A Single-Phase Bidirectional AC/DC Converter for V2G Applications
Abstract
:1. Introduction
2. Topology and Modeling
2.1. Topology of the Presented Converter
2.2. Operation Mode
2.3. Modeling of the Presented Topology
2.4. Modulation and Control Strategy
2.4.1. Direct Power Control Strategy
2.4.2. Modulation of the Two-Stage Converter
3. Power Loss Analysis
4. Simulation and Experimental Results
4.1. Simulation Results
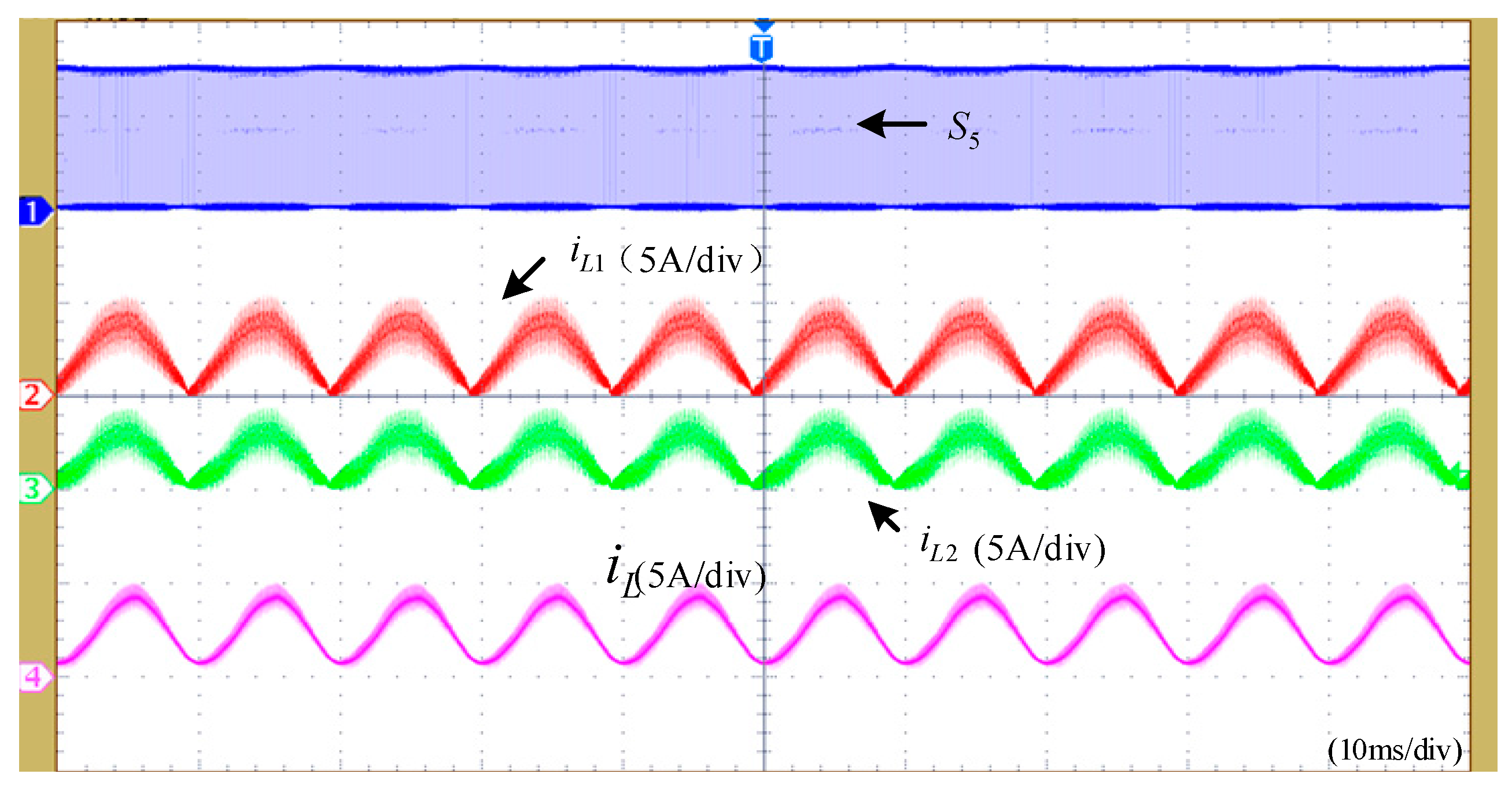
4.2. Experimental Results
5. Conclusions
Acknowledgments
Author Contributions
Conflicts of Interest
References
- Kempton, W.; Tomic, J. Vehicle-to-grid power fundamentals: Calculating capacity and net revenue. J. Power Sources 2005, 144, 268–279. [Google Scholar] [CrossRef]
- Viswanathan, V.V.; Kintner-Meyer, M. Second use of transportation batteries: Maximizing the value of batteries for transportation and grid services. IEEE Trans. Veh. Technol. 2011, 60, 2963–2970. [Google Scholar] [CrossRef]
- Sortomme, E.; El-Sharkawi, M.A. Optimal scheduling of vehicle-to-grid energy and ancillary services. IEEE Trans. Smart Grid 2012, 3, 351–359. [Google Scholar] [CrossRef]
- Yilmaz, M.; Krein, P.T. Review of the impact of vehicle-to-grid technologies on distribution systems and utility interfaces. IEEE Trans. Power Electron. 2013, 28, 5673–5689. [Google Scholar] [CrossRef]
- Kisacikoglu, M.C.; Ozpineci, B.; Tolbert, L.M. EV/PHEV bidirectional charger assessment for V2G reactive power operation. IEEE Trans. Power Electron. 2013, 28, 5717–5727. [Google Scholar] [CrossRef]
- Jang, M.; Ciobotaru, M.; Agelidis, V.G. A compact single-phase bidirectional buck-boost inverter topology. In Proceedings of the 2012 International Conference on Renewable Energy Research and Applications (ICRERA), Nagasaki, Japan, 11–14 November 2012; pp. 1–6. [Google Scholar]
- Jang, Y.; Jovanovic, M.M. Interleaved boost converter with intrinsic voltage-doubler characteristic for universal-line PFC front end. IEEE Trans. Power Electron. 2007, 22, 1394–1401. [Google Scholar] [CrossRef]
- Musavi, F.; Eberle, W.; Dunford, W.G. A high-performance single-phase bridgeless interleaved PFC converter for plug-in hybrid electric vehicle battery chargers. IEEE Trans. Ind. Appl. 2011, 47, 1833–1843. [Google Scholar] [CrossRef]
- Lopez, O.; De Vicuna, L.C.; Castilla, M.; Matas, J.; Lopez, M. Sliding-mode-control design of a high-power-factor buck-boost rectifier. IEEE Trans. Ind. Electron. 1999, 46, 604–612. [Google Scholar] [CrossRef]
- Ghanem, M.C.; Al-Haddad, K.; Roy, G. A new control strategy to achieve sinusoidal line current in a cascade buck-boost converter. IEEE Trans. Ind. Electron. 1996, 43, 441–449. [Google Scholar] [CrossRef]
- Su, M.; Wang, H.; Sun, Y.; Yang, J.; Xiong, W.; Liu, Y. AC/DC matrix converter with an optimized modulation strategy for V2G applications. IEEE Trans. Power Electron. 2013, 28, 5736–5745. [Google Scholar] [CrossRef]
- Li, B.; Huang, S.; Chen, X. Performance improvement for two-stage single-phase grid-connected converters using a fast dc bus control scheme and a novel synchronous frame current controller. Energies 2017, 10, 389. [Google Scholar] [CrossRef]
- Ngo, T.; Lee, K.; Won, J.; Nam, K. Study of single-phase bidirectional battery charger for high power application. In Proceedings of the 7th International Power Electronics and Motion Control Conference (IPEMC), Harbin, China, 2–5 June 2012; pp. 958–962. [Google Scholar]
- Wong, N.; Kazerani, M. A review of bidirectional on-board charger topologies for plugin vehicles. In Proceedings of the 25th IEEE Canadian Conference on Electrical & Computer Engineering (CCECE), Montreal, QC, Canada, 29 April–2 May 2012; pp. 1–6. [Google Scholar]
- Shin, J.; Lee, J.Y. An electrolytic capacitor-less bi-directional EV on-board charger using harmonic modulation technique. IEEE Trans. Power Electron. 2014, 29, 5195–5203. [Google Scholar] [CrossRef]
- Yilmaz, M.; Krein, P.T. Review of battery charger topologies, charging power levels, and infrastructure for plug-in electric and hybrid vehicles. IEEE Trans. Power Electron. 2013, 28, 2151–2169. [Google Scholar] [CrossRef]
- Choi, J.; Byen, B.; Lee, Y.; Han, D.; Kho, H.; Choe, G. Design of leakage inductance in resonant dc-dc converter for electric vehicle charger. IEEE Trans. Magn. 2012, 48, 4417–4420. [Google Scholar] [CrossRef]
- Rosekeit, M.; Broeck, C.; De Doncker, R.W. Dynamic control of a dual active bridge for bidirectional ac charging. In Proceedings of the IEEE International Conference on Industrial Technology (ICIT), Seville, Spain, 17–19 March 2015; pp. 2085–2091. [Google Scholar]
- Xue, L.; Shen, Z.; Boroyevich, D.; Mattavelli, P.; Diaz, D. Dual active bridge-based battery charger for plug-in hybrid electric vehicle with charging current containing low frequency ripple. IEEE Trans. Power Electron. 2015, 30, 7299–7307. [Google Scholar] [CrossRef]
- Han, H.; Liu, Y.; Sun, Y.; Wang, H.; Su, M. A single-phase current-source bidirectional converter for V2G applications. J. Power Electron. 2014, 14, 458–467. [Google Scholar] [CrossRef]
- Kisacikoglu, M.C.; Kesler, M. Single-phase on-board bidirectional PEV charger for V2G reactive power operation. IEEE Trans. Smart Grid 2015, 6, 767–775. [Google Scholar] [CrossRef]
- Yang, P.; Peng, T.; Wang, H.; Han, H.; Yang, J.; Wang, H. A single-phase current-source bidirectional converter for V2G application. In Proceedings of the IEEE 3rd International Future Energy Electronics Conference 2017 and ECCE Asia (IFEEC 2017-ECCEAsia), Kaohsiung, Taiwan, 3–7 June 2017. [Google Scholar]
- Luo, Z.; Su, M.; Sun, Y.; Liu, Z.; Dong, M. First-order generalized integrator based frequency-locked loop and synchronization for three-phase grid-connected converters under adverse grid conditions. J. Power Electron. 2016, 16, 1939–1949. [Google Scholar] [CrossRef]
- Bierhoff, M.H.; Fuchs, F.W. Semiconductor losses in voltage source and current source IGBT converters based on analytical derivation. In Proceedings of the IEEE 35th Annual Power Electronics Specialists Conference, Aachen, Germany, 20–25 June 2004; pp. 2836–2842. [Google Scholar]
- Wang, B.; Venkataramanan, G. Analytical modeling of semiconductor losses in matrix converters. In Proceedings of the 5th International Power Electronics and Motion Control Conference, Shanghai, China, 14–16 August 2006; pp. 1–8. [Google Scholar]














| Phase Angle | Active Power (P) | Reactive Power (Q) |
|---|---|---|
| P < 0, discharging | Q > 0 Reactive power absorbing | |
| P = 0 | ||
| P > 0, charging | ||
| P > 0, charging | Q = 0 | |
| P > 0, charging | Q < 0 Reactive power supporting | |
| P = 0 | ||
| P < 0, discharging | ||
| P < 0, discharging | Q = 0 |
| Power Loss | Values |
|---|---|
| Front-end stage conduction loss of diodes Pc_d_front | 8.94 W |
| Rear-end stage switching loss of IGBT Psw_T_rear | 6.73 W |
| Rear-end stage reverse-recovery loss of diodes Psw_d_rear | 7.30 W |
| Rear-end stage conduction loss of diodes Pc_d_rear | 3.68 W |
| Rear-end stage conduction loss of IGBT Pc_T_rear | 3.89 W |
| The losses of DC inductors PL | 3.06 W |
| Parameters | Values |
|---|---|
| The amplitude of voltage Ug | 311 V |
| Input filter inductance (Lg) | 0.8 mH |
| Input filter capacitor (C) | 10 uF |
| DC inductor L1 | 0.2 mH |
| DC inductor L2 | 0.2 mH |
| Output filter capacitor (Co) | 103 uF |
| Switching frequency (fs) | 20 kHz |
| Battery voltage () | 120 V |
| Condition | The THD of Input Current |
|---|---|
| P = 400 W, Q = 0 var, | 6.15% |
| P = 200 W, Q = −340 var, | 18.33% |
| P = 0, Q = −400 var, | 34.58% |
| P = −400 W, Q = 0 var, | 7.31% |
© 2017 by the authors. Licensee MDPI, Basel, Switzerland. This article is an open access article distributed under the terms and conditions of the Creative Commons Attribution (CC BY) license (http://creativecommons.org/licenses/by/4.0/).
Share and Cite
Peng, T.; Yang, P.; Dan, H.; Wang, H.; Han, H.; Yang, J.; Wang, H.; Dong, H.; Wheeler, P. A Single-Phase Bidirectional AC/DC Converter for V2G Applications. Energies 2017, 10, 881. https://doi.org/10.3390/en10070881
Peng T, Yang P, Dan H, Wang H, Han H, Yang J, Wang H, Dong H, Wheeler P. A Single-Phase Bidirectional AC/DC Converter for V2G Applications. Energies. 2017; 10(7):881. https://doi.org/10.3390/en10070881
Chicago/Turabian StylePeng, Tao, Peng Yang, Hanbing Dan, Hui Wang, Hua Han, Jian Yang, Hao Wang, Hui Dong, and Patrick Wheeler. 2017. "A Single-Phase Bidirectional AC/DC Converter for V2G Applications" Energies 10, no. 7: 881. https://doi.org/10.3390/en10070881
APA StylePeng, T., Yang, P., Dan, H., Wang, H., Han, H., Yang, J., Wang, H., Dong, H., & Wheeler, P. (2017). A Single-Phase Bidirectional AC/DC Converter for V2G Applications. Energies, 10(7), 881. https://doi.org/10.3390/en10070881

