Band Gap Tuning of Cu2ZnGeSxSe4-x Absorbers for Thin-Film Solar Cells
Abstract
:1. Introduction
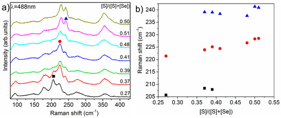
2. Results
3. Materials and Methods
4. Conclusions
Supplementary Materials
Acknowledgments
Author Contributions
Conflicts of Interest
References
- Buffiere, M.; ElAnzeery, H.; Oueslati, S.; Ben Messaoud, K.; Brammerth, G.; Meuris, M.; Poortmans, J. Physical characterization of Cu2ZnGeSe4 thin films from annealing of Cu-Zn-Ge precursor layers. Thin Solid Films 2015, 582, 171–175. [Google Scholar] [CrossRef]
- Khadka, D.B.; Kim, J. Study of structural and optical properties of kesterite Cu2ZnGeX4 (x = S, Se) thin films synthesized by chemical spray pyrolysis. CrystEngComm 2013, 15, 10500–10509. [Google Scholar] [CrossRef]
- Schnabel, T.; Seboui, M.; Bauer, A.; Choubrac, L.; Arzel, L.; Harel, S.; Barreau, N.; Ahlswede, E. Evaluation of different buffer materials for solar cells with wide-gap Cu2ZnGeSxSe4-x absorbers. RSC Adv. 2017, 7, 40105–40110. [Google Scholar] [CrossRef]
- Sahayaraj, S.; Brammerth, G.; Vermang, B.; Schnabel, T.; Ahlswede, E.; Huang, Z.; Ranjbar, S.; Meuris, M.; Vleugels, J.; Poortmans, J. Optoelectronic properties of thin film Cu2ZnGeSe4 solar cells. Sol. Energy Mater. Sol. Cells 2017, 171, 136–141. [Google Scholar] [CrossRef]
- Schnabel, T.; Seboui, M.; Ahlswede, E. Evaluation of different metal salt solutions for the preparation of solar cells with wide-gap Cu2ZnGeSxSe4-x absorbers. RSC Adv. 2016, 7, 26–30. [Google Scholar] [CrossRef]
- Timmo, K.; Kauk-Kuusik, M.; Altosaar, M.; Raudoja, J.; Raadik, T.; Grossberg, M.; Varema, T.; Pilvet, M.; Leinemann, I.; Volobujeva, O.; et al. Novel Cu2CdSnS4 and Cu2ZnGeSe4 absorber materials for monograin layer solar cell. In Proceedings of the 28th European Photovoltaic Solar Energy Conference and Exhibition, Villepinte, France, 30 September–4 October 2013. [Google Scholar]
- Shu, Q.; Yang, J.-H.; Chen, S.; Huang, B.; Xiang, H.; Gong, X.-G.; Wei, S.-H. Cu2Zn(Sn,Ge)Se4 and Cu2Zn(Sn,Si)Se4 alloys as photovoltaic materials: Structural and electronic properties. Phys. Rev. B 2016, 87, 115208-1–115208-6. [Google Scholar]
- Gershon, T.; Sardashti, K.; Gunawan, O.; Mankad, R.; Singh, S.; Lee, Y.S.; Ott, J.A.; Kummel, A.; Haight, R. Photovoltaic device with over 5% efficiency based on an n-type Ag2ZnSnSe4 absorber. Adv. Energy Mater. 2016, 6, 1601182. [Google Scholar] [CrossRef]
- Ge, J.; Yu, Y.; Yan, Y. Earth-abundant orthorhombic BaCu2Sn(SexS1-x)4 (x = 0.83) thin film for solar energy conversion. ACS Energy Lett. 2016, 1, 583–588. [Google Scholar] [CrossRef]
- Ge, J.; Yan, Y. Synthesis and characterization of photoelectrochemical and photovoltaic Cu2BaSnS4 thin films and solar cells. J. Mater. Chem. C 2017, 5, 6406–6419. [Google Scholar] [CrossRef]
- Lang, M.; Renz, T.; Mathes, N.; Neuwirth, M.; Schnabel, T.; Kalt, H.; Hetterich, M. Influence of the Cu content in Cu2ZnSn(S,Se)4 solar cell absorbers on order-disorder related band gap changes. Appl. Phys. Lett. 2016, 109, 142103. [Google Scholar] [CrossRef]
- Huang, L.; Deng, H.; He, J.; Meng, X.; Tao, J.; Cao, H.; Sun, L.; Yang, P.; Chu, J. Cu content dependence of morphological, structural and optical properties for Cu2ZnGeS4 thin films synthesized by sulfurization of sputtered precursors. Mater. Lett. 2015, 159, 1–4. [Google Scholar] [CrossRef]
- Vegard, L. Die konstitution der mischkristalle und die raumfüllung der atome. Z. Phys. 1921, 5, 17–21. [Google Scholar] [CrossRef]
- Guc, M.; Levcenko, S.; Izquierdo-Roca, V.; Fontane, X.; Arushanov, V.; Perez-Rodriguez, A. Polarized Raman scattering analysis of Cu2ZnSnSe4 and Cu2ZnGeSe4 single crystals. J. Appl. Phys. 2013, 114, 193514-1–193514-9. [Google Scholar] [CrossRef]
- Guc, M.; Izquierdo-Roca, V.; Perez-Rodriguez, A.; Gurieva, G.; Levcenko, S.; Schorr, S.; Arushanov, E. Raman spectra of wurtzstannite quaternary compounds. Phys. Stat. Solidi C 2013, 10, 1075–1078. [Google Scholar] [CrossRef]
- Grossberg, M.; Timmo, K.; Raadik, T.; Kärber, E.; Mikli, V.; Krustok, J. Study of structural and optoelectronic properties of Cu2Zn(Sn1-xGex)Se4 (x = 0 to 1) alloy compounds. Thin Solid Films 2015, 582, 176–179. [Google Scholar] [CrossRef]
- Khadka, D.B.; Kim, S.Y.; Kim, J. A nonvacuum approach for fabrication of Cu2ZnSnSe4/In2S3 thin film solar cell and optoelectronic characterization. J. Phys. Chem. C 2015, 119, 12226–12235. [Google Scholar] [CrossRef]
- Wiley, J.D.; Buckel, W.J.; Schmidt, R.L. Infrared reflectivity and Raman and scattering in GeS. Phys. Rev. B 1976, 13, 2489–2496. [Google Scholar] [CrossRef]
- Dimitrievska, M.; Xie, H.; Fairbrother, A.; Fontane, X.; Gurieva, G.; Saucedo, E.; Perez-Rodriguez, A.; Schorr, S.; Izquierdo-Roca, V. Multiwavelength excitation Raman scattering of Cu2ZnSn(SxSe4-x)4 polycrystalline thin films: Vibrational properties of sulfoselenide solid sulutions. Appl. Phys. Lett. 2014, 105, 031913. [Google Scholar] [CrossRef]
- Baer, M.; Weinhardt, L.; Heske, C.; Nishiwaki, S.; Shafarman, W.N. Chemical structures of the Cu(In,Ga)Se2/Mo and Cu(In,Ga)(S,Se)2/Mo interfaces. Phys. Rev. B 2008, 78, 075404. [Google Scholar] [CrossRef]
- Li, J.; Wei, M.; Du, Q.; Liu, W.; Jiang, G.; Zhu, C. The band alignment at CdS/Cu2ZnSnSe4 heterojunction interface. Surf. Interfaces Anal. 2013, 45, 682–684. [Google Scholar] [CrossRef]
- Gunawan, O.; Gokmen, T.; Warren, C.W.; Cohen, J.D.; Todorov, T.K.; Barkhouse, D.A.R.; Bag, S.; Tang, J.; Shin, B.; Mitzi, D.B. Band alignment at the Cu2ZnSn (SxSe1-x)4/CdS interface. Appl. Phys. Lett. 2011, 98, 253905-1–253905-4. [Google Scholar]
- Ren, Y.; Scragg, J.J.S.; Edoff, M.; Larsen, J.; Platzer-Björkman, C. Evolution of Na-S(-O) compounds on the Cu2ZnSnS4 absorber surface and their effects on CdS thin film growth. ACS Appl. Mater. Interfaces 2016, 8, 18600–18607. [Google Scholar] [CrossRef] [PubMed]
- Liu, F.; Ya, C.; Huang, J.; Sun, K.; Zhou, F.; Stride, J.A.; Green, M.A.; Hao, X. Nanoscale microstructure and chemistry of Cu2ZnSnS4/CdS interface in kesterite Cu2ZnSnS4 solar cells. Adv. Energy Mater. 2016, 6, 1600706. [Google Scholar] [CrossRef]
- Kim, G.Y.; Jeong, A.R.; Kim, J.R.; Jo, W.; Son, D.-H.; Kim, D.-H.; Kang, J.-K. Surface potential on grain boundaries and intragrains of highly efficient Cu2ZnSn(S,Se)4 thin-films grown by two-step sputtering process. Sol. Energy Mater. Sol. Cells 2014, 127, 129–135. [Google Scholar] [CrossRef]
- Schnabel, T.; Abzieher, T.; Friedlmeier, T.M.; Ahlswede, E. Solution-based preparation of Cu2ZnSn(S,Se)4 for solar cells—Comparison of SnSe2 and elemental Se as chalcogen source. IEEE J. Photovolt. 2015, 5, 670–675. [Google Scholar] [CrossRef]
- Wang, W.; Winkler, M.T.; Gunawan, O.; Gokmen, T.; Todorov, T.K.; Zhu, Y.; Mitzi, D.B. Device characteristics of CZTSSe thin-film solar cells with 12.6 efficiency. Adv. Energy Mater. 2014, 4, 1301465. [Google Scholar] [CrossRef]
- Turcu, M.; Pakma, O.; Rau, U. Interdependence of absorber composition and recombination mechanism in Cu(In,Ga)(Se,S)2 heterojunction solar cells. Appl. Phys. Lett. 2002, 80, 2598–2600. [Google Scholar] [CrossRef]
- Nadenau, V.; Rau, U.; Jasenek, A.; Schock, H.W. Electronic properties of CuGaSe2-based heterojunction solar cells. Part I. transport analysis. J. Appl. Phys. 2000, 87, 584–593. [Google Scholar]
- Scragg, J.J.; Wätjen, T.; Edoff, M.; Ericson, T.; Kubart, T.; Platzer-Björkman, C. A detrimental reaction at the molybdenum back contact in Cu2ZnSn(S,Se)4 thin-film solar cells. J. Am. Chem. Soc. 2012, 134, 19330–19333. [Google Scholar] [CrossRef] [PubMed]
- Larsson, F.; Nilsson, N.S.; Keller, J.; Frisk, C.; Kosyak, V.; Edoff, M.; Törndahl, T. Record 1.0 V open-circuit voltage in wide band gap chalcopyrite solar cells. Prog. Photovolt. Res. Appl. 2017, 25, 755–763. [Google Scholar] [CrossRef]





| Amount of GeS [mg] | 0 | 5 | 10 | 20 | 40 | 70 | 100 |
|---|---|---|---|---|---|---|---|
| 112 position [°] | 28.07 | 28.20 | 28.22 | 28.25 | 28.36 | 28.41 | 28.39 |
| [S]/([S] + [Se]) | 0.27 | 0.37 | 0.39 | 0.41 | 0.48 | 0.51 | 0.50 |
| Amount of GeS [mg] | 0 | 5 | 10 | 20 | 40 | 70 | 100 |
|---|---|---|---|---|---|---|---|
| [S]/([S] + [Se]) | 0.27 | 0.37 | 0.39 | 0.41 | 0.48 | 0.51 | 0.50 |
| EG [eV] | 1.50 | 1.54 | 1.62 | 1.63 | 1.67 | 1.71 | 1.69 |
| VOC [mV] | 619 | 672 | 682 | 675 | 658 | 652 | 669 |
| VOC deficit [mV] | 881 | 868 | 938 | 955 | 1012 | 1058 | 1021 |
| EA [meV] | 1281 | 1310 | 1372 | 1331 | 1324 | 1231 | 1351 |
| EG–EA [meV] | 219 | 230 | 248 | 299 | 346 | 479 | 339 |
© 2017 by the authors. Licensee MDPI, Basel, Switzerland. This article is an open access article distributed under the terms and conditions of the Creative Commons Attribution (CC BY) license (http://creativecommons.org/licenses/by/4.0/).
Share and Cite
Schnabel, T.; Seboui, M.; Ahlswede, E. Band Gap Tuning of Cu2ZnGeSxSe4-x Absorbers for Thin-Film Solar Cells. Energies 2017, 10, 1813. https://doi.org/10.3390/en10111813
Schnabel T, Seboui M, Ahlswede E. Band Gap Tuning of Cu2ZnGeSxSe4-x Absorbers for Thin-Film Solar Cells. Energies. 2017; 10(11):1813. https://doi.org/10.3390/en10111813
Chicago/Turabian StyleSchnabel, Thomas, Mahmoud Seboui, and Erik Ahlswede. 2017. "Band Gap Tuning of Cu2ZnGeSxSe4-x Absorbers for Thin-Film Solar Cells" Energies 10, no. 11: 1813. https://doi.org/10.3390/en10111813
APA StyleSchnabel, T., Seboui, M., & Ahlswede, E. (2017). Band Gap Tuning of Cu2ZnGeSxSe4-x Absorbers for Thin-Film Solar Cells. Energies, 10(11), 1813. https://doi.org/10.3390/en10111813

