Effect of Fuel Injection Strategy on the Carbonaceous Structure Formation and Nanoparticle Emission in a DISI Engine Fuelled with Butanol
Abstract
:1. Introduction
2. Experimental Setup and Methods
2.1. Engine
2.2. Optical Measurements
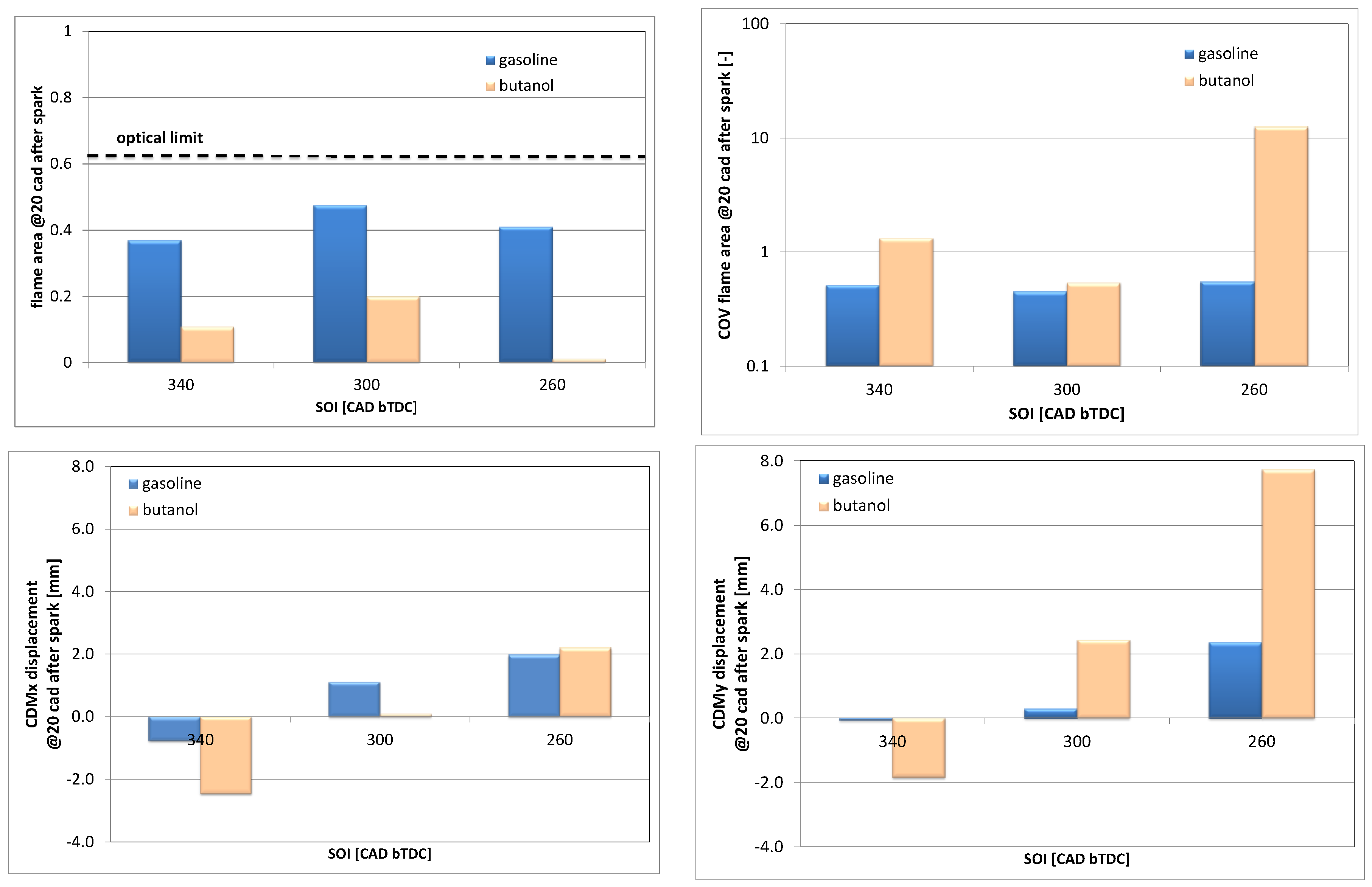
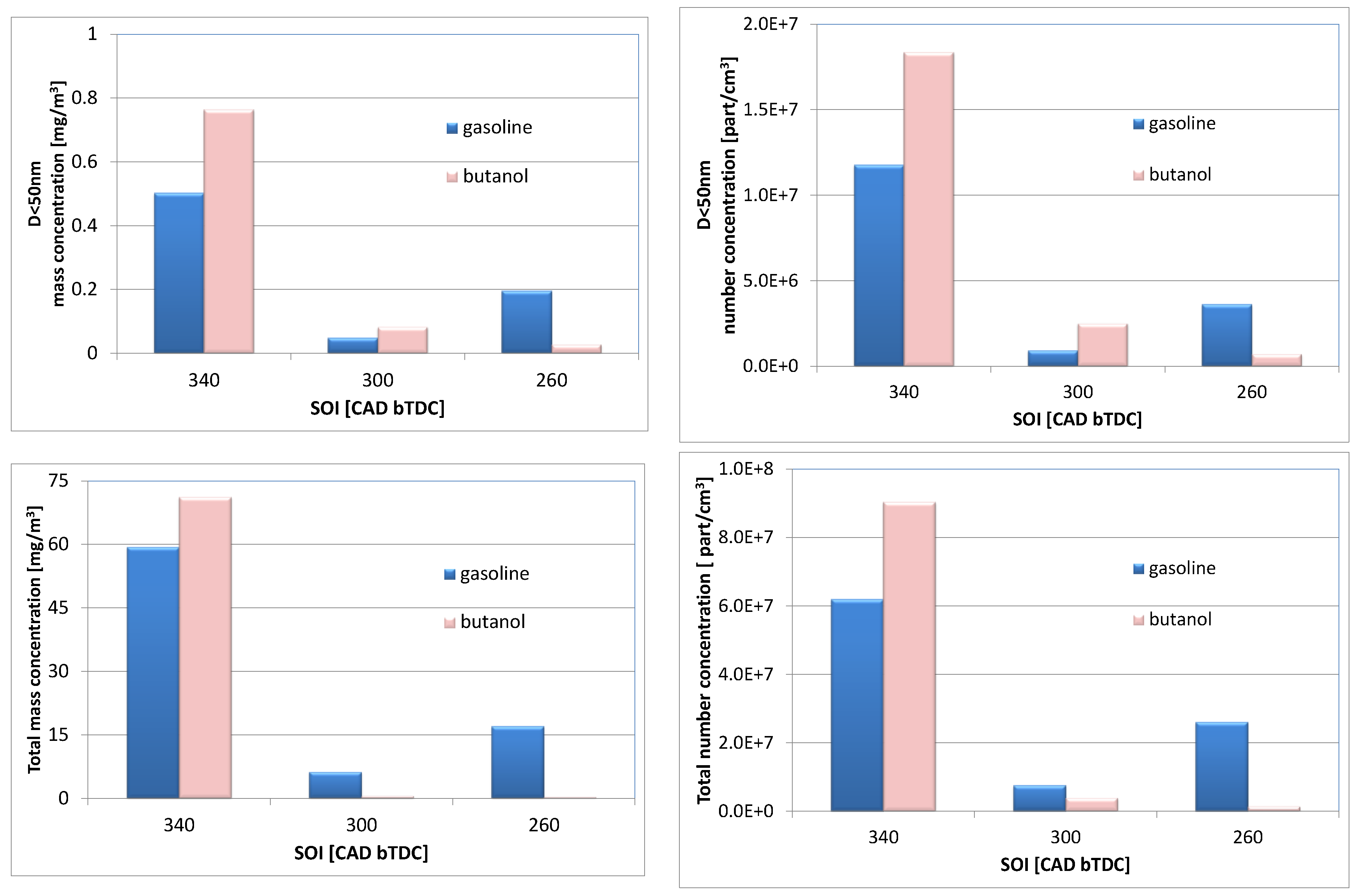
3. Results and Discussion
4. Conclusions
Acknowledgments
Author Contributions
Conflicts of Interest
References
- Kalghatgi, G.T. Developments in internal combustion engines and implications for combustion science and future transport fuels. Proc. Comb. Inst. 2017, 35, 101–115. [Google Scholar] [CrossRef]
- Berggren, C.; Magnusson, T. Reducing automotive emissions—The potentials of combustion engine technologies and the power of policy. Energy Policy 2012, 41, 636–643. [Google Scholar] [CrossRef]
- Alagumalai, A. Internal combustion engines: Progress and prospects. Renew. Sustain. Energy Rev. 2014, 31, 561–571. [Google Scholar] [CrossRef]
- Linse, D.; Kleemann, A.; Hasse, C. Probability density function approach coupled with detailed chemical kinetics for the prediction of knock in turbocharged direct injection spark ignition engines. Combust. Flame 2014, 161, 997–1014. [Google Scholar] [CrossRef]
- Karavalakis, G.; Short, D.; Vu, D.; Russell, R.L.; Asa-Awuku, A.; Jung, H.; Johnson, K.C.; Durbin, T.D. The impact of ethanol and iso-butanol blends on gaseous and particulate emissions from two passenger cars equipped with spray-guided and wall-guided direct injection SI (spark ignition) engines. Energy 2015, 82, 168–179. [Google Scholar] [CrossRef]
- Wyszynski, L.; Stone, C.; Kalghatgi, G. The Volumetric Efficiency of Direct and Port Injection Gasoline Engines with Different Fuels. SAE Tech. Pap. 2002. [Google Scholar] [CrossRef]
- Sementa, P.; Vaglieco, B.M.; Catapano, F. Thermodynamic and optical characterizations of a high performance GDI engine operating in homogeneous and stratified charge mixture conditions fueled with gasoline and bio-ethanol. Fuel 2012, 96, 204–219. [Google Scholar] [CrossRef]
- Fischer, J.; Velji, A.; Spicher, U. Investigation of Cycle-to-Cycle Variations of In-Cylinder Processes in Gasoline Direct Injection Engines Operating With Variable Tumble Systems. SAE Tech. Pap. 2004. [Google Scholar] [CrossRef]
- Price, P.; Twiney, B.; Stone, R.; Kar, K.; Walmsley, H. Particulate and Hydrocarbon Emissions from a Spray Guided Direct Injection Spark Ignition Engine with Oxygenate Fuel Blends. SAE Tech. Pap. 2007. [Google Scholar] [CrossRef]
- Schmidt, L.; Seabrook, J.; Stokes, J.; Ahmad Zuhdi, M.; Begg, S.; Heikal, M.; King, J. Multiple Injection Strategies for Improved Combustion Stability under Stratified Part Load Conditions in a Spray Guided Gasoline Direct Injection (SGDI) Engine. SAE Tech. Pap. 2011. [Google Scholar] [CrossRef]
- Merola, S.S.; Irimescu, A.; Marchitto, L.; Tornatore, C.; Valentino, G. Effect of injection timing on combustion and soot formation in a direct injection spark ignition engine fueled with butanol. Int. J. Engine Res. 2016. [Google Scholar] [CrossRef]
- Bertsch, M.; Koch, T.; Velji, A.; Kubach, H. Thermodynamic and Optical Investigations on Particle Emissions in a DISI Engine at Boosted Operation. SAE Int. J. Engines 2016, 9, 154–170. [Google Scholar] [CrossRef]
- Clenci, A.; Bîzîiac, A.; Podevin, P.; Descombes, G.; Deligant, M.; Niculescu, R. Idle Operation with Low Intake Valve Lift in a Port Fuel Injected Engine. Energies 2013, 6, 2874–2891. [Google Scholar] [CrossRef]
- Wang, T.; Liu, D.; Wang, G.; Tan, B.; Peng, Z. Effects of Variable Valve Lift on In-Cylinder Air Motion. Energies 2015, 8, 13778–13795. [Google Scholar] [CrossRef]
- Li, T.; Yin, T.; Wang, B. Anatomy of the cooled EGR effects on soot emission reduction in boosted spark-ignited direct-injection engines. Appl. Energy 2017, 190, 43–56. [Google Scholar] [CrossRef]
- Alger, T.; Huang, Y.; Hall, M.; Matthews, R. Liquid Film Evaporation Off the Piston of a Direct Injection Gasoline Engine. SAE Tech. Pap. 2001. [Google Scholar] [CrossRef]
- Yu, H.; Liang, X.; Shu, G.; Wang, X.; Wang, Y.; Hongsheng Zhang, H. Experimental Investigation on Wall Film Distribution of Dimethyl Ether/Diesel Blended Fuels Formed during Spray Wall Impingement. Energies 2016, 9, 949. [Google Scholar] [CrossRef]
- Lucchini, T.; D’Errico, G.; Onorati, A.; Bonandrini, G.; Venturoli, L.; Di Gioia, R. Development of a CFD Approach to Model Fuel-Air Mixing in Gasoline Direct-Injection Engines. SAE Tech. Pap. 2012. [Google Scholar] [CrossRef]
- Sphicas, P.; Pickett, L.; Skeen, S.; Frank, J.; Lucchini, T.; Sinoir, D.; D’Errico, G.; Saha, K.; Som, S. A Comparison of Experimental and Modeled Velocity in Gasoline Direct-Injection Sprays with Plume Interaction and Collapse. SAE Int. J. Fuels Lubr. 2017, 10, 184–201. [Google Scholar] [CrossRef]
- Breda, S.; D’Adamo, A.; Fontanesi, S.; D’Orrico, F.; Irimescu, A.; Merola, S.S.; Giovannoni, N. Numerical Simulation of Gasoline and n-Butanol Combustion in an Optically Accessible Research Engine. SAE Int. J. Fuels Lubr. 2017, 10, 32–55. [Google Scholar] [CrossRef]
- Kalghatgi, G.T.; Bradley, D. Pre-ignition and “super-knock” in turbo-charged spark-ignition engines. Int. J. Engine Res. 2012, 13, 399–414. [Google Scholar] [CrossRef]
- Fontanesi, S.; d’Adamo, A.; Rutland, C.J. Large-Eddy simulation analysis of spark configuration effect on cycle-to-cycle variability of combustion and knock. Int. J. Engine Res. 2015, 16, 403–418. [Google Scholar] [CrossRef]
- D’Adamo, A.; Breda, S.; Fontanesi, S.; Irimescu, A.; Merola, S.S.; Tornatore, C. A RANS knock model to predict the statistical occurrence of engine knock. Appl. Energy 2017, 191, 251–263. [Google Scholar] [CrossRef]
- Di Iorio, S.; Mancaruso, E.; Sementa, P.; Vaglieco, B.M. A comprehensive analysis of the impact of biofuels on the performance and emissions from compression and spark-ignition engines. Int. J. Engine Res. 2015, 16, 680–690. [Google Scholar] [CrossRef]
- Szwaja, S.; Naber, J.D. Combustion of n-butanol in a spark-ignition IC engine. Fuel 2010, 89, 1573–1582. [Google Scholar] [CrossRef]
- Aleiferis, P.G.; Serras-Pereira, J.; Richardson, D. Characterisation of flame development with ethanol, butanol, iso-octane, gasoline and methane in a direct-injection spark-ignition engine. Fuel 2013, 109, 256–278. [Google Scholar] [CrossRef]
- Rakopoulos, D.C.; Rakopoulos, C.D.; Giakoumis, E.G.; Papagiannakis, R.G.; Kyritsis, D.C. Influence of properties of various common bio-fuels on the combustion and emission characteristics of high-speed DI (direct injection) diesel engine: Vegetable oil, bio-diesel, ethanol, n-butanol, diethyl ether. Energy 2014, 73, 354–366. [Google Scholar] [CrossRef]
- Rakopoulos, D.C.; Rakopoulos, C.D.; Giakoumis, E.G. Impact of properties of vegetable oil, biodiesel, ethanol and n-butanol on the combustion and emissions of an HDDI diesel engine operating under steady-state and transient conditions. Fuel 2015, 156, 1–19. [Google Scholar] [CrossRef]
- Gu, X.; Huang, Z.; Cai, J.; Gong, J.; Wu, X.; Lee, C. Emission characteristics of a spark-ignition engine fuelled with gasoline-n-butanol blends in combination with EGR. Fuel 2012, 93, 611–617. [Google Scholar] [CrossRef]
- He, B.Q.; Chen, X.; Lin, C.L.; Zhao, H. Combustion characteristics of a gasoline engine with independent intake port injection and direct injection systems for n-butanol and gasoline. Energy Convers. Manag. 2016, 124, 556–565. [Google Scholar] [CrossRef]
- Irimescu, A.; Marchitto, L.; Merola, S.S.; Tornatore, C.; Valentino, G. Combustion process investigations in an optically accessible DISI engine fuelled with n-butanol during part load operation. Renew. Energy 2015, 77, 363–376. [Google Scholar] [CrossRef]
- Chen, Z.; Yang, F.; Xue, S.; Wu, Z.; Liu, J. Impact of higher n-butanol addition on combustion and performance of GDI engine in stoichiometric combustion. Energy Convers. Manag. 2015, 106, 385–392. [Google Scholar] [CrossRef]
- Wei, H.; Feng, D.; Pan, M.; Pan, J.Y.; Rao, X.K.; Gao, D. Experimental investigation on the knocking combustion characteristics of n-butanol gasoline blends in a DISI engine. Appl. Energy 2016, 175, 346–355. [Google Scholar] [CrossRef]
- Bowditch, F. A new tool for combustion research a quartz piston engine. SAE Tech. Pap. 1961. [Google Scholar] [CrossRef]
- Irimescu, A.; Merola, S.S.; Valentino, G. Application of an entrainment turbulent combustion model with validation based on the distribution of chemical species in an optical. Appl. Energy 2016, 162, 908–923. [Google Scholar] [CrossRef]
- Tsai, W. Moment-preserving thresholding: A new approach. Comput. Vis. Graph. Image Process. 1985, 29, 377–393. [Google Scholar] [CrossRef]
- Klinger, T. Image processing with LabVIEW and IMAQ Vision; Prentice Hall Professional: Upper Saddle River, NJ, USA, 2003. [Google Scholar]
- Yilmaz, H.M. The effect of interpolation methods in surface definition: An experimental study. Earth Surf. Processes Landf. 2007, 32, 1346–1361. [Google Scholar] [CrossRef]
- Yang, C.S.; Kao, S.P.; Lee, F.B.; Hung, P.S. Twelve different interpolation methods: A case study of Surfer 8.0. In Proceedings of the XXth ISPRS Congress, Istanbul, Turkey, 12–23 July 2004; Volume 35, pp. 778–785. [Google Scholar]
- Irimescu, A.; Tornatore, C.; Merola, S.S.; Valentino, G. Integrated Diagnostics for Combustion Investigation in a DISI Engine Fueled with Butanol and Gasoline at Different Load Settings. In Proceedings of the Colloquium Fuels—Conventional and Future Energy for Automobiles, Stuttgart/Ostfildern, Germany, 20–22 January 2015; pp. 117–128. [Google Scholar]
- Irimescu, A.; Merola, S.; Tornatore, C.; Valentino, G.; Grimaldi, A.; Carugati, E.; Silva, S. Plasma Assisted Ignition Effects on a DISI Engine Fueled with Gasoline and Butanol under Lean Conditions and with EGR. SAE Tech. Pap. 2016. [Google Scholar] [CrossRef]
- Irimescu, A.; Tornatore, C.; Marchitto, L.; Merola, S.S. Compression ratio and blow-by rates estimation based on motored pressure trace analysis for an optical spark ignition engine. Appl. Therm. Eng. 2013, 61, 101–109. [Google Scholar] [CrossRef]
- Sevik, J.; Pamminger, M.; Wallner, T.; Scarcelli, R.; Reese, R.; Iqbal, A.; Boyer, B.; Wooldridge, S.; Hall, C.; Miers, S. Performance, Efficiency and Emissions Assessment of Natural Gas Direct Injection compared to Gasoline and Natural Gas Port-Fuel Injection in an Automotive Engine. SAE Int. J. Engines 2016, 9, 1130–1142. [Google Scholar] [CrossRef]
- Irimescu, A. Air-fuel h–x diagram for gasoline-isobutanol blends. Proc. Rom. Acad. Ser. A 2010, 11, 322–329. [Google Scholar]
- Merola, S.S.; Irimescu, A.; Tornatore, C.; Valentino, G. Effect of the Fuel-Injection Strategy on Flame-Front Evolution in an Optical Wall-Guided DISI Engine with Gasoline and Butanol Fueling. J. Energy Eng. 2016, 142, E4015004. [Google Scholar] [CrossRef]
- Kang, K.Y.; Baek, J.H. Turbulence characteristics of tumble flow in a four-valve engine. Exp. Therm. Fluid Sci. 1998, 18, 231–243. [Google Scholar] [CrossRef]
- Kim, T.; Song, J.; Park, S. Effects of turbulence enhancement on combustion process using a double injection strategy in direct-injection spark-ignition (DISI) gasoline engines. Int. J. Heat Fluid Flow 2015, 56, 124–136. [Google Scholar] [CrossRef]
- Zeng, W.; Sjöberg, M. Utilizing boost and double injections for enhanced stratified-charge direct-injection spark-ignition engine operation with gasoline and E30 fuels. Int. J. Engine Res. 2017, 18, 131–142. [Google Scholar] [CrossRef]
- Giechaskiel, B.; Maricq, M.; Ntziachristos, L.; Dardiotis, C.; Wang, X.; Axmann, H.; Bergmann, A.; Schindler, W. Review of motor vehicle particulate emissions sampling and measurement: From smoke and filter mass to particle number. J. Aerosol Sci. 2014, 67, 48–86. [Google Scholar] [CrossRef]
- Turner, J.; Popplewell, A.; Patel, R.; Johnson, T.; Darnton, N.J.; Richardson, S.; Bredda, S.W.; Tudor, R.J.; Bithell, C.I.; Jackson, R.; et al. Ultra Boost for Economy: Extending the Limits of Extreme Engine Downsizing. SAE Int. J. Engines 2014, 7, 387–417. [Google Scholar] [CrossRef]
- Lee, C.B.; Oh, K.C.; Seong, H.; Choi, S. Morphology and Structure of Engine-like Soot Particles formed by a Soot/SOF Generator. In Proceedings of the 19th ETH Conference on Combustion Generated Nanoparticles, Zurich, Switzerland, 28–29 June 2015. [Google Scholar]
- Lee, K.; Seong, H.; Sakai, S.; Hageman, M.; Rothamer, D. Detailed Morphological Properties of Nanoparticles from Gasoline Direct Injection Engine Combustion of Ethanol Blends. SAE Tech. Pap. 2013. [Google Scholar] [CrossRef]
- Sgro, L.A.; Sementa, P.; Vaglieco, B.M.; Rusciano, G.; D’Anna, A.; Minutolo, P. Investigating the origin of nuclei particles in GDI engine exhausts. Combust. Flame 2012, 159, 1687–1692. [Google Scholar] [CrossRef]
- Fuller, K.A.; Malm, W.C.; Kreidenweis, S.M. Effects of mixing on extinction by carbonaceous particles. J. Geophys. Res. 1999, 104, 15941–15954. [Google Scholar] [CrossRef]
- Merola, S.; Irimescu, A.; Tornatore, C.; Marchitto, L.; Valentino, G. Split Injection in a DISI Engine Fuelled with Butanol and Gasoline Analyzed through Integrated Methodologies. SAE Int. J. Engines 2015, 8, 474–494. [Google Scholar] [CrossRef]















| Bore × Stroke | 79 × 81.3 mm |
|---|---|
| Connecting rod length | 143 mm |
| Cylinder | 1 |
| Compression ratio | 10 |
| IVO | 3 CAD bTDC |
| IVC | 36 CAD aBDC |
| EVO | 27 CAD bBDC |
| EVC | 0 CAD aTDC |
| Fuel system | direct injection 100 bar |
© 2017 by the authors. Licensee MDPI, Basel, Switzerland. This article is an open access article distributed under the terms and conditions of the Creative Commons Attribution (CC BY) license (http://creativecommons.org/licenses/by/4.0/).
Share and Cite
Merola, S.S.; Irimescu, A.; Di Iorio, S.; Vaglieco, B.M. Effect of Fuel Injection Strategy on the Carbonaceous Structure Formation and Nanoparticle Emission in a DISI Engine Fuelled with Butanol. Energies 2017, 10, 832. https://doi.org/10.3390/en10070832
Merola SS, Irimescu A, Di Iorio S, Vaglieco BM. Effect of Fuel Injection Strategy on the Carbonaceous Structure Formation and Nanoparticle Emission in a DISI Engine Fuelled with Butanol. Energies. 2017; 10(7):832. https://doi.org/10.3390/en10070832
Chicago/Turabian StyleMerola, Simona Silvia, Adrian Irimescu, Silvana Di Iorio, and Bianca Maria Vaglieco. 2017. "Effect of Fuel Injection Strategy on the Carbonaceous Structure Formation and Nanoparticle Emission in a DISI Engine Fuelled with Butanol" Energies 10, no. 7: 832. https://doi.org/10.3390/en10070832
APA StyleMerola, S. S., Irimescu, A., Di Iorio, S., & Vaglieco, B. M. (2017). Effect of Fuel Injection Strategy on the Carbonaceous Structure Formation and Nanoparticle Emission in a DISI Engine Fuelled with Butanol. Energies, 10(7), 832. https://doi.org/10.3390/en10070832

