Hybrid Hydrogen and Mechanical Distributed Energy Storage
Abstract
:1. Introduction
- Adiabatic system: heat generated by compression is stored and then returned to the air before expansion. The expected round-trip efficiency is around 60% (although theoretically 100%).
- Diabatic system: the compression heat is dissipated into the atmosphere via heat intercoolers. The air is heated before entering the turbines. The expected round-trip efficiency is in the range of 40% to 50%.
- Isothermal systems: the temperature of the working fluid is kept as close as possible to the environment one. When air is compressed, heat dissipates into the atmosphere. Once the air is released to drive and the turbine to produce the electricity, heat is brought in from the external environment.
2. State of the Art and Perspectives of Energy Storage Technologies
2.1. Mechanical Storage Systems
2.2. Chemical and Electrochemical Storage Systems
3. Analysis and Discussion of the Proposed Hybrid Storage Layouts
- Electrical energy is stored in the form of compressed gas and hydrogen.
- Hydrogen is generated to provide a high temperature gas flow at the expander inlet. Such a temperature could be varied in order to optimize the system performances.
- Heat fluxes need to be properly optimized. In fact, the possible sources of heat are the gas at the compressor outlet and, for some specific operating conditions, the gas at the turbine exhaust. Intercooling during the compression phase, re-heating during the expansion phase, and regeneration are other possible options to improve the overall charge-discharge efficiency.
3.1. Simple Hybrid Storage System
- all the heat of compression is dissipated into the atmosphere as waste ;
- all the heat of compression is kept and returned to air before entering the turbine .
3.2. Regenerated System
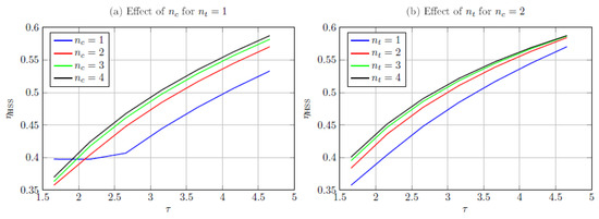
3.3. Multistage Compression and Expansion System
4. Conclusions
- When a simple hybrid storage system is considered, if the heat produced in the compression phase cannot be stored, the introduction of hydrogen storage in a compressed air system is positive.
- When a regenerate system is considered, the combination of hydrogen and compressed air storage always improves the efficiency. The effect of the pressure ratio on the performance of this system is opposite to that of a simple system, as the round-trip efficiency is improved by decreasing βc.
- When a multistage system is considered, the round-trip efficiency increases by increasing the number of stages in both compression and expansion phases. For nc > 3 and/or nt > 3, the marginal increment of efficiency is negligible. We also comment that the system cost is proportional to the number of stages since more fluid machineries and heat exchangers are required. Thereafter, the marginal efficiency improvement has to be balanced with the cost increase. Nevertheless, the energy and employed technology costs are needed for this assessment.
Acknowledgments
Author Contributions
Conflicts of Interest
Nomenclature
| Produced hydrogen mass flow rate | kg/s | |
| Inlet mass flow rate | kg/s | |
| Lower heating value of hydrogen | kJ/kg | |
| Electrical power from the grid to drive the compressor | W | |
| Electrical power from the grid to produce H2 from the electrolyzer | W | |
| Electrical power output | W | |
| Environment temperature | K | |
| Compressor outlet temperature | K | |
| Isentropic temperature at the end of the compression | K | |
| Air temperature at the storage outlet | K | |
| Turbine inlet temperature | K | |
| Turbine outlet temperature | K | |
| Isentropic temperature at the end of the expansion | K | |
| Regenerator outlet temperature | K | |
| Average constant pressure specific heat in the generic thermodynamic transformation between i and j | kJ/(kg·K) | |
| Temperature approach on the hot side of the regenerator | K | |
| Compressor pressure ratio | ||
| Turbine pressure ratio | ||
| Combustor efficiency | ||
| Efficiency of the electrolyzer | ||
| Roundtrip efficiency of the hybrid storage system | ||
| Overall efficiency of the compressor | ||
| Overall efficiency of the turbine | ||
| nc | Number of compression stages | |
| ne | Number of expansion stages | |
| R | Air constant | kJ/kg |
| Air–fuel ratio | ||
References
- International Energy Agency (IEA). World Energy Investment 2017. Available online: https://www.iea.org/publications/wei2017/ (accessed on 11 July 2017).
- Ackermann, T.; Andersson, G.; Sder, L. Distributed generation: A definition. Electr. Power Syst. Res. 2001, 57, 195–204. [Google Scholar] [CrossRef]
- Distributed Generation in Liberalised Electricity Markets; International Energy Agency: Paris, France, 2002.
- Ruan, Y.; Liu, Q.; Zhou, W.; Firestone, R.; Gao, W.; Watanabe, T. Optimal option of distributed generation technologies for various commercial buildings. Appl. Energy 2009, 86, 1641–1653. [Google Scholar] [CrossRef]
- Andreassi, L.; Ciminelli, M.; Feola, M.; Ubertini, S. Innovative method for energy management: Modelling and optimal operation of energy systems. Energy Build. 2009, 41, 436–444. [Google Scholar] [CrossRef]
- Andreassi, L.; Ubertini, S. Optimal management of power systems. In Energy Management; Perez, F.M., Ed.; Intech: Rijeka, Primorsko-Goranska, 2010; ISBN 978-953-307-065-0. [Google Scholar]
- Bella, G.; Facci, A.L.; Fumarola, A.; Tribioli, L.; Ubertini, S. Comparison among different CCHP plant configurations with energy flows optimization. In Proceedings of the Third International Conference on Applied Energy, Perugia, Italy, 16–18 May 2011. [Google Scholar]
- Facci, A.L.; Andreassi, L.; Ubertini, S. Optimization of CHCP (combined heat power and cooling) systems operation strategy using dynamic programming. Energy 2014, 66, 387–400. [Google Scholar] [CrossRef]
- Facci, A.L.; Andreassi, L.; Martini, F.; Ubertini, S. Comparing Energy and Cost Optimization in Distributed Energy Systems Management. J. Energy Resour. Technol. 2014, 136. [Google Scholar] [CrossRef]
- Cavallo, A. Controllable and affordable utility-scale electricity from intermittent wind resources and compressed air energy storage (CAES). Energy 2007, 32, 120–127. [Google Scholar] [CrossRef]
- Facci, A.L.; Andreassi, L.; Ubertini, S.; Sciubba, E. Analysis of the Influence of Thermal Energy Storage on the Optimal Management of a Trigeneration Plant. Energy Procedia 2014, 45, 1295–1304. [Google Scholar] [CrossRef]
- Facci, A.L.; Sánchez, D.; Jannelli, E.; Ubertini, S. Trigenerative micro compressed air energy storage: Concept and thermodynamic assessment. Appl. Energy 2015, 158, 243–254. [Google Scholar] [CrossRef]
- Safaei, H.; Aziz, M.J. Thermodynamic Analysis of Three Compressed Air Energy Storage Systems: Conventional, Adiabatic, and Hydrogen-Fueled. Energies 2017, 10, 1020. [Google Scholar] [CrossRef]
- Wang, J.; Lu, K.; Ma, L.; Wang, J.; Dooner, M.; Miao, S.; Li, J.; Wang, D. Overview of Compressed Air Energy Storage and Technology Development. Energies 2017, 10, 991. [Google Scholar] [CrossRef]
- Li, R.; Wang, H.; Yao, E.; Zhang, S. Thermo-Economic Comparison and Parametric Optimizations among Two Compressed Air Energy Storage System Based on Kalina Cycle and ORC. Energies 2017, 10, 15. [Google Scholar] [CrossRef]
- Kim, Y.M.; Favrat, D. Energy and exergy analysis of a micro-compressed air energy storage and air cycle heating and cooling system. Energy 2010, 35, 213–220. [Google Scholar] [CrossRef]
- Najjar, Y.S.H.; Zaamout, M.S. Performance analysis of compressed air energy storage (CAES) plant for dry regions. Energy Convers. Manag. 1998, 39, 1503–1511. [Google Scholar] [CrossRef]
- Sharma, A.; Chiu, H.H.; Ahrens, F.W.; Ahluwalia, R.K.; Ragsdell, K.M. Design of optimum compressed air energy-storage systems. Energy 1979, 4, 201–216. [Google Scholar] [CrossRef]
- Giramonti, A.J.; Lessard, R.D.; Blecher, W.A.; Smith, E.B. Conceptual design of compressed air energy storage electric power systems. Appl. Energy 1978, 4, 231–249. [Google Scholar] [CrossRef]
- Glendenning, I. Long-term prospects for compressed air storage. Appl. Energy 1976, 2, 39–56. [Google Scholar] [CrossRef]
- Briola, S.; Di Marco, P.; Gabbrielli, R.; Riccardi, J. Sensitivity analysis for the energy performance assessment of hybrid compressed air energy storage systems. Appl. Energy 2017, 206, 1552–1563. [Google Scholar] [CrossRef]
- Lund, H.; Salgi, G. The role of compressed air energy storage (CAES) in future sustainable energy systems. Energy Convers. Manag. 2009, 50, 1172–1179. [Google Scholar] [CrossRef]
- Momirlan, M.; Veziroglu, T.N. The properties of hydrogen as fuel tomorrow in sustainable energy system for a cleaner planet. Int. J. Hydrog. Energy 2005, 30, 795–802. [Google Scholar] [CrossRef]
- Pike Research’s “Energy Storage Tracker”. Available online: http://energystoragereport.info/tag/pike-research/ (accessed on 29 November 2017).
- Lux Research Inc. Grid Storage under the Microscope: Using Local Knowledge to Forecast Global Demand; Report No. LRSGI-R-11-1; Lux Research Inc.: Boston, MA, USA, 2012. [Google Scholar]
- Succar, S.; Williams, R.H. Compressed Air Energy Storage: Theory, Resources and Applications for Wind Power; Princeton Environmental Institute: Princeton, NJ, USA, 2008. [Google Scholar]
- European Commission. A Roadmap for moving to a competitive low carbon economy in 2050. Communication from the Commission to the European Parliament, the Council, the European Economic and Social Committee and the Committee of the Regions. Available online: http://eur-lex.europa.eu/legal-content/EN/TXT/PDF/?uri=CELEX:52011DC0112&from=EN. (accessed on 29 September 2017).
- International Energy Agency. World Energy Outlook 2010; International Energy Agency: Paris, France, 2010. [Google Scholar]
- DOE Global Energy Storage Database. Available online: http://www.energystorageexchange.org/ (accessed on 15 September 2017).
- Eckard, R. CAES Compressed Air Energy Storage Worldwide; SBI Energy: Rockville, MD, USA, 2010. [Google Scholar]
- Cazzaniga, R.; Cicu, M.; Rosa-Clot, M.; Ventura, C. Compressed air energy storage integrated with floating photovoltaic plant. J. Energy Storage 2017, 13, 48–57. [Google Scholar] [CrossRef]
- Chen, L.X.; Hu, P.; Sheng, C.C.; Xie, M.N. A novel compressed air energy storage (CAES) system combined with pre-cooler and using low grade waste heat as heat source. Energy 2017, 131, 259–266. [Google Scholar] [CrossRef]
- Kim, Y.M.; Lee, J.H.; Kim, S.J.; Favrat, D. Potential and evolution of compressed air energy storage: Energy and exergy analyses. Entropy 2012, 14, 1501–1521. [Google Scholar] [CrossRef]
- Krawczyk, P.; Szablowski, L.; Karellas, S.; Badyda, K. Comparative thermodynamic analysis of compressed air and liquid air energy storage systems. Energy 2018, 142, 46–54. [Google Scholar] [CrossRef]
- Briola, S.; Di Marco, P.; Gabbrielli, R.; Riccardi, J. A novel mathematical model for the performance assessment of diabatic compressed air energy storage systems including the turbomachinery characteristic curves. Appl. Energy 2016, 178, 758–773. [Google Scholar] [CrossRef]
- Szablowski, L.; Krawczyk, P.; Badyda, K.; Bujalski, W. Energy and exergy analysis of adiabatic compressed air energy storage system. Energy 2017, 138, 12–18. [Google Scholar] [CrossRef]
- Bullough, C.; Gatzen, C.; Jakiel, C.; Koller, M.; Nowi, A.; Zunft, S. Advanced adiabatic compressed air energy storage for the integration of wind Energy. In Proceedings of the European Wind Energy Conference, EWEC 2004, London, UK, 22–25 November 2004. [Google Scholar]
- Ibrahim, H.; Ilinca, A.; Perron, J. Energy storage systems—Characteristics and comparisons. Renew. Sustain. Energy Rev. 2008, 12, 1221–1250. [Google Scholar] [CrossRef]
- Vadasz, P. Compressed air energy storage: Optimal performance and technoeconomical indices. Int. J. Appl. Thermodyn. 1999, 2, 69–80. [Google Scholar]
- Yoshimoto, K.; Nanahara, T. Optimal daily operation of electric power systems with an ACC-CAES generating system. Electr. Eng. Jpn. 2005, 152, 15–23. [Google Scholar] [CrossRef]
- Lund, H.; Salgi, G.; Elmegaard, B.; Andersen, N. Optimal operation strategies of compressed air energy storage (CAES) on electricity spot markets with fluctuating prices. Appl. Therm. Eng. 2009, 29, 799–806. [Google Scholar] [CrossRef]
- Greenblatt, J.B.; Succar, S.; Denkenberger, D.; Williams, R.; Socolow, R. Baseload wind energy: Modeling the competition between gas turbines and compressed air energy storage for supplemental generation. Energy Policy 2007, 35, 1474–1492. [Google Scholar] [CrossRef]
- Grazzini, G.; Milazzo, A. Thermodynamic analysis of CAES/TES systems for renewable energy plants. Renew. Energy 2008, 33, 1998–2006. [Google Scholar] [CrossRef]
- Todd, D.M.; Battista, R.A. Demonstrated Applicability of Hydrogen Fuel for Gas Turbines—GE Power Systems; National Energy Technology Laboratory: Noordwijk, The Netherlands, 2009.
- Barbir, F. PEM electrolysis for production of hydrogen from renewable energy sources. Sol. Energy 2005, 78, 661–669. [Google Scholar] [CrossRef]
- Badwal, S.P.S.; Giddey, S.; Ciacchi, F.T. Hydrogen and oxygen generation with polymer electrolyte membrane (PEM) based electrolytic technology. Ionics 2006, 12, 7–14. [Google Scholar] [CrossRef]
- Millet, P.; Andolfatto, F.; Durand, R. Design and performance of a solid polymer electrolyte water electrolyser. Int. J. Hydrog. Energy 1996, 21, 87–93. [Google Scholar] [CrossRef]
- Newborough, M.A. Report on Electrolyzers, Future Markets and the Prospects for ITM Power Ltd’s Electrolyser Technology. 2004. Available online: http://www.h2fc.com/Newsletter/PDF/electrolyserTechnologyReportFINAL.doc (accessed on 29 November 2017).
- Andrews, J.; Mohammadi, S.S. Towards a ‘proton flow battery’: Investigation of a reversible PEM fuel cell with integrated metal-hydride hydrogen storage. Int. J. Hydrog. Energy 2014, 39, 1740–1751. [Google Scholar] [CrossRef]
- Padin, J.; Veziroglu, T.N.; Shahin, A. Hybrid solar hightemperature hydrogen production system. Int. J. Hydrog. Energy 2000, 25, 295–317. [Google Scholar] [CrossRef]
- Lehman, P.A.; Chamberlin, C.E.; Rocheleau, P. Operating experience with a photovoltaic-hydrogen energy system. Int. J. Hydrog. Energy 1997, 22, 465–470. [Google Scholar] [CrossRef]
- Ghosh, P.C.; Emont, B.; Janben, H.; Mergel, J.; Stolten, D. Ten years of operational experience with a hydrogen-based renewable energy supply system. Sol. Energy 2003, 75, 469–478. [Google Scholar] [CrossRef]
- Szyszka, A. Ten years of solar hydrogen demonstration project at Neunburg Vorm Wald, Germany. Int. J. Hydrog. Energy 1998, 23, 849–860. [Google Scholar] [CrossRef]
- Hollmuller, P.; Joubert, J.M.; Lachal, B.; Yvon, K. Evaluation of a 5 kWp photovoltaic hydrogen production and storage installation for a residential home in Switzerland. Int. J. Hydrog. Energy 2000, 25, 97–109. [Google Scholar] [CrossRef]
- Agbossou, K.; Chahine, R.; Hamelin, J.; Laurencelle, F.; Anouar, A.; Starnaud, J.M.; Bose, T.K. Renewable energy system based on hydrogen for remote applications. J. Power Sour. 2001, 96, 168–172. [Google Scholar] [CrossRef]
- Gokcen, N.A.; Reddy, R.G. Thermodynamics; Plenum Press: New York, NY, USA; London, UK, 1996. [Google Scholar]
- Facci, A.L.; Cigolotti, V.; Jannelli, E.; Ubertini, S. Technical and economic assessment of a SOFC-based energy system for combined cooling, heating and power. Appl. Energy 2017, 192, 563–574. [Google Scholar] [CrossRef]
- Cappa, F.; Facci, A.L.; Ubertini, S. Proton exchange membrane fuel cell for cooperating households: A convenient combined heat and power solution for residential applications. Energy 2015, 90, 1229–1238. [Google Scholar] [CrossRef]








© 2017 by the authors. Licensee MDPI, Basel, Switzerland. This article is an open access article distributed under the terms and conditions of the Creative Commons Attribution (CC BY) license (http://creativecommons.org/licenses/by/4.0/).
Share and Cite
Ubertini, S.; Facci, A.L.; Andreassi, L. Hybrid Hydrogen and Mechanical Distributed Energy Storage. Energies 2017, 10, 2035. https://doi.org/10.3390/en10122035
Ubertini S, Facci AL, Andreassi L. Hybrid Hydrogen and Mechanical Distributed Energy Storage. Energies. 2017; 10(12):2035. https://doi.org/10.3390/en10122035
Chicago/Turabian StyleUbertini, Stefano, Andrea Luigi Facci, and Luca Andreassi. 2017. "Hybrid Hydrogen and Mechanical Distributed Energy Storage" Energies 10, no. 12: 2035. https://doi.org/10.3390/en10122035
APA StyleUbertini, S., Facci, A. L., & Andreassi, L. (2017). Hybrid Hydrogen and Mechanical Distributed Energy Storage. Energies, 10(12), 2035. https://doi.org/10.3390/en10122035
