposal:
De Blas et al. [17] suggest that:
E. Saloux et al. [28] somehow simplify (26) as below:
In the algorithm of Villalva [53], a different formula is introduced. Considering that for crystalline silicon J, becomes 1.1235 V and the following formula provides a good result (Formula (28) was adapted from [53], as the additional presence of the in the initial formula provided correct results only for ), thus eliminating a trial and error time consuming for the initial guess of :
The results for are summarized in Table 3, with a very good correlation between (25), (26) and (28). This is the reason we have adopted the Villalva value of 1.2034.
Table 3.
Different values.
Xiao et al. [18] specify a linear decreases of the ideality factor with the temperature for the Shell ST40 module, ranging from 1.85 to 1.15, corresponding to 5 to 45 Celsius degree variance respectively. From the data plotted in their work, the following law can be adopted:
Such approach must be taken with extreme care, as it is a common practice to operate often at temperatures higher than 48 °C, where (29) yields (or 0 at 100 °C)
De Soto et al. [20] come with a different proposal:
which has a wrong slope. For a proper variation and should be reversed as follows:
Our experiments presented in Figure 6 yielded a different result, closer to reversed Soto (31), according to the following linear dependency:
Figure 6.
vs. temperature.
4.2.6. Self Heating Phenomenon
It is a common practice to express the internal cell temperature, based on Normal Operating Cell Temperature (NOCT) data, when the module is mounted 45° from horizontal.
Here W/m2, °C and airflow is m/s [45].
The internal temperature of the PV was of permanent concern for the researchers [40,41,42,46], but in most situations just an uncorrelated dependency is studied. Simply the temperature dependency of the I-V characteristic without acknowledging neither the real, actual temperature of the PV nor parameter variation is considered. Advanced simulators software packages include such features, MATLAB Simscape [52] being one of them.
In a recent work, Krac and Górecki [54] introduced a thermal model for the PV cell, where the self heating is modeled. The thermal behavior is modeled by a thermal resistor and a thermal capacitor, a voltage source related to the ambient temperature and a current source that represents the total dissipated power within the PV. They claim that “for the maximum allowable value of the panel forward current (equal to 8 A), a self heating phenomenon causes an increase in the panel temperature value equal only by 12 °C.” In our experiments, we acquired a rather extended influence, ranging from 20 to 30 °C.
Opposite to [55,56], the power dissipated by the PV cell is taken into account from the dissipative elements, which are resistive in our model. The energy flows from the two current sources to the resistors and the external circuit. Two or three current sources (or even diodes) are used in order to model different phenomena that take place inside the PV cell, the photoelectric effect and the behavior of p-n junction [8].
4.2.7. Open Circuit Voltage—
Ishaque and Salam [27] propose for the the following variation (34), which proves good correlation with the datasheet info and experimental data—see also Figure 7:
Figure 7.
vs. Irradiance for different temperatures. Solid and dashed lines are given by (33), while symbols correspond to experimental data.
Even (34) is not necessary for the model, it is another starting point for computing .
4.3. The New Proposed PV Cell Model
The proposed model is presented in Figure 8. The upper section consists of standard elements, while the thermal modeling is ensured by the lower section. Here the current source labeled simulates the power dissipated in the cell, the voltage labeled is the cell temperature and the air temperature is modeled by the voltage source . The thermal resistance models the thermal flow through the system structure, in our case the PV cell. The thermal capacitance models the thermal inertia of the PV cell. Both and emulate all thermal transmission phenomena (conduction, convection and radiation) and depend of the materials, the finishing of the surfaces and on the mechanical dimensions of the system.
Figure 8.
The new proposed electrical and thermal model of the PV cell.
The practical LTSpice model implementation is depicted in Figure 9 and can be found at http://tess.upt.ro. The upper circuit addresses the standard conditions (for reference and validation), while the middle section deals with the thermal model of the PV solar cell. The power associated with the circuit also includes the power due to the irradiance scaled with the cell area and the electrical power dissipated in and .
Figure 9.
LTSpice PV Cell proposed model.
The thermal parameters and were extracted from experimental data, similar to [54]. After a set of data was acquired, the temperature against time curve variation was fit and the time constant and the steady state value were determined. Unlike Górecki and Krac [55,56], we considered no dissipated power occurs in the BD2 current source of the model in Figure 9, as it makes no physical sense.
5. Experimental Results
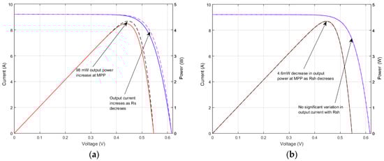
Figure 10 exhibits the simulated and the measured internal temperature of the PV cell and the dissipated power variation. It is worth mentioning that the corresponding NOCT for the temperature in Figure 9 is 47.2 °C.
Figure 10.
PV Cell dissipated power and temperature variation against voltage at STC.
Table 4 summarizes the main results for both the proposed model and the experiments performed for the PV cell. It can be observed that perfect agreement between the simulated and measured results is achieved.
Table 4.
Comparison of the results at STC (25 Celsius, 1000 W/m2).
The final validation of the model is presented in Figure 11 and Figure 12. Here the I-V and P-V characteristics of the PV cell are plotted at the reference temperature and at the operating temperature. Experimental data is represented with markers while the lines correspond to simulated results with the model proposed. A good correlation between the model and the experiments can be noticed.
Figure 11.
I-V and P-V curves—simulation and experiments. (a) I-V curves at 25 °C (upper lines) and with all parameters variation included (lower lines)—internal temperature is 54 °C. (b) P-V curves at 25 °C (upper lines) and with all parameters variation included (lower lines)—internal temperature is 54 °C.
Figure 12.
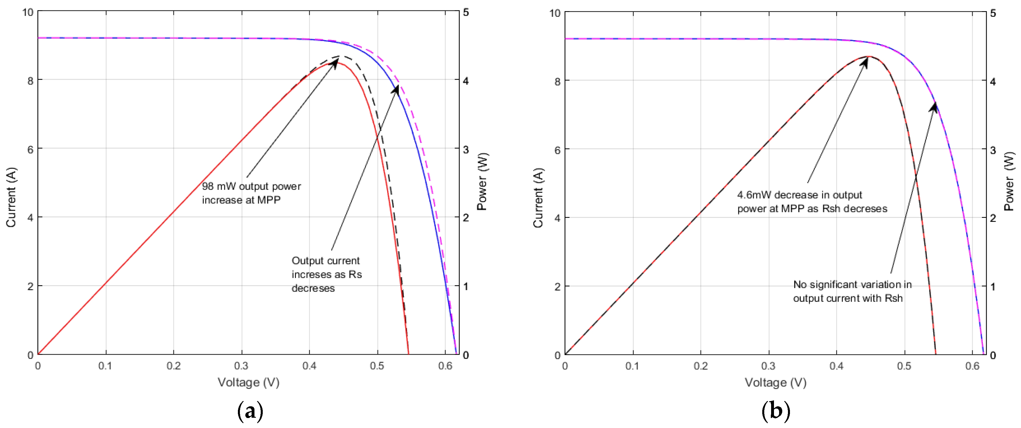
and influence and the performance. (a) increase with temperature (25 °C to 54 °C) determines an increase in the output current and power (b) has no significant influence on the performance.
Figure 12a displays the serial resistance influence on the output current and power. The solid lines graphs correspond to a fixed while the dashed lines correspond to variable with all the parameters included. At MPP a 98 mW power increase was observed. As estimated before, has a minor influence on the PV output—only 4.6 mW power decrease at MPP could be noticed, as displayed in Figure 12b. It is worth mentioning that in all cases the model self-computes the appropriate values for and based on the predicted internal temperature.
PV arrays compared (Table 5) were monocrystalline (Shell SP-70, MSMD290AS-36.EU and multycrystaline (Kyocera KG200GT, MSP300AS-36.EU, MSP290AS-36.EU, Sharp ND-224uC1).
Table 5.
Datasheet available information for several commercial PV arrays.
All the data from Table 5 was processed with the above proposed algorithm and the results are listed in Table 6, along with similar results from other researchers.
Table 6.
Comparison between previous solutions and our proposed model.
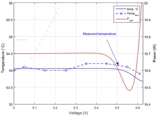
The final validation of the model was by applying the introduced model and computation method for the MSMD290AS-36.EU monocrystalline PV cell array and compare the results to the ones provided by Cubas et al. [31], as shown in Figure 13. As it can be seen, a good correlation exists between the two approaches.

Figure 13.
Final model validation by comparison for the MSMD290AS-36.EU monocrystalline PV cells. (a) I-V curves at 25 °C; (b) P-V curves at 25 °C (c) I-V curves at 54 °C (d) P-V curves at 54 °C.
6. Conclusions
A new thermo-electrical model for the PV cell was introduced. Only free available tools were used during modeling. The literature analysis proved discrepancies between authors when studying parameters variation and a more precise model is proposed in this paper.
The model proved to be accurate, while considering parameter variation and selfheating phenomenon. To the best of our knowledge this is the first time when all these parameters are included in a PV model. The internal silicon operating temperature at 1 Sun (with the ambient temperature being 20 °C) is 54 °C predicted by our model and validated by measurements performed with the FLIR and the PT1000 sensors.
As other authors have mentioned, influence is relatively reduced in the model. However proved to be a major factor. displayed a small variance with temperature. Resistance influence is important but sometimes shadowed by the wiring. The proposed model was accurately confirmed and validated by the experiments.
Acknowledgments
This work was supported in part by both the Romanian National Authority for Scientific Research and Innovation, CNCS/CCCDI-UEFISCDI within PNCDI III, project number PN-III-P2-2.1-PED-2016-0074 and by Politehnica University Timisoara, according to the Administration Board research policy.
Author Contributions
All of the authors have contributed to this research. Aurel Gontean conceived and designed the study. Aurel Gontean and Septimiu Lica carried out the simulation. Szilard Bularka performed the experiments. Dan Lascu analyzed the data. Aurel Gontean wrote the paper. Dan Lascu reviewed the manuscript. All authors read and approved the manuscript.
Conflicts of Interest
The authors declare no conflict of interest.
Nomenclature
| Main Symbols | |
| Diode ideality factor | |
| Diode ideality factor at 25 °C | |
| Thermal capacitance of the cell, a lumped parameter | |
| Bandgap energy | |
| Fill factor | |
| Actual irradiance on cell surface | |
| Reference irradiance, 1000 W/m2 | |
| Solar cell current | |
| Saturation current of the modeled diode, due to diffusion | |
| Saturation current of the modeled diode, due to diffusion, at 25 °C | |
| Current at maximum power point | |
| Photo generated current | |
| Photo generated reference current at 25 °C | |
| Short circuit current of the solar cell | |
| Short circuit current of the solar cell at 25 °C | |
| Boltzmann constant | |
| Current temperature coefficient, A/K | |
| Voltage temperature coefficient, V/K | |
| Power temperature coefficient, W/K | |
| temperature exponent | |
| , | temperature exponent in Matlab |
| Number of series cells | |
| Number of parallel cells | |
| Maximum power | |
| Electron charge | |
| Cell series resistance | |
| Cell series resistance at 25 °C | |
| Cell series resistance based on slope close to | |
| Cell parallel (shunt) resistance | |
| Cell parallel (shunt) resistance, at 25 °C | |
| Cell parallel (shunt) resistance based on slope close to | |
| Thermal resistance of the cell, a lumped parameter | |
| Solar cell temperature, K | |
| Reference temperature 298 K | |
| Temperature difference | |
| Ambient/air temperature, °C | |
| Internal PV cell temperature, °C | |
| Solar cell voltage | |
| Solar array open circuit voltage | |
| Solar array open circuit reference voltage at 25 °C | |
| Solar cell open circuit voltage | |
| Solar cell open circuit reference voltage at 25 °C | |
| Voltage at maximum power point | |
| Bandgap voltage | |
| Diode thermal voltage |
| Abbreviations | |
| AM | Air Mass |
| KCL | Kirchhoff’s current law |
| MPP | Maximum power point |
| MPPT | Maximum Power Point Tracking |
| NOCT | Normal Operating Cell Temperature |
| PV | Photovoltaic |
| STC | Standard Test Conditions (cell temp. 25 °C; irradiance 1000 W/m2; air mass 1.5) |
| Greek Symbols | |
| Series resistance temperature coefficient (linear law) |
References
- Rauschenbach, H.S. Solar Cell Array Design Handbook. In The Principles and Technology of Photovoltaic Energy Conversion; Springer: New York, NY, USA, 1980; pp. 167–183. ISBN 978-9401179171. [Google Scholar]
- Patel, M.R. Wind and Solar Power Systems; CRC Press: Boca Raton, FL, USA, 1999; pp. 32–48, 137–157. ISBN 0-8493-1605-7. [Google Scholar]
- Emery, K. Measurement and Characterization of Solar Cells and Modules. In Handbook of Photovoltaic Science and Engineering, 2nd ed.; Luque, A., Hegedus, S., Eds.; John Wiley & Sons: Hoboken, NJ, USA, 2011. [Google Scholar]
- Aparicio, M.P.; Pelegrí-Sebastiá, J.; Sogorb, T.; Llario, V. Modeling of Photovoltaic Cell Using Free Software Application for Training and Design Circuit in Photovoltaic Solar Energy. In New Developments in Renewable Energy; Arman, H., Yuksel, I., Eds.; InTech: Vienna, Austria, 2013; pp. 121–139. ISBN 978-953-51-1040-8. [Google Scholar]
- Sumathi, S.; Kumar, L.A.; Surekha, P. Solar PV and Wind Energy Conversion Systems. An Introduction to Theory, Modeling with MATLAB/SIMULINK, and the Role of Soft Computing Techniques; Springer: Cham, Switzerland, 2015; pp. 59–144. ISBN 978-3-319-14940-0. [Google Scholar]
- Khatib, T.; Elmenreich, W. Modeling of Photovoltaic Systems Using MATLAB: Simplified Green Codes; John Wiley & Sons: Hoboken, NJ, USA, 2016; pp. 39–88. ISBN 978-1119118107. [Google Scholar]
- Honsberg, C.; Bowden, S. Photovoltaic Education Network. Available online: http://pveducation.org/pvcdrom/instructions (accessed on 21 October 2017).
- Van Zeghbroeck, B. Principles of Semiconductor Devices, 2011. Available online: https://ecee.colorado.edu/~bart/book/ (accessed on 21 October 2017).
- LTSpice. Available online: http://www.linear.com/designtools/software/ (accessed on 21 October 2017).
- Visual Studio Community. Available online: https://www.visualstudio.com/free-developer-offers/ (accessed on 21 October 2017).
- S-Math Studio. Available online: https://en.smath.info/view/SMathStudio/summary/ (accessed on 21 October 2017).
- Green, M.A. Solar cell fill factors: General graph and empirical expressions. Solid State Electron. 1981, 24, 788–789. [Google Scholar] [CrossRef]
- Phang, J.C.H.; Chan, D.S.H.; Phillips, J.R. Accurate Analytical Method for the Extraction of Solar Cell Model Parameters. Electron. Lett. 1984, 20, 406–408. [Google Scholar] [CrossRef]
- Liu, G.; Dunford, W.G. Photovoltaic Array Simulation. In Proceedings of the ESA Sessions at 16th Annual IEEE PESC, Universite Paul Sabatier, Toulouse, France, 24–28 June 1985; pp. 145–153. [Google Scholar]
- Gow, J.A.; Manning, C.D. Development of a photovoltaic array model for use in power-electronics simulation studies. IEE Proc.-Electr. Power Appl. 1999, 146, 193–200. [Google Scholar] [CrossRef]
- Walker, G. Evaluating MPPT converter topologies using a MATLAB PV model. J. Electr. Electron. Eng. 2001, 21, 49–55. [Google Scholar]
- De Blas, M.A.; Torres, J.L.; Prieto, E.; Garcia, A. Selecting a suitable model for characterizing photovoltaic devices. Renew. Energy 2002, 25, 371–380. [Google Scholar] [CrossRef]
- Xiao, W.; Dunford, W.G.; Capel, A. A Novel Modeling Method for Photovoltaic Cells. In Proceedings of the 35th Annual IEEE Power Electronics Specialists Conference, Aachen, Germany, 20–25 June 2004; pp. 1950–1956. [Google Scholar]
- King, D.L.; Boyson, W.E.; Kratochvill, J.A. Photovoltaic Array Performance Model, Sandia National Laboratories. December 2004. Available online: http://prod.sandia.gov/techlib/access-control.cgi/2004/043535.pdf (accessed on 21 October 2017).
- De Soto, W.; Klein, S.A.; Beckman, W.A. Improvement and validation of a model for photovoltaic array performance. Sol. Energy 2006, 80, 78–88. [Google Scholar] [CrossRef]
- Schlosser, V.; Ghitas, A. Measurement of Silicon Solar Cells AC Parameters. In Proceedings of the Arab Regional Solar Energy Conference (ARSEC 2006), University of Bahrain, Zallaq Kingdom of Bahrain, 5–7 November 2006; pp. 1–15. [Google Scholar]
- Villalva, M.G.; Gazoli, J.R.; Filho, E.R. Comprehensive Approach to Modeling and Simulation of Photovoltaic Arrays. IEEE Trans. Power Electr. 2009, 24, 1198–1208. [Google Scholar] [CrossRef]
- Kim, S.K.; Jeon, J.H.; Cho, C.H.; Kim, E.S.; Ahn, J.B. Modeling and simulation of a grid-connected PV generation system for electromagnetic transient analysis. Sol. Energy 2009, 83, 664–678. [Google Scholar] [CrossRef]
- Di Piazza, M.C.; Vitale, G. Photovoltaic field emulation including dynamic and partial shadow conditions. Appl. Energy 2010, 87, 814–823. [Google Scholar] [CrossRef]
- Jung, J.H.; Ahmed, S. Model Construction of Single Crystalline Photovoltaic Panels for Real-time Simulation. In Proceedings of the IEEE Energy Conversion Congress and Exposition, Atlanta, GA, USA, 12–16 September 2010. [Google Scholar]
- Kim, W.; Choi, W. A novel parameter extraction method for the one-diode solar cell model. Sol. Energy 2010, 84, 1008–1019. [Google Scholar] [CrossRef]
- Ishaque, K.; Salam, Z. An improved modeling method to determine the model parameters of photovoltaic (PV) modules using differential evolution (DE). Sol. Energy 2011, 85, 2349–2359. [Google Scholar] [CrossRef]
- Saloux, E.; Teyssedoua, A.; Mikhail, S. Explicit model of photovoltaic panels to determine voltages and currents at the maximum power point. Sol. Energy 2011, 85, 713–722. [Google Scholar] [CrossRef]
- Cuce, P.M.; Cuce, E. A Novel model of photovoltaic modules for parameter estimation and thermodynamic assessment. Int. J. Low Carbon Technol. 2011, 7, 159–165. [Google Scholar] [CrossRef]
- Tian, H.; Mancilla-David, F.; Ellis, K.; Muljadi, E.; Jenkins, P. A cell-to-module-to-array detailed model for photovoltaic panels. Sol. Energy 2012, 86, 2695–2706. [Google Scholar] [CrossRef]
- Cubas, J.; Pindado, S.; de Manuel, C. Explicit Expressions for Solar Panel Equivalent Circuit Parameters Based on Analytical Formulation and the Lambert W-Function. Energies 2014, 7, 4098–4115. [Google Scholar] [CrossRef]
- Aller, J.; Viola, J.; Quizhpi, F.; Restrepo, J.; Ginart, A.; Salazar, A. Implicit PV cell parameters estimation used in approximated closed-form model for inverter power control. In Proceedings of the 2017 IEEE Workshop on Power Electronics and Power Quality Applications (PEPQA), Bogotá, Colombia, 31 May–2 June 2017; pp. 1–6. [Google Scholar]
- Chan, D.; Phang, J. Analytical Methods for the Extraction of Solar-Cell Single- and Double-Diode Model Parameters from I-V Characteristics. IEEE Trans. Electron Devices 1987, 34, 286–293. [Google Scholar] [CrossRef]
- Sandrolini, L.; Artioli, M.; Reggiani, U. Numerical method for the extraction of photovoltaic module double-diode model parameters through cluster analysis. Appl. Energy 2010, 87, 442–451. [Google Scholar] [CrossRef]
- Ishaque, K.; Salam, Z. A comprehensive MATLAB Simulink PV system simulator with partial shading capability based on two-diode model. Sol. Energy 2011, 85, 2217–2227. [Google Scholar] [CrossRef]
- Soon, J.J.; Low, K.S.; Goh, S.T. Multi-dimension diode photovoltaic (PV) model for different PV cell technologies. In Proceedings of the IEEE 23rd International Symposium on Industrial Electronics (ISIE), Istanbul, Turkey, 1–4 June 2014; pp. 1–6. [Google Scholar]
- Pandey, P.K.; Sandhu, K.S. Multi Diode Modelling of PV Cell. In Proceedings of the IEEE 6th India International Conference on Power Electronics (IICPE), Kurukshetra, India, 8–10 December 2014; pp. 1–4. [Google Scholar]
- Erdem, Z.; Erdem, M.B. A Proposed Model of Photovoltaic Module in Matlab/SimulinkTM for Distance Education. Procedia Soc. Behav. Sci. 2013, 103, 55–62. [Google Scholar] [CrossRef]
- 156 mm Monocrystalline Mono Solar Cell 6 x 6. Available online: https://www.aliexpress.com/item/50pcs-lot-4-6W-156mm-mono-solar-cells-6x6-150feet-Tabbing-Wire-15feet-Busbar-Wire-1pc/1932804007.html (accessed on 21 September 2017).
- Radziemska, E.; Klugmann, E. Thermally affected parameters of the current–voltage characteristics of silicon photocell. Energy Convers. Manag. 2002, 43, 1889–1900. [Google Scholar] [CrossRef]
- Tsuno, Y.; Hishikawa, Y.; Kurokawa, K. Temperature and Irradiance Dependence of the I–V Curves of Various Kinds of Solar Cells. In Proceedings of the 15th International Photovoltaic Science & Engineering Conference PVSEC-15, Shanghai China, 10–15 October 2005; pp. 422–423. [Google Scholar]
- Singh, P.; Singh, S.N.; Lal, M.; Husain, M. Temperature dependence of I–V characteristics and performance parameters of silicon solar cell. Sol. Energy Mater. Sol. Cells 2008, 92, 1611–1616. [Google Scholar] [CrossRef]
- Cuce, E.; Bali, T. Variation of cell parameters of a p-Si PV cell with different solar irradiances and cell temperatures in humid climates. In Proceedings of the 4th International Energy and Environment Symposium, Sharjah, United Arab Emirates, 19–23 April 2009. [Google Scholar]
- Ghani, F.; Duke, M. Numerical determination of parasitic resistances of a solar cell using the Lambert W-function. Sol. Energy 2011, 85, 2386–2394. [Google Scholar] [CrossRef]
- Romary, F.; Caldeira, A.; Jacques, S.; Schellmanns, A. Themal Modelling to Analyze the Effect of Cell temperature on PV Modules Energy Efficiency. In Proceedings of the 14th European Conference on Power Electronics and Applications (EPE 2011), Birmingham, UK, 30 August–1 September 2011. [Google Scholar]
- Wen, C.; Fu, C.; Tang, J.; Liu, D.; Hu, S.; Xing, Z. The influence of environment temperatures on single crystalline and polycrystalline silicon solar cell performance. Sci. China Phys. Mech. Astron. 2012, 55, 235–241. [Google Scholar] [CrossRef]
- Cuce, E.; Cuce, P.M.; Bali, T. An experimental analysis of illumination intensity and temperature dependency of photovoltaic cell parameters. Appl. Energy 2013, 111, 374–382. [Google Scholar] [CrossRef]
- Bellia, A.H.; Ramdani, Y.; Moulay, F.; Medles, K. Irradiance and Temperature Impact on Photovoltaic Power By Design of Experiments. Rev. Roum. Sci. Tech.-Ser. Electrotech. 2013, 58, 284–294. [Google Scholar]
- Araneo, R.; Grasselli, U.; Celozzi, S. Assessment of a practical model to estimate the cell temperature of a photovoltaic module. Int. J. Energy Environ. Eng. 2014, 5, 1–16. [Google Scholar] [CrossRef]
- Chander, S.; Purohit, A.; Sharma, A.; Nehra, S.P.; Dhaka, M.S. A study on photovoltaic parameters of mono-crystalline silicon solar cell with cell temperature. Energy Rep. 2015, 1, 104–109. [Google Scholar] [CrossRef]
- Aller, J.; Viola, J.; Quizhpi, F. Explicit Model of PV Cells considering Variations in Temperature and Solar Irradiance. In Proceedings of the 2016 ANDESCON, Arequipa, Peru, 19–21 October 2016; pp. 1–4. [Google Scholar]
- Solar Cell Model. Available online: https://www.mathworks.com/help/physmod/elec/ref/solarcell.html (accessed on 10 August 2017).
- Personal Webpage Prof. Dr. Marcelo Gradella Villalva. Available online: https://sites.google.com/site/mvillalva/pvmodel (accessed on 21 September 2017).
- Górecki, K.; Krac, E. Measurements of thermal parameters of solar modules. J. Phys. Conf. Ser. 2016, 709, 1–6. [Google Scholar] [CrossRef]
- Górecki, K.; Górecki, P.; Paduch, K. Modelling Solar Cells with Thermal Phenomena Taken into Account. J. Phys. Conf. Ser. 2014, 494, 1–8. [Google Scholar] [CrossRef]
- Krac, E.; Górecki, K. Modelling characteristics of photovoltaic panels with thermal phenomena taken into account. IOP Conf. Ser. Mater. Sci. Eng. 2016, 104, 012013. [Google Scholar] [CrossRef]
© 2017 by the authors. Licensee MDPI, Basel, Switzerland. This article is an open access article distributed under the terms and conditions of the Creative Commons Attribution (CC BY) license (http://creativecommons.org/licenses/by/4.0/).













