Internal Balance during Low-Voltage-Ride-Through of the Modular Multilevel Converter STATCOM
Abstract
:1. Introduction
2. Internal Control System
2.1. Leg Energy Balancing Controller
2.2. Decoupled Arm Energy Balancing Controller
2.3. Circulating Current Controller
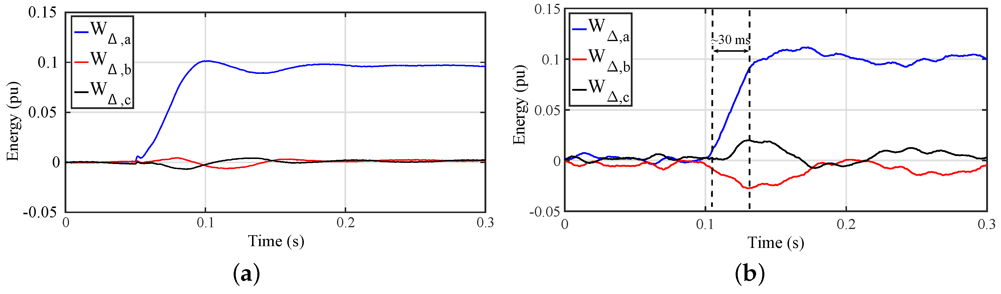
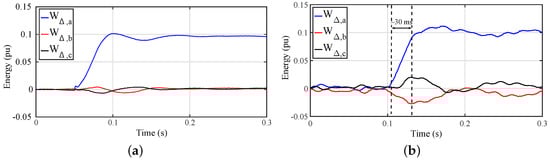
3. Experimental Validation of Internal Control
4. Low-Voltage Ride-Through of the MMC STATCOM
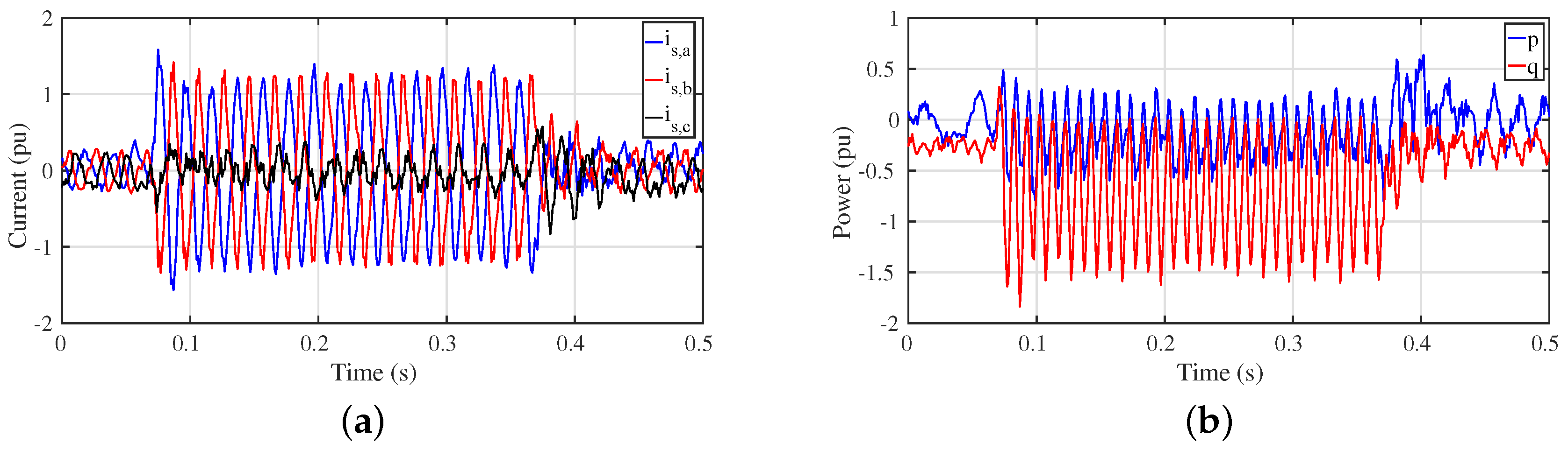
- Experimental Scenario 1: 95% voltage sag in Phase-a with PSI-LVRT.
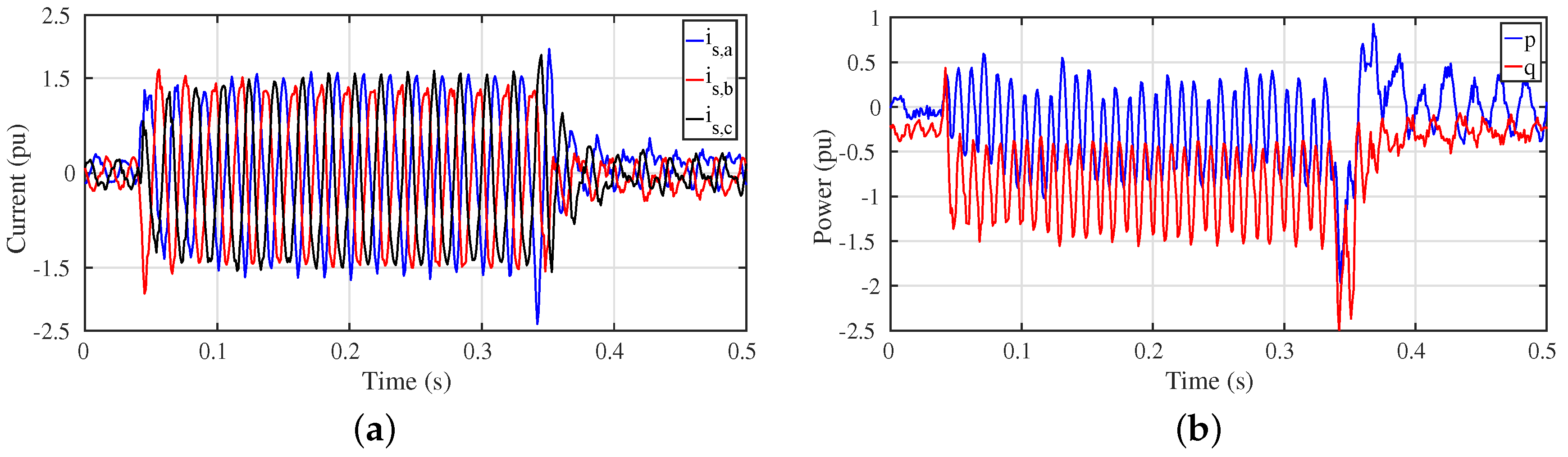
- Experimental Scenario 2: 95% voltage sag in Phase-a with MSI-LVRT.
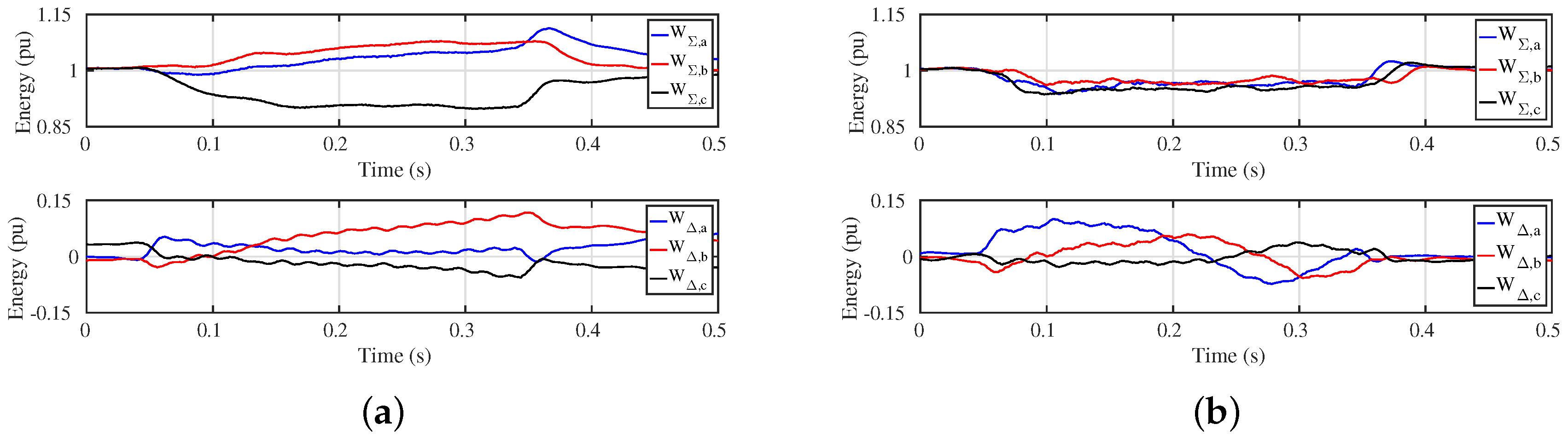
- Experimental Scenario 3: 95% voltage sag in Phase-a and 50% voltage sag in Phase-b with PSI-LVRT.
4.1. Experimental Scenario 1
4.2. Experimental Scenario 2
4.3. Experimental Scenario 3
5. Conclusions
Author Contributions
Conflicts of Interest
Nomenclature
| Phase angle of the circulating current vector in phase j | |
| Phase angle of the output current vector in phase j | |
| Submodule capacitance | |
| Phase errors of fed to the arm energy controller | |
| Circulating current in phase j | |
| DC component of the circulating current in phase j | |
| Reference of the first fundamental injected circulating current in phase j | |
| Peak value of the first fundamental injected circulating current in phase j | |
| d component of the positive sequence output current | |
| d component of the negative sequence output current | |
| Lower arm current of phase j | |
| q component of the positive sequence output current | |
| q component of the negative sequence output current | |
| Output current in phase j | |
| Upper arm current of phase j | |
| Slope of the droop controller for injection | |
| Slope of the droop controller for injection | |
| Integral gain of arm energy controller | |
| Proportional gain of arm energy controller | |
| Arm inductance | |
| N | Number of submodules per converter arm |
| n | Transformer turns ratio |
| Average active power term and the oscillating terms on the first and second fundamental frequency | |
| Average reactive power term and the oscillating terms on the first and second fundamental frequency | |
| S | Rated power of the converter |
| Maximum rise time according to the design requirements | |
| Rated RMS voltage of the converter | |
| Circulating voltage in phase j | |
| d component of the positive sequence voltage vector at the PCC | |
| d component of the negative sequence voltage vector at the PCC | |
| Pole-to-pole DC voltage | |
| AC grid phase voltage at the grid/source | |
| Lower arm voltage of phase j | |
| q component of the positive sequence voltage vector at the PCC | |
| q component of the negative sequence voltage vector at the PCC | |
| Output voltage in phase j | |
| Submodule capacitor voltage | |
| Upper arm voltage of phase j | |
| Energy difference between the arms in phase leg j | |
| Total energy in phase leg j | |
| Bandwidth of the circulating current controller | |
| Switching angular frequency | |
| Fundamental angular frequency |
References
- Hagiwara, M.; Maeda, R.; Akagi, H. Negative-sequence reactive-power control by the modular multilevel cascade converter based on double-star chopper-cells (MMCC-DSCC). In Proceedings of the 2010 IEEE Energy Conversion Congress and Exposition (ECCE), Atlanta, GA, USA, 12–16 September 2010. [Google Scholar]
- Lesnicar, A.; Marquardt, R. An innovative modular multilevel converter topology suitable for a wide power range. In Proceedings of the 2003 IEEE Bologna Power Tech Conference Proceedings, Bologna, Italy, 23–26 June 2003; Volume 3. [Google Scholar]
- Sanz, I.; Moranchel, M.; Bueno, E.J.; Rodriguez, F.J. Analysis of medium voltage modular multilevel converters for facts applications. In Proceedings of the 42nd Annual Conference of the IEEE Industrial Electronics Society (IECON 2016), Florence, Italy, 23–26 October 2016; pp. 6459–6464. [Google Scholar]
- Kamran, S.A.; Muñoz, J. Study of a state-of-the art m-statcom. In Proceedings of the 2015 IEEE International Conference on Industrial Technology (ICIT), Seville, Spain, 17–19 March 2015; pp. 2733–2738. [Google Scholar]
- Hagiwara, M.; Maeda, R.; Akagi, H. Negative-sequence reactive-power control by a pwm statcom based on a modular multilevel cascade converter (MMCC-SDBC). IEEE Ind. Appl. Soc. 2011, 48, 720–729. [Google Scholar] [CrossRef]
- Spahic, E.; Reddy, C.P.S.S.; Pieschel, M.; Alvarez, R. Multilevel statcom with power intensive energy storage for dynamic grid stability - frequency and voltage support. In Proceedings of the 2015 IEEE Electrical Power and Energy Conference (EPEC), London, ON, Canada, 26–28 October 2015; pp. 73–80. [Google Scholar]
- Antonopoulos, A.; Svensson, J.R. Evaluation of negative-sequence-current compensators for high-speed electric railways. In Proceedings of the 2016 IEEE Energy Conversion Congress and Exposition (ECCE), Milwaukee, WI, USA, 18–22 September 2016; pp. 1–8. [Google Scholar]
- Shang, J.; Dai, N.; Wang, B.; Chen, H. Railway power conditioner based on delta-connected modular multilevel converter. In Proceedings of the 2016 IEEE Energy Conversion Congress and Exposition (ECCE), Milwaukee, WI, USA, 18–22 September 2016; pp. 1–7. [Google Scholar]
- Behrouzian, E.; Bongiorno, M.; De La Parra, H.Z. Investigation of negative sequence injection capability in H-bridge multilevel statcom. In Proceedings of the 2014 16th European Conference on Power Electronics and Applications (EPE’14-ECCE Europe), Lappeenranta, Finland, 26–28 August 2014. [Google Scholar]
- Akagi, H. Classification, terminology, and application of the modular multilevel cascade converter (MMCC). IEEE Trans. Power Electron. 2011, 26, 3119–3130. [Google Scholar] [CrossRef]
- Li, B.; Shi, S.; Xu, D.; Wang, W. Control and analysis of the modular multilevel DC de-icer with statcom functionality. IEEE Trans. Ind. Electron. 2016, 63, 5465–5476. [Google Scholar] [CrossRef]
- Vechalapu, K.; Bhattacharya, S. Modular multilevel converter based medium voltage DC amplifier for ship board power system. In Proceedings of the 2015 IEEE 6th International Symposium on Power Electronics for Distributed Generation Systems (PEDG), Aachen, Germany, 22–25 June 2015; pp. 1–8. [Google Scholar]
- Pirouz, H.M.; Bina, T.M. A transformerless medium-voltage statcom topology based on extended modular multilevel converters. IEEE Trans. Power Electron. 2011, 26, 1534–1545. [Google Scholar]
- António-Ferreira, A.; Gomis-Bellmunt, O.; Teixidó, M. Hvdc-based modular multilevel converter in the statcom operation mode. In Proceedings of the 2016 18th European Conference on Power Electronics and Applications (EPE’16 ECCE Europe), Karlsruhe, Germany, 5–9 September 2016; pp. 1–10. [Google Scholar]
- Tsolaridis, G.; Pereira, H.A.; Cupertino, A.F.; Teodorescu, R.; Bongiorno, M. Losses and cost comparison of DS-HB and SD-FB MMC based large utility grade STATCOM. In Proceedings of the 2016 IEEE 16th International Conference on Environment and Electrical Engineering (EEEIC), Florence, Italy, 7–10 June 2016. [Google Scholar]
- Wijnhoven, T.; Deconinck, G.; Neumann, T.; Erlich, I. Control aspects of the dynamic negative sequence current injection of type 4 wind turbines. In Proceedings of the 2014 IEEE PES General Meeting Conference & Exposition, National Harbor, MD, USA, 27–31 July 2014. [Google Scholar]
- Hu, P.; Jiang, D.; Zhou, Y.; Liang, Y.; Guo, J.; Lin, Z. Energy-balancing control strategy for modular multilevel converters under submodule fault conditions. IEEE Trans. Power Electron. 2014, 29, 5021–5030. [Google Scholar] [CrossRef]
- Perez, M.A.; Rodriguez, J.; Bernet, S. Decoupled capacitor voltage control of modular multilevel. In Proceedings of the 2014 IEEE Energy Conversion Congress and Exposition (ECCE), Pittsburgh, PA, USA, 14–18 September 2014. [Google Scholar]
- Antonopoulos, A.; Angquist, L.; Nee, H.P. On dynamics and voltage control of the modular multilevel converter. In Proceedings of the 13th European Conference on Power Electronics and Applications, Barcelona, Spain, 8–10 September 2009. [Google Scholar]
- Zhang, L.; Tang, Y.; Yang, S.; Gao, F. A modular multilevel converter-based grid-tied battery-supercapacitor hybrid energy storage system with decoupled power control. In Proceedings of the 2016 IEEE 8th International Power Electronics and Motion Control Conference (IPEMC-ECCE Asia), Hefei, China, 22–26 May 2016. [Google Scholar]
- Soong, T.; Lehn, P.W. Internal Power Flow of a Modular Multilevel Converter with Distributed Energy Resources. IEEE J. Emerg. Sel. Top. Power Electron. 2014, 2, 1127–1138. [Google Scholar] [CrossRef]
- Ilves, K.; Antonopoulos, A.; Norrga, S.; Nee, H.P. Steady-state analysis of interaction between harmonic components of arm and line quantities of modular multilevel converters. IEEE Trans. Power Electron. 2012, 27, 57–68. [Google Scholar] [CrossRef]
- Wenig, S.; Rojas, F.; Schönleber, K.; Suriyah, M.; Leibfried, T. Simulation framework for DC grid control and acdc interaction studies based on modular multilevel converters. IEEE Trans. Power Deliv. 2016, 31, 780–788. [Google Scholar] [CrossRef]
- Saad, H.; Guillaud, X.; Mahseredjian, J.; Dennetière, S.; Nguefeu, S. Mmc capacitor voltage decoupling and balancing controls. IEEE Trans. Power Deliv. 2015, 30, 704–712. [Google Scholar] [CrossRef]
- Bergna, G.; Berne, E.; Egrot, P.; Lefranc, P.; Arzande, A.; Vannier, J.C.; Molinas, M. An energy-based controller for hvdc modular multilevel converter in decoupled double synchronous reference frame for voltage oscillation reduction. IEEE Trans. Ind. Electron. 2013, 60, 2360–2371. [Google Scholar] [CrossRef]
- Cui, S.; Lee, H.J.; Jung, J.J.; Lee, Y.; Sul, S.K. A comprehensive AC side single line to ground fault ride through strategy of a modular multilevel converter for hvdc system. In Proceedings of the 2015 IEEE Energy Conversion Congress and Exposition (ECCE), Montreal, QC, Canada, 20–24 September 2015; pp. 5378–5385. [Google Scholar]
- Munch, P.; Gorges, D.; Izak, M.; Liu, S. Integrated current control, energy control and energy balancing of modular multilevel converters. In Proceedings of the 36th 36th Annual Conference on IEEE Industrial Electronics Society, Glendale, AZ, USA, 7–10 November 2010. [Google Scholar]
- Hillers, A.; Biela, J. Fault-tolerant operation of the modular multilevel converter in an energy storage system based on split batteries. In Proceedings of the 2014 16th European Conference on Power Electronics and Applications, Lappeenranta, Finland, 26–28 August 2014; pp. 1–8. [Google Scholar]
- Chen, Q.; Li, R.; Cai, X. Analysis and fault control of hybrid modular multilevel converter with integrated battery energy storage system. IEEE J. Emerg. Sel. Top. Power Electron. 2017, 5, 64–78. [Google Scholar] [CrossRef]
- Jung, J.J.; Cui, S.; Kim, S.; Sul, S.K. A cell capacitor energy balancing control of modular multilevel converter considering the unbalanced AC grid conditions. In Proceedings of the 2014 International Power Electronics Conference (IPEC-Hiroshima 2014—ECCE ASIA), Hiroshima, Japan, 18–21 May 2014; pp. 1268–1275. [Google Scholar]
- Leon, A.E.; Amodeo, S.J. Energy balancing improvement of modular multilevel converters under unbalanced grid conditions. IEEE Trans. Power Electron. 2017, 32, 6628–6637. [Google Scholar] [CrossRef]
- Cui, S.; Kim, S.; Jung, J.J.; Sul, S.K. A comprehensive cell capacitor energy control strategy of a modular multilevel converter (mmc) without a stiff DC bus voltage source. In Proceedings of the 2014 IEEE Applied Power Electronics Conference and Exposition (APEC 2014), Fort Worth, TX, USA, 16–20 March 2014; pp. 602–609. [Google Scholar]
- Fan, S.; Zhang, K.; Xiong, J.; Xue, Y. An improved control system for modular multilevel converters with new modulation strategy and voltage balancing control. IEEE Trans. Power Electron. 2015, 30, 358–371. [Google Scholar] [CrossRef]
- VDE. VDE-AR-N 4120:2015-01 Technical Requirements for the Connection and Operation of Customer Installations to the High-Voltage Network (TCC High-Voltage); VDE: Frankfurt am Main, Germany, 2015. [Google Scholar]
- Vasiladiotis, M.; Cherix, N.; Rufer, A. Impact of grid asymmetries on the operation and capacitive energy storage design of modular multilevel converters. IEEE Trans. Indu. Electron. 2015, 62, 6697–6707. [Google Scholar] [CrossRef]
- Prieto-Araujo, E.; Junyent-Ferré, A.; Clariana-Colet, G.; Gomis-Bellmunt, O. Control of modular multilevel converters under singular unbalanced voltage conditions with equal positive and negative sequence components. IEEE Trans. Power Syst. 2017, 32, 2131–2141. [Google Scholar] [CrossRef]
- Tsolaridis, G.; Kontos, E.; Parikh, H.; Sanchez, R.; Teodorescu, R.; Chaudhary, S. Control of a modular multilevel converter STATCOM under internal and external unbalances. In Proceedings of the 42nd Annual Conference of the IEEE Industrial Electronics Society (IECON 2016), Florence, Italy, 23–26 October 2016. [Google Scholar]
- Akagi, H.; Kanazawa, Y.; Nabae, A. Instantaneous reactive power compensators comprising switching devices without energy storage components. IEEE Trans. Ind. Appl. 1984, IA-20, 625–630. [Google Scholar] [CrossRef]
- Uphues, A.; Nötzold, K.; Griessel, R.; Wegener, R.; Soter, S. Overview of LVRT-capability pre-evaluation with an inverter based test bench. In Proceedings of the 2015 IEEE 24th International Symposium on Industrial Electronics (ISIE), Buzios, Brazil, 3–5 June 2015. [Google Scholar]
- Camacho, A.; Castilla, M.; Miret, J.; Guzman, R.; Borrell, A. Reactive power control for distributed generation power plants to comply with voltage limits during grid faults. IEEE Trans. Power Electron. 2014, 29, 6224–6234. [Google Scholar] [CrossRef]



















| Description | Symbol | Value |
|---|---|---|
| Rated Power (kVA) | S | 1.25 |
| Rated RMS Voltage (V) | 150 | |
| Rated DC Voltage (V) | 300 | |
| Submodule’s Capacitance (mF) | 4 | |
| Arm Inductance (mH) | 20 | |
| Number of Submodules per arm | N | 4 |
| Transformer Turns Ratio | n | 1: |
| Controller | |||
|---|---|---|---|
| Arm Energy Controller () | 0.2 | 0.5 | - |
| Leg Energy Controller () | 0.2 | 0.3 | - |
| Circulating Current Controller | 32.2 | 3.22 × | : 3.22 × : 3.22 × |
| Output Current Controller | 24.2 | 2.42 × | - |
© 2017 by the authors. Licensee MDPI, Basel, Switzerland. This article is an open access article distributed under the terms and conditions of the Creative Commons Attribution (CC BY) license (http://creativecommons.org/licenses/by/4.0/).
Share and Cite
Tsolaridis, G.; Kontos, E.; Chaudhary, S.K.; Bauer, P.; Teodorescu, R. Internal Balance during Low-Voltage-Ride-Through of the Modular Multilevel Converter STATCOM. Energies 2017, 10, 935. https://doi.org/10.3390/en10070935
Tsolaridis G, Kontos E, Chaudhary SK, Bauer P, Teodorescu R. Internal Balance during Low-Voltage-Ride-Through of the Modular Multilevel Converter STATCOM. Energies. 2017; 10(7):935. https://doi.org/10.3390/en10070935
Chicago/Turabian StyleTsolaridis, Georgios, Epameinondas Kontos, Sanjay K. Chaudhary, Pavol Bauer, and Remus Teodorescu. 2017. "Internal Balance during Low-Voltage-Ride-Through of the Modular Multilevel Converter STATCOM" Energies 10, no. 7: 935. https://doi.org/10.3390/en10070935
APA StyleTsolaridis, G., Kontos, E., Chaudhary, S. K., Bauer, P., & Teodorescu, R. (2017). Internal Balance during Low-Voltage-Ride-Through of the Modular Multilevel Converter STATCOM. Energies, 10(7), 935. https://doi.org/10.3390/en10070935

