A Novel Parametric Modeling Method and Optimal Design for Savonius Wind Turbines
Abstract
:1. Introduction
2. Geometry Configuration
2.1. Parametric Modeling Method
2.2. Coefficient of Performance
3. Numerical Method
- (1)
- Temperature and density variation of the flow was negligible.
- (2)
- The relative velocity is assumed to be vector having constant direction.
- (3)
- The rolling resistance of the rotor shaft is not included in the simulation.
3.1. Computational Domains and Grid Generation
- (1)
- Inlet: The velocity-inlet was set to be equivalent to inlet depending on the desired TSR.
- (2)
- Outlet: Relative atmospheric pressure was set to be 0 Pa.
- (3)
- Interface: The border between rotating domain and stationary domain was set to interface.
- (4)
- No slip wall: No slip wall conditions were imposed on the blades.
3.2. Numerical Method Validation
3.3. Simulation Example
4. Optimal Design Method
4.1. Kriging Method
4.2. Particle Swarm Optimization (PSO)
4.3. Optimization Results
5. Results and Discussion
5.1. Comparison of the Geometries
5.2. Flow Structure
5.3. Pressure Distributions
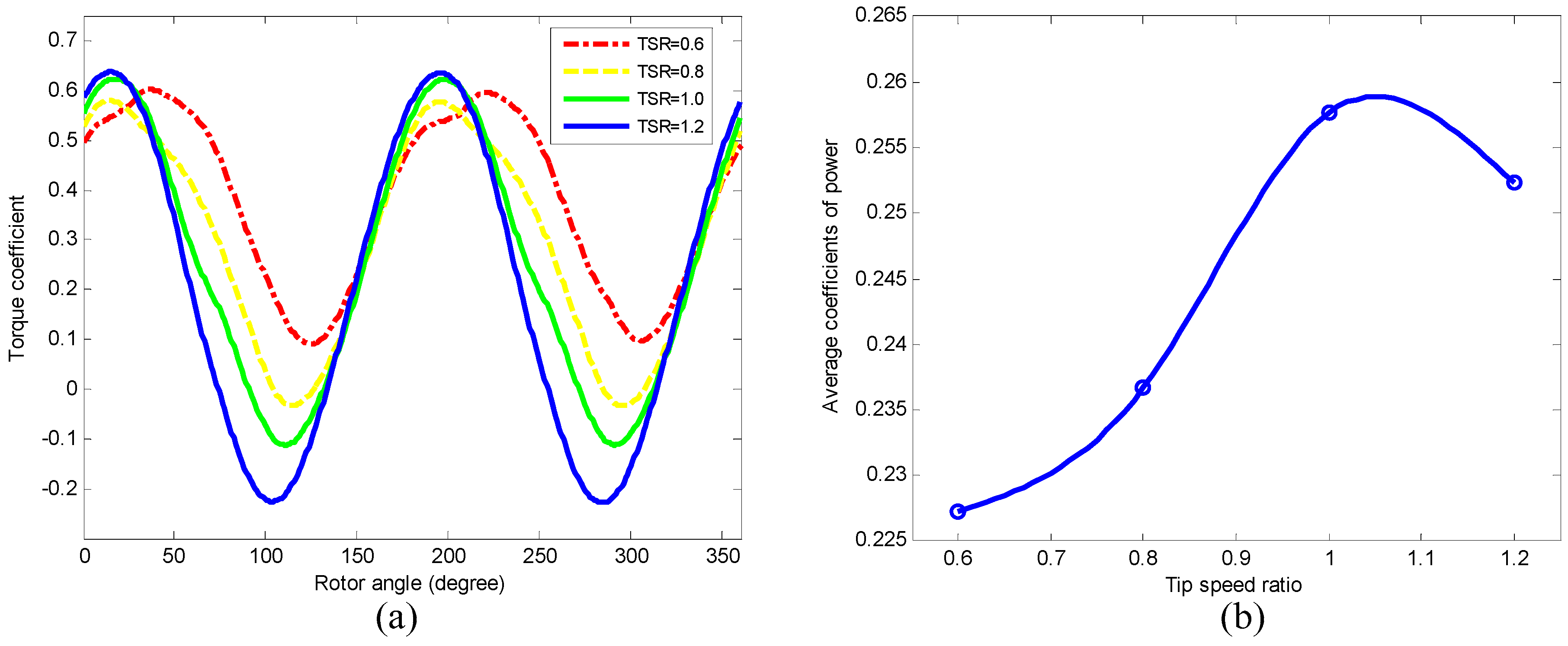
5.4. Torque and Power Analysis
6. Conclusions
- (1)
- A shape-complicated blade described by a bent quadratic polynomial curve is obtained. The shape of the optimal Savonius blade looks like a “hook”, with design parameters a2 = 0.017902 and a1 = 0.039233. To describe a more precise blade, cubic polynomial curve or higher order curve could be used in the future.
- (2)
- In terms of the average Cp, the optimal Savonius turbine is superior to the classical design. Optimization objective Cp is significantly increased from 0.247 to 0.262. Moreover, the weight of the optimal blade is reduced by 17.9%.
- (3)
- The amplitude of instantaneous Cm of the optimal Savonius is obviously higher than that of the classical Savonius.
- (4)
- Comprehensive performances of the optimal Savonius had gained high improvements during the entire period after optimization. However, wind turbine performance is not improved significantly in the returning process. This enlightens us that reducing wind torque during the returning process is a future trend.
Acknowledgments
Author Contributions
Conflicts of Interest
References
- Wang, Y.F.; Zhan, M.S. 3-Dimensional CFD simulation and analysis on performance of a micro-wind turbine resembling lotus in shape. Energy Build. 2013, 65, 66–74. [Google Scholar] [CrossRef]
- Tian, W.; Song, B.; Vanzwieten, J.; Pyakurel, P. Computational fluid dynamics prediction of a modified Savonius wind turbine with novel blade shapes. Energies 2015, 8, 7915–7929. [Google Scholar] [CrossRef]
- Zhao, Z.; Zheng, Y.; Xu, X.; Liu, W.; Hu, G. Research on the improvement of the performance of Savonius rotor based on numerical study. In Proceedings of the IEEE International Conference on Sustainable Power Generation and Supply (SUPERGEN’09), Nanjing, China, 6–7 April 2009; pp. 1–6.
- Akwa, J.V.; Vielmo, H.A.; Petry, A.P. A review on the performance of Savonius wind turbines. Renew. Sustain. Energy Rev. 2012, 16, 3054–3064. [Google Scholar] [CrossRef]
- Altan, B.D.; Atılgan, M. An experimental and numerical study on the improvement of the performance of Savonius wind rotor. Energy Convers. Manag. 2008, 49, 3425–3432. [Google Scholar] [CrossRef]
- Wahyudi, B.; Soeparman, S.; Hoeijmakers, H.W.M. Optimization design of Savonius diffuser blade with moving deflector for hydrokınetıc cross flow turbıne rotor. Energy Procedia 2015, 68, 244–253. [Google Scholar] [CrossRef]
- Kumar, D.; Sarkar, S. Numerical investigation of hydraulic load and stress induced in Savonius hydrokinetic turbine with the effects of augmentation techniques through fluid-structure interaction analysis. Energy 2016, 116, 609–618. [Google Scholar] [CrossRef]
- Kacprzak, K.; Liskiewicz, G.; Sobczak, K. Numerical investigation of conventional and modified Savonius wind turbines. Renew. Energy 2013, 60, 578–585. [Google Scholar] [CrossRef]
- Alaimo, A.; Esposito, A.; Milazzo, A.; Orlando, C.; Trentacosti, F. Slotted blades Savonius wind turbine analysis by CFD. Energies 2013, 6, 6335–6351. [Google Scholar] [CrossRef]
- Altan, B.D.; Atılgan, M. A study on increasing the performance of Savonius wind rotors. J. Mech. Sci. Technol. 2012, 26, 1493–1499. [Google Scholar] [CrossRef]
- El-Askary, W.A.; Nasef, M.H.; Abdel-Hamid, A.A.; Gad, H.E. Harvesting wind energy for improving performance of Savonius rotor. J. Wind Eng. Ind. Aerodyn. 2015, 139, 8–15. [Google Scholar] [CrossRef]
- Modi, V.J.; Roth, N.J.; Fernando, M.S.U.K. Optimum-configuration studies and prototype design of a wind-energy-operated irrigation system. J. Wind Eng. Ind. Aerodyn. 1984, 16, 85–96. [Google Scholar] [CrossRef]
- Zhou, T.; Rempfer, D. Numerical study of detailed flow field and performance of Savonius wind turbines. Renew. Energy 2013, 51, 373–381. [Google Scholar] [CrossRef]
- Mohamed, M.H.; Janiga, G.; Pap, E.; Thévenin, D. Optimal blade shape of a modified Savonius turbine using an obstacle shielding the returning blade. Energy Convers. Manag. 2011, 52, 236–242. [Google Scholar] [CrossRef]
- Driss, Z.; Mlayeh, O.; Driss, D.; Maaloul, M.; Abid, M.S. Numerical simulation and experimental validation of the turbulent flow around a small incurved Savonius wind rotor. Energy 2014, 74, 506–517. [Google Scholar] [CrossRef]
- Ahmed, M.R.; Faizal, M.; Lee, Y.H. Optimization of blade curvature and inter-rotor spacing of Savonius rotors for maximum wave energy extraction. Ocean Eng. 2013, 65, 32–38. [Google Scholar] [CrossRef]
- Al Faruk, A.; Sharifian, A. Geometrical optimization of a swirling Savonius wind turbine using an open jet wind tunnel. Alex. Eng. J. 2016, 55, 2055–2064. [Google Scholar] [CrossRef]
- Dragomirescu, A. Performance assessment of a small wind turbine with crossflow runner by numerical simulations. Renew. Energy 2011, 36, 957–965. [Google Scholar] [CrossRef]
- Martin, J.D.; Simpson, T.W. Use of Kriging models to approximate deterministic computer models. AIAA J. 2005, 43, 853–863. [Google Scholar] [CrossRef]
- Kennedy, J. The particle swarm: Social adaptation of knowledge. In Proceedings of the IEEE International Conference on Evolutionary Computation, Indianapolis, IN, USA, 13–16 April 1997; pp. 303–308.
- Eberhart, R.C.; Kennedy, J. A new optimizer using particle swarm theory. In Proceedings of the 6th International Symposium on Micro Machine and Human Science, Nagoya, Japan, 4–6 October 1995; Volume 1, pp. 39–43.
- Juang, C.F. A hybrid of genetic algorithm and particle swarm optimization for recurrent network design. IEEE Trans. Syst. Man Cybern. Part B Cybern. 2004, 34, 997–1006. [Google Scholar] [CrossRef]
- Sheldahl, R.E.; Feltz, L.V.; Blackwell, B.F. Wind tunnel performance data for two-and three-bucket Savonius rotors. J. Energy 1978, 2, 160–164. [Google Scholar] [CrossRef]
- Saha, U.K.; Thotla, S.; Maity, D. Optimum design configuration of Savonius rotor through wind tunnel experiments. J. Wind Eng. Ind. Aerodyn. 2008, 96, 1359–1375. [Google Scholar] [CrossRef]
- Menet, J.L. A double-step Savonius rotor for local production of electricity: A design study. Renew. Energy 2004, 29, 1843–1862. [Google Scholar] [CrossRef]
- Wenlong, T.; Baowei, S.; Zhaoyong, M. Conceptual design and numerical simulations of a vertical axis water turbine used for underwater mooring platforms. Int. J. Naval Arch. Ocean Eng. 2013, 5, 625–634. [Google Scholar] [CrossRef]
- McTavish, S.; Feszty, D.; Sankar, T. Steady and rotating computational fluid dynamics simulations of a novel vertical axis wind turbine for small-scale power generation. Renew. Energy 2012, 41, 171–179. [Google Scholar] [CrossRef]
- Chen, H.N.; Zhu, Y.L.; Hu, K.Y.; Ku, T. Global optimization based on hierarchical coevolution model. In Proceedings of the IEEE Congress on Evolutionary Computation (CEC 2008), Hong Kong, China, 1–6 June 2008; pp. 1497–1504.
- Bhutta, M.M.A.; Hayat, N.; Farooq, A.U.; Ali, Z.; Jamil, S.R.; Hussain, Z. Vertical axis wind turbine—A review of various configurations and design techniques. Renew. Sustain. Energy Rev. 2012, 16, 1926–1939. [Google Scholar] [CrossRef]






















| Type of the Turbines | D (m) | H (m) | d (m) | S0 (m) | r (m) | h |
|---|---|---|---|---|---|---|
| Classical Savonius | 0.909 | 1.0 | 0.5 | 0.091 | 0.25 | 0.25 |
| Modified Savonius | 0.909 | 1.0 | 0.5 | 0.091 | -- |
| Design Parameters | a2 | a1 | Design Parameters | a2 | a1 |
|---|---|---|---|---|---|
| P1 | 0 | 0.12 | P6 | 0.06 | 0 |
| P2 | −0.05 | 0.04 | P7 | −0.02 | −0.08 |
| P3 | 0.05 | 0.04 | P8 | 0.02 | −0.08 |
| P4 | −0.06 | 0 | P9 | 0 | −0.12 |
| P5 | 0 | 0 | -- | -- | -- |
| Grid Number | Average Cp | Time Step | Average Cp |
|---|---|---|---|
| 61,000 | 0.24750 | 0.5 | 0.24783 |
| 86,900 | 0.24871 | 1.0 | 0.24750 |
| 117,000 | 0.24723 | 2.0 | 0.24803 |
| -- | -- | 4.0 | 0.24610 |
| Type of the Designs | Design Parameters | Height h (m) | Relative Weight |
|---|---|---|---|
| Initial design (Classical) | R = 0.25 | 0.25 | 1 |
| Optimal design | a2 = 0.017902 a1 = 0.039233 | 0.206 | 0.821 |
| Optimization Objective | Initial Design (Classical) | Optimal Design | Optimization Effect |
|---|---|---|---|
| Cp | 0.2477 | 0.2623 | +6% |
© 2017 by the authors. Licensee MDPI, Basel, Switzerland. This article is an open access article distributed under the terms and conditions of the Creative Commons Attribution (CC BY) license ( http://creativecommons.org/licenses/by/4.0/).
Share and Cite
Zhang, B.; Song, B.; Mao, Z.; Tian, W.; Li, B.; Li, B. A Novel Parametric Modeling Method and Optimal Design for Savonius Wind Turbines. Energies 2017, 10, 301. https://doi.org/10.3390/en10030301
Zhang B, Song B, Mao Z, Tian W, Li B, Li B. A Novel Parametric Modeling Method and Optimal Design for Savonius Wind Turbines. Energies. 2017; 10(3):301. https://doi.org/10.3390/en10030301
Chicago/Turabian StyleZhang, Baoshou, Baowei Song, Zhaoyong Mao, Wenlong Tian, Boyang Li, and Bo Li. 2017. "A Novel Parametric Modeling Method and Optimal Design for Savonius Wind Turbines" Energies 10, no. 3: 301. https://doi.org/10.3390/en10030301
APA StyleZhang, B., Song, B., Mao, Z., Tian, W., Li, B., & Li, B. (2017). A Novel Parametric Modeling Method and Optimal Design for Savonius Wind Turbines. Energies, 10(3), 301. https://doi.org/10.3390/en10030301
