Energy-Saving Performance of Flap-Adjustment-Based Centrifugal Fan
Abstract
:1. Introduction
2. Experiment
3. Finite Element Methods
3.1. Modelling
3.2. Computation Mesh
3.3. Boundary Conditions and FE Calculation
4. Results
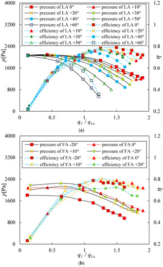
4.1. Experimental Results
4.2. FE Results
5. Analysis and Discussion
5.1. Theoretical Analysis
5.2. Comparative Economic Analysis
5.3. Energy-Saving Rates
6. Conclusions and Outlook
Author Contributions
Conflicts of Interest
Nomenclature
| The flap angle [°] | |
| Blade outlet setting angle [°] | |
| Blade outlet original setting angle [°] | |
| Theoretical total pressure [Pa] | |
| Density [kg/m3] | |
| Impeller blade outlet circumferential speed [m/s] | |
| The theoretical flow rate [m3/s] | |
| The diameter of the blade outlet [m] | |
| The width of the blade outlet [m] | |
| Pressure coefficient, | |
| Flow coefficient, | |
| The ratio of the impeller width and diameter | |
| The actual total pressure [Pa] | |
| The actual efficiency | |
| The actual flow rate [m3/s] | |
| The flow rate on designed condition [m3/s] | |
| Energy-saving rate | |
| The power of fan with leading adjustment [kW] | |
| The power of fan with flap adjustment [kW] | |
| Condition number, i = 1, 2, 3, 4, 5 | |
| Saved energy amount [kWh] |
References
- Zhang, L.; Wang, S.L.; Hu, C.X.; Zhang, Q. Multi-objective optimization design and experimental investigation of centrifugal fan performance. Chin. J. Mech. Eng. 2013, 26, 1267–1276. [Google Scholar] [CrossRef]
- Setoguchi, T.; Santhakumar, S.; Takao, M.; Kim, T.H.; Kaneko, K. Effect of guide vane shape on the performance of a Wells turbine. Renew. Energy 2001, 23, 1–15. [Google Scholar] [CrossRef]
- Bhope, D.V.; Padole, P.M. Experimental and theoretical analysis of stresses, noise and flow in centrifugal fan impeller. Mech. Mach. Theory 2004, 39, 1257–1271. [Google Scholar] [CrossRef]
- Setoguchi, T.; Santhakumar, S.; Takao, M.; Kim, T.H.; Kaneko, K. Amodified wells turbine for wave energy conversion. Renew. Energy 2003, 28, 79–91. [Google Scholar] [CrossRef]
- Fernando, J.T.E.F.; Fong, J.A.C.; De Almeida, A.T. Ecoanalysis of variable-speed drives for flow regulation in pumping systems. IEEE Trans. Ind. Electron. 2011, 58, 2117–2125. [Google Scholar]
- Yi, C.S.; Yun, J.H.; Jeong, I.G.; Suh, J.S.; Song, C.K. Predicting the oil cooler fan performance of large-sized diesel engines by changing the outlet and torsion angles. J. Mech. Sci. Technol. 2013, 27, 469–475. [Google Scholar] [CrossRef]
- Munisamy, K.M.; Govindasamy, R.; Thangaraju, S.K. Experimental investigation on design enhancement of axial fan using fixed guide vane. Mater. Sci. Eng. 2015, 88, 012026. [Google Scholar] [CrossRef]
- Khajanawaz, S.; Rao, K.N.; Sitaramaraju, A.V. Experimental investigation on energy saving in centrifugal fans using different inlet guide vanes. Int. J. Innov. Res. Sci. Eng. Technol. 2013, 2, 2319–8753. [Google Scholar]
- Fukutomi, J.; Nakase, Y.; Ichimiya, M.; Shinohara, Z. A study of performance improvement of cross-flow fan by inlet guide vanes. Trans. Jpn. Soc. Mech. Eng. 1998, 64, 442–446. [Google Scholar] [CrossRef]
- Szu, H.L.; Rong, F.H.; Chuang, A.L. Computational and experimental investigations of performance curve of an axial fan using downstream flow resistance method. Exp. Therm. Fluid Sci. 2010, 33, 827–837. [Google Scholar]
- Li, J.C.; Lin, F.; Nie, C.Q.; Chen, J.Y. Automatic efficiency optimization of an axial compressor with adjustable inlet guide vanes. J. Therm. Sci. 2012, 21, 120–126. [Google Scholar] [CrossRef]
- Fukutomi, J.; Nakamura, R. Performance and internal flow of cross-flow fan with inlet guide vane. JSME Int. J. Ser. B Fluids Therm. Eng. 2005, 48, 763–769. [Google Scholar] [CrossRef]
- Tan, L.; Zhu, B.S.; Cao, S.L.; Wang, Y.C.; Wang, B.B. Influence of prewhirl regulation by inlet guide vanes on cavitation performance of a centrifugal pump. Energies 2014, 7, 1050–1065. [Google Scholar] [CrossRef]
- Xu, W.; Chen, G.L.; Zhao, J.Y. Study on characteristics of centrifugal fan controlled by leading device. Min. Mach. 2015, 127, 28–31. (In Chinese) [Google Scholar]
- Launder, B.E.; Spalding, D.B. The numerical computation of turbulent flows. Comput. Methods Appl. Mech. Eng. 1973, 3, 269–289. [Google Scholar] [CrossRef]
- Rai, M.M. Navier–Stokes simulation of rotor/stator interaction using patched and overlaid grids. J. Propuls. Power 1987, 3, 387–396. [Google Scholar] [CrossRef]
- Yan, X.K.; Wang, L.J.; Zhang, J.S.; Wang, X.Y. Numerical and experimental investigation on effect of installation angle of rotor blade on axial flow fan. In Proceedings of the 2nd International Conference on Mechanical and Electrical Technology (ICMET), Singapore, 10–12 September 2010; pp. 359–363. [Google Scholar]
- Arndt, N.; Acosta, A.J.; Brennen, C.E.; Caughey, T.K. Experimental investigation of rotor-stator interaction in a centrifugal pump with several vaned diffusers. J. Turbomach. 1990, 112, 98–108. [Google Scholar] [CrossRef]
- Oro, J.M.F.; Diaz, K.M.A.; Morros, C.S. Unsteady flow and wake transport in a low-speed axial fan with inlet guide vanes. J. Fluids Eng. 2013, 129, 1015–1029. [Google Scholar]
- Kim, J.H.; Choi, J.H.; Husain, A.; Kim, K.Y. Performance enhancement of axial fan blade through multi-objective optimization techniques. J. Mech. Sci. Technol. 2010, 24, 2059–2066. [Google Scholar] [CrossRef]
- Babayigit, O.; Kocaaslan, O.; Aksoy, M.H.; Guleren, K.M.; Ozgoren, M. Numerical identification of blade exit angle effect on the performance for a multistage centrifugal pump impeller. EPJ Web Conf. 2015, 92, 02003. [Google Scholar] [CrossRef]
- Wang, S.L.; Zhang, L.; Wu, Z.R. Optimization research of centrifugal fan with different blade number and outlet blade angle. In Proceedings of the Power and Energy Engineering Conference (APPEEC 2009), Wuhan, China, 27–31 March 2009; pp. 2985–2988. [Google Scholar]
- Liu, Y.B.; Tan, L.; Liu, M.; Hao, Y.; Xu, Y. Influence of prewhirl angle and axial distance on energy performance and pressure fluctuation for a centrifugal pump with inlet guide vanes. Energies 2017, 10, 695. [Google Scholar]
- Zhu, X.C.; Lin, W.L.; Du, Z.H. Experimental and numerical investigation on the flow field in the tip region of an axial ventilation fan. J. Fluids Eng. 2005, 127, 299–307. [Google Scholar] [CrossRef]
- Meyer, C.J.; Kröger, D.G. Numerical simulation of the flow field in the vicinity of an axial flow fan. Int. J. Numer. Methods Fluids 2001, 36, 947–969. [Google Scholar] [CrossRef]
- Yao, Q.; Xu, D.; Pan, L.S.; Teo, A.L.; Melissa, H.W.M.; Lee, V.S.P.; Shabbir, M. CFD simulation of flows in valveless micropumps. Eng. Appl. Comput. Fluid Mech. 2007, 1, 181–188. [Google Scholar] [CrossRef]
- Younsia, M.; Djerradab, A.; Belamric, T.; Menterd, F. Application of the SAS turbulence model to predict the unsteady flow field behaviour in a forward centrifugal fan. Int. J. Comput. Fluid Dyn. 2008, 22, 639–648. [Google Scholar] [CrossRef]
- Sun, Y. The Fans. In The Sampling Book of Fans; China Machine Press: Beijing, China, 2003; pp. 377–388. ISBN 7-111-10573-7. (In Chinese) [Google Scholar]











| Model | Flow Rate (m3/h) | Total Pressure (Pa) | Design Rotating Speed (r/min) | Operating Temperature (°C) | Shaft Power (Kw) |
|---|---|---|---|---|---|
| 4-72-11 No.4 | 4065~7427 | 1080~2150 | 2920 | <80 | 5.5 |
| Model | Flow Rate (m3/h) | Total Pressure (Pa) | Design Rotating Speed (r/min) | Operating Temperature (°C) | Shaft Power (Kw) |
|---|---|---|---|---|---|
| 4-73-11 No.8 | 16,156~30,993 | 1400~2104 | 1450 | <80 | 18.5 |
| i | 1 | 2 | 3 | 4 | 5 |
|---|---|---|---|---|---|
| 0.74 | 0.85 | 0.89 | 0.93 | 1 | |
| 20.4% | 13.6% | 7.5% | 3.6% | 1.2% * |
© 2018 by the authors. Licensee MDPI, Basel, Switzerland. This article is an open access article distributed under the terms and conditions of the Creative Commons Attribution (CC BY) license (http://creativecommons.org/licenses/by/4.0/).
Share and Cite
Chen, G.; Xu, W.; Zhao, J.; Zhang, H. Energy-Saving Performance of Flap-Adjustment-Based Centrifugal Fan. Energies 2018, 11, 162. https://doi.org/10.3390/en11010162
Chen G, Xu W, Zhao J, Zhang H. Energy-Saving Performance of Flap-Adjustment-Based Centrifugal Fan. Energies. 2018; 11(1):162. https://doi.org/10.3390/en11010162
Chicago/Turabian StyleChen, Genglin, Wei Xu, Jinyun Zhao, and Haipeng Zhang. 2018. "Energy-Saving Performance of Flap-Adjustment-Based Centrifugal Fan" Energies 11, no. 1: 162. https://doi.org/10.3390/en11010162
APA StyleChen, G., Xu, W., Zhao, J., & Zhang, H. (2018). Energy-Saving Performance of Flap-Adjustment-Based Centrifugal Fan. Energies, 11(1), 162. https://doi.org/10.3390/en11010162

