A Scatter Search Heuristic for the Optimal Location, Sizing and Contract Pricing of Distributed Generation in Electric Distribution Systems
Abstract
:1. Introduction
2. Mathematical Model
2.1. Decision-Making Problem of the Distribution Company
2.2. Decision-Making Problem of the Distributed Generation Owner
2.3. Bilevel Modeling Framework
2.4. Upper Level Optimization Problem
2.5. Lower Level Optimization Problem
2.6. Illustrative Example
3. Solution Approach
3.1. Scatter Search General Structure
| Algorithm 1. Scatter search for DG optimization | |
| 1 | |
| 2 | While do |
| 3 | |
| 4 | If then |
| 5 | |
| 6 | End-if |
| 7 | End-While |
| 8 | Evaluate the solutions in and sort them by non-increasing profit (Equation (1)) |
| 9 | Build with the best solutions of , |
| 10 | Add to the most diverse solutions in with respect to those already in |
| 11 | Sort by non-increasing profit (Equation (1)) |
| 12 | |
| 13 | While (new) do |
| 14 | |
| 15 | For all do |
| 16 | If ( has not been combined before) then |
| 17 | |
| 18 | |
| 19 | |
| 20 | End-if |
| 21 | End-For all |
| 22 | End-While |
| 23 | Return |
3.2. Scatter Search Components
3.2.1. Solution Representation and Objective Function Evaluation
3.2.2. Distance Measure
3.2.3. Diversification Generator Method
3.2.4. Solution Combination Method
3.2.5. Improvement Method
3.2.6. Reference Set Update Method
4. Tests and Results
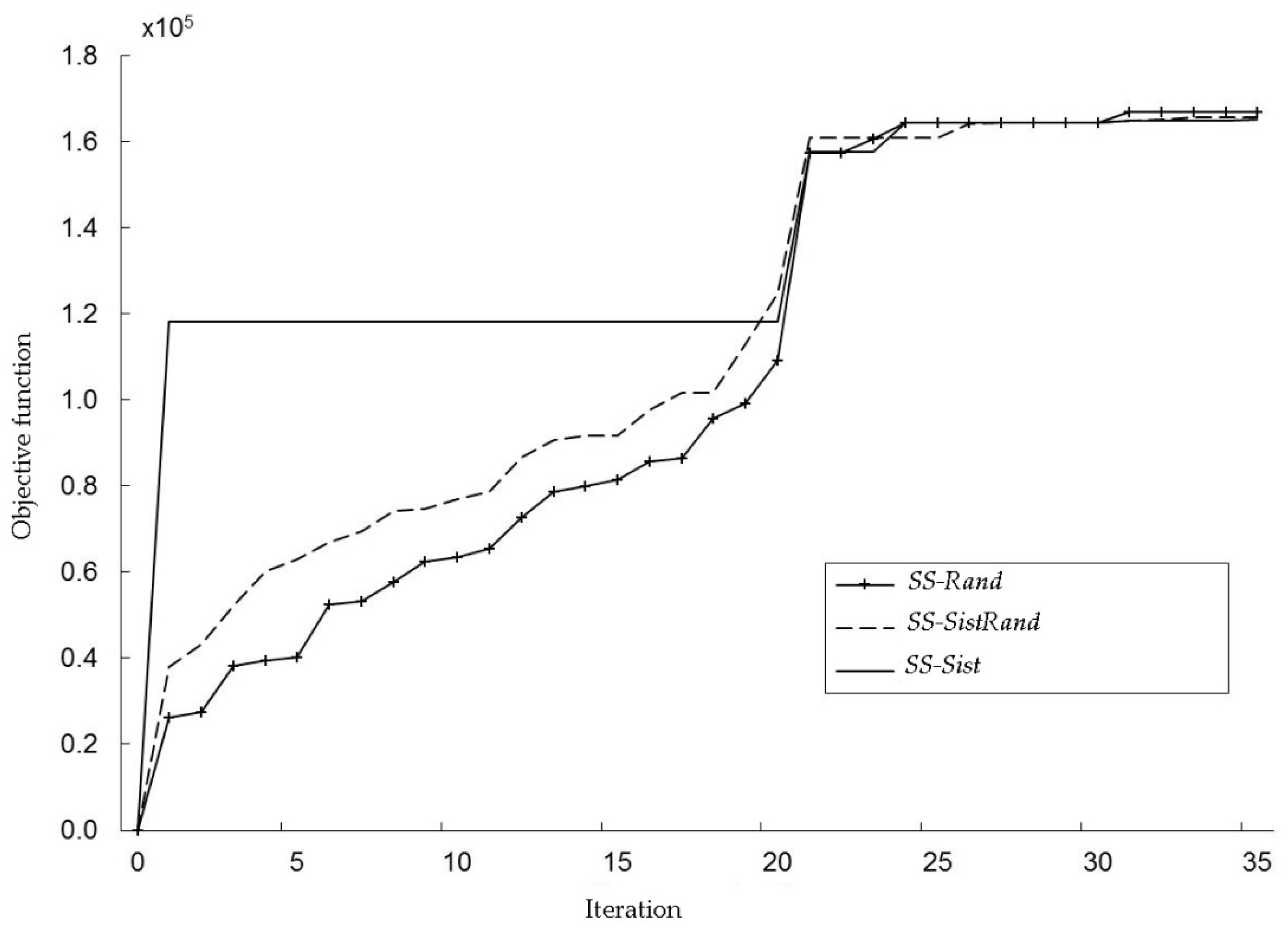
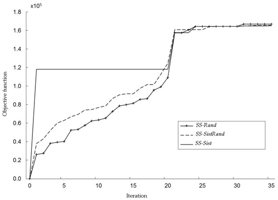
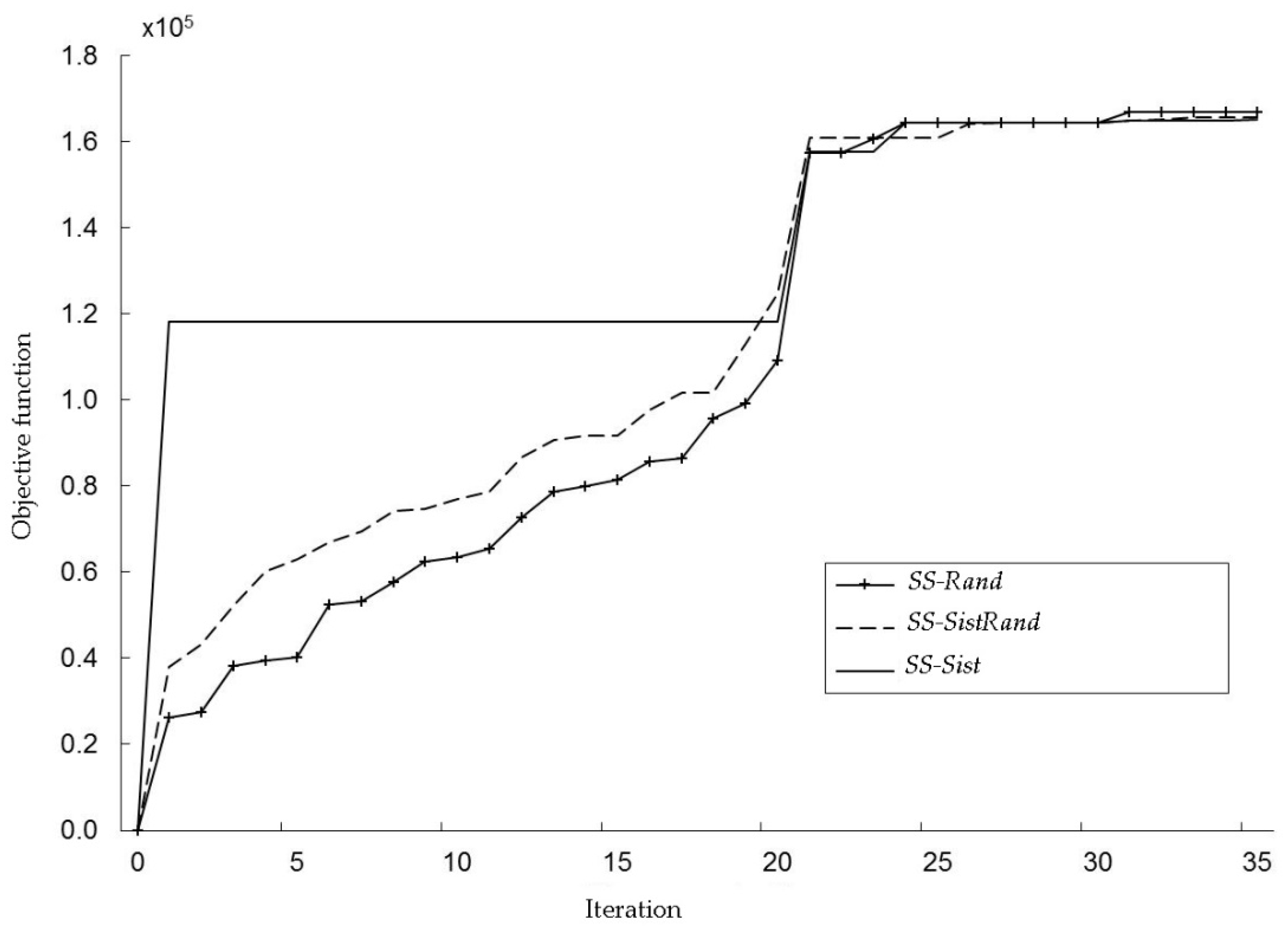
4.1. Diversification Generator Method Comparison
4.2. Comparison against Other Metaheuristics
5. Conclusions
Acknowledgments
Author Contributions
Conflicts of Interest
Appendix A
| Bus | P (MW) | Q (Mvar) | Bus | P (MW) | Q (Mvar) |
|---|---|---|---|---|---|
| 1 | 0 | 0 | 18 | 0 | 0 |
| 2 | 0.1555 | 0.0820 | 19 | 0.0113 | 0.0057 |
| 3 | 0.1555 | 0.0820 | 20 | 0.0424 | 0.0198 |
| 4 | 0.0452 | 0.0226 | 21 | 0 | 0 |
| 5 | 0.0452 | 0.0226 | 22 | 0.1385 | 0.0707 |
| 6 | 0 | 0 | 23 | 2.5438 | 1.2719 |
| 7 | 0 | 0 | 24 | 0.5031 | 0.2544 |
| 8 | 0 | 0 | 25 | 0.0057 | 0.0028 |
| 9 | 0.0141 | 0.0057 | 26 | 0.9836 | 0.5992 |
| 10 | 0.0961 | 0.0480 | 27 | 0.0254 | 0.0141 |
| 11 | 0.1385 | 0.0678 | 28 | 0.3448 | 0.1781 |
| 12 | 0.4777 | 0.2459 | 29 | 2.4421 | 1.8598 |
| 13 | 0.0311 | 0.0141 | 30 | 0.0791 | 0.0396 |
| 14 | 0.1131 | 0.0565 | 31 | 0.2657 | 0.1752 |
| 15 | 0.3816 | 0.1979 | 32 | 0.1922 | 0.0961 |
| 16 | 0.2742 | 0.1215 | 33 | 0.0791 | 0.0396 |
| 17 | 0.0113 | 0.0057 | 34 | 0.4042 | 0.3024 |
| Line | R (Ω) | X (Ω) | Line | R (Ω) | X (Ω) |
|---|---|---|---|---|---|
| 1–2 | 0.0026 | 0.0025 | 17–18 | 0.0078 | 0.0064 |
| 2–3 | 0.0018 | 0.0013 | 18–20 | 0.0004 | 0.0003 |
| 3–4 | 0.0170 | 0.0138 | 20–21 | 0.0053 | 0.0038 |
| 4–5 | 0.0004 | 0.0003 | 20–22 | 0.0071 | 0.0071 |
| 4–6 | 0.0036 | 0.0033 | 21–23 | 0.0007 | 0.0004 |
| 6–7 | 0.0010 | 0.0009 | 22–25 | 0.0004 | 0.0003 |
| 7–8 | 0.0076 | 0.0057 | 22–24 | 0.0007 | 0.0005 |
| 8–9 | 0.0003 | 0.0003 | 24–26 | 0.0105 | 0.0065 |
| 9–10 | 0.0105 | 0.0074 | 24–27 | 0.0037 | 0.0037 |
| 9–11 | 0.0190 | 0.0172 | 26–28 | 0.0004 | 0.0003 |
| 10–12 | 0.0086 | 0.0065 | 28–30 | 0.0005 | 0.0004 |
| 12–15 | 0.0095 | 0.0065 | 30–33 | 0.0037 | 0.0034 |
| 11–14 | 0.0037 | 0.0037 | 28–31 | 0.0070 | 0.0052 |
| 11–13 | 0.0077 | 0.0064 | 27–29 | 0.0014 | 0.0013 |
| 13–16 | 0.0017 | 0.0011 | 29–32 | 0.0038 | 0.0035 |
| 16–17 | 0.0038 | 0.0037 | 32–34 | 0.0047 | 0.0034 |
| 17–19 | 0.0103 | 0.0103 | - | - | - |

References
- Liang, H.; Zhuang, W. Stochastic modeling and optimization in a microgrid: A survey. Energies 2014, 7, 2027–2050. [Google Scholar] [CrossRef]
- Cheng, S.; Hu, W.; Zhang, X.; Chen, Z. Optimal reactive power and voltage control in distribution networks with distributed generators by fuzzy adaptive hybrid particle swarm optimization method. IET Gen. Trans. Dist. 2015, 9, 1096–1103. [Google Scholar] [CrossRef]
- Gözel, T.; Hocaoglu, M.H. An analytical method for the sizing and siting of distributed generators in radial systems. Electr. Power Syst. Res. 2009, 79, 912–918. [Google Scholar] [CrossRef]
- Hung, D.; Mithulananthan, N.; Basal, R.C. Analytical expressions for DG allocation in primary distribution networks. IEEE Trans. Energy Convers. 2010, 25, 814–820. [Google Scholar] [CrossRef]
- Kang, H.K.; Chung, I.Y.; Moon, S.I. Voltage control method using distributed generators based on a multi-agent system. Energies 2015, 8, 14009–14025. [Google Scholar] [CrossRef]
- Marwali, M.N.; Jung, J.W.; Keyhani, A. Stability analysis of load sharing control for distributed generation systems. IEEE Trans. Energy Convers. 2007, 22, 737–745. [Google Scholar] [CrossRef]
- Piccolo, A.; Siano, P. Evaluating the impact of network investment deferral on distributed generation expansion. IEEE Trans. Power Syst. 2009, 24, 1559–1567. [Google Scholar] [CrossRef]
- Cataliotti, A.; Cosentino, V.; Di Cara, D.; Russotto, P.; Telaretti, E.; Tine, G. An innovative measurement approach for load flow analysis in MW smart grids. IEEE Trans. Smart Grids. 2016, 7, 889–896. [Google Scholar] [CrossRef]
- Bayindir, R.; Colak, I.; Fulli, G.; Demitras, K. Smart grid technologies and applications. Renew. Sustain. Energy Rev. 2016, 66, 499–516. [Google Scholar] [CrossRef]
- Xavier, G.A.; Oliveira Filho, D.; Martins, J.H.; de Barros Monteiro, P.M.; Alves Cardozo Diniz, A.S. Simulation of distributed generation with photovoltaic microgrids—Case study in Brazil. Energies 2015, 8, 4003–4023. [Google Scholar] [CrossRef]
- Jiang, Y.; Liu, C.; Xu, Y. Smart distribution systems. Energies 2016, 9, 297. [Google Scholar] [CrossRef]
- Bai, H.; Miao, S.; Zhang, P.; Bai, Z. Reliability evaluation of a distribution network with microgrid based on a combined power generation system. Energies 2015, 8, 1216–1241. [Google Scholar] [CrossRef]
- Colmenar-Santos, A.; Reino-Rio, C.; Borge-Diez, D.; Collado-Fernández, E. Distributed generation: A review of factors that can contribute most to achieve a scenario of DG units embedded in the new distribution networks. Renew. Sustain. Energy Rev. 2016, 59, 1130–1148. [Google Scholar] [CrossRef]
- Colak, I.; Sagiroglu, S.; Fulli, G.; Yesilbudak, M.; Covring, C.F. A survey on the critical issues in smart grid technologies. Renew. Sustain. Energy Rev. 2016, 54, 396–405. [Google Scholar] [CrossRef]
- Di Fazio, A.R.; Russo, M.; Valeri, S.; De Santis, M. Sensitivity-based model for low voltage distribution systems with distributed energy resources. Energies 2016, 9, 801. [Google Scholar] [CrossRef]
- Armendariz, M.; Babazadeh, D.; Brodén, D.; Nordstrom, L. Strategies to improve the voltage quality in active low-voltage distribution networks using DSO’s assets. IET Gen. Trans. Dist. 2017, 11, 73–81. [Google Scholar] [CrossRef]
- Zad, B.B.; Lobry, J.; Vallée, F. A centralized approach for voltage control of MV distribution systems using DGs power control and a direct sensitivity analysis method. In Proceedings of the IEEE International Energy Conference, Leuven, Belgium, 4–8 April 2016; pp. 1–6. [Google Scholar]
- Kumar, A.; Gao, W. Optimal distributed generation location using integer non-linear programming in hybrid electricity markets. IET Gen. Trans. Dist. 2015, 9, 1096–1103. [Google Scholar] [CrossRef]
- Rider, M.; López-Lezama, J.M.; Contreras, J.; Padilha, A. Bilevel approach for optimal location and contract pricing of distributed generation in radial distribution systems using mixed-integer linear programming. IET Gen. Trans. Dist. 2013, 7, 724–734. [Google Scholar] [CrossRef]
- Soroudi, A.; Afraiab, M. Binary PSO-based dynamic multi-objective model for distributed generation planning under uncertainty. IET Renew. Power Gen. 2012, 4, 124–132. [Google Scholar] [CrossRef]
- López-Lezama, J.M.; Contreras, J.M.; Padilha, A. Location and contract pricing of distributed generation using a genetic algorithm. Int. J. Elect. Power Energy Syst. 2012, 36, 117–126. [Google Scholar]
- Abu-Mouti, F.S.; El-Hawary, M.E. Optimal distributed generation allocation and sizing in distribution systems via Artificial Bee Colony Algorithm. IEEE Trans. Power Deliv. 2011, 26, 2090–2101. [Google Scholar] [CrossRef]
- Babu, M.A.; Mahalakshmi, R.; Kannan, S.; Karuppasamypandiyan, M.; Bhuvanesh, A. Application of self adaptive differential evolution algorithm for optimal placement and sizing of renewable DG sources in distribution network including different load models. Int. J. Adv. Eng. Technol. 2016, VII, 668–675. [Google Scholar]
- Morad, M.H.; Abedini, M. A combination of genetic algorithm and particle swarm optimization for optimal DG location and sizing in distribution systems. Int. J. Elect. Power Energy Syst. 2012, 34, 66–74. [Google Scholar] [CrossRef]
- Kefayat, M.; Ara, A.L.; Niaki, S.N. A hybrid of ant colony optimization and artificial bee colony algorithm for probabilistic optimal placement and sizing of distributed energy resources. Energy Convers. Manag. 2015, 92, 149–161. [Google Scholar] [CrossRef]
- Prakash, P.; Khatod, D.K. Optimal sizing and siting techniques for distributed generation in distribution systems: A review. Renew. Sustain. Energy Rev. 2016, 57, 111–130. [Google Scholar] [CrossRef]
- Abdmouleh, Z.; Gastli, A.; Ben-Brahim, L.; Haouari, M.; Al-Emadi, N.A. Review of optimization techniques applied for the integration of distributed generation from renewable energy sources. Renew. Energy 2017, 113, 266–280. [Google Scholar] [CrossRef]
- Martí, R.; Laguna, M.; Glover, F. Principles of scatter search. Eur. J. Oper. Res. 2006, 169, 359–372. [Google Scholar] [CrossRef]
- Mori, H.; Shimomugi, K. Transmission network expansion planning with scatter search. In Proceedings of the IEEE International Conference in Systems, Man and Cybernetics, Montreal, QC, Canada, 7–10 October 2007. [Google Scholar]
- Mizutani, A.; Yukawa, T.; Numa, K.; Kuze, Y.; Iizaka, T.; Yamagishi, T.; Matsui, T.; Fukuyama, Y. Improvement of input-output correlations of electric power load forecasting by scatter search. In Proceedings of the 13th International Conference on Intelligent Systems Application to Power Systems, Arlington, VA, USA, 6–10 November 2005. [Google Scholar]
- Costa e Silva, M.D.A.; Klein, C.E.; Mariani, V.C.; dos Santos Coelho, L. Multiobjective scatter search approach with new combination scheme applied to solve environmental/economic dispatch problem. Energy 2013, 53, 14–21. [Google Scholar] [CrossRef]
- Ugray, Z.; Lasdon, L.; Plummer, J.; Glover, F.; Kelly, J.; Martí, R. Scatter search and local NLP solvers: A multistart framework for global optimization. INFORMS J. Comput. 2007, 19, 328–340. [Google Scholar] [CrossRef]
- Gortázar, F.; Duarte, A.; Laguna, M.; Martí, R. Black box scatter search for general classes of binary optimization problems. Comput. Oper. Res. 2010, 37, 1977–1986. [Google Scholar] [CrossRef]
- Laguna, M.; Marti, R. The OptQuest callable library. In Optimization Software Class Libraries; Voß, S., Woodruff, D.L., Eds.; Springer: New York, NY, USA, 2003; pp. 193–218. [Google Scholar]
- Glover, F. A template for scatter search and path relinking. In Lecture Notes in Computer Science; Hao, J.K., Lutton, E., Ronald, E., Schoenauer, M., Snyers, D., Eds.; Springer: Berlin/Heidelberg, Germany, 1997; pp. 1–51. [Google Scholar]
- Laguna, M.; Marti, R. Scatter Search: Methodology and Implementations in C; Springer: New York, NY, USA, 2003. [Google Scholar]
- Zimmerman, R.D.; Murillo-Sanchez, C.E.; Thomas, R.J. MATPOWER: Steady-state operations, planning and analysis tools for power systems research and education. IEEE Trans. Power Syst. 2011, 26, 12–19. [Google Scholar] [CrossRef]
- Krasnogor, N.; Smith, J. A tutorial for competent memetic algorithms: Model, taxonomy, and design issues. IEEE Trans. Evol. Comput. 2005, 9, 474–488. [Google Scholar] [CrossRef]
- Buitrago, L.F. Ubicación, Dimensionamiento y Precio de Contrato Óptimo de Generación Distribuida en Sistemas de Distribución. Master’s Thesis, Universidad de Antioquia, Medellín, Colombia, 2014. (In Spanish). [Google Scholar]
- Beasley, J.E.; Chu, P.C. A genetic algorithm for the set covering problem. Eur. J. Oper. Res. 1996, 94, 392–404. [Google Scholar] [CrossRef]






| SS Variant | DG Owner Profit | Average Running Time (s) | Best Profit | ||
|---|---|---|---|---|---|
| Solution 1 | Solution 2 | Solution 3 | |||
| SS-Sist | 165,036 | 165,036 | 165,036 | 422 | 165,036 |
| SS-Rand | 165,952 | 166,303 | 166,731 | 407 | 166,731 |
| SS-SistRand | 165,339 | 165,484 | 165,119 | 607 | 165,484 |
| SS Variant | DG Unit (Bus, Price($/MWh), Size (MW)) | DG Owner Profit | ||
|---|---|---|---|---|
| 1 | 2 | 3 | ||
| SS-Sist | (24, 77.0, 1.5) | (29, 77.0, 1.5) | (30, 77.0, 1.5) | 165,036 |
| SS-Rand | (27, 77.0, 1.5) | (29, 77.0, 1.5) | (30, 77.0, 1.5) | 166,731 |
| SS-SistRand | (24, 77.0, 1.5) | (27, 77.0, 1.5) | (31, 77.0, 1.5) | 165,484 |
| Method | DG Owner Profit | Average Running Time (s) | Best Profit | ||
|---|---|---|---|---|---|
| Solution 1 | Solution 2 | Solution 3 | |||
| SS-Rand | 165,952 | 166,303 | 166,731 | 407 | 166,731 |
| SS-Sist | 165,036 | 165,036 | 165,036 | 422 | 165,036 |
| MA | 156,128 | 157,601 | 155,423 | 302,400 | 157,601 |
| GA | 25,100 | 21,500 | 35,000 | 1200 | 35,000 |
© 2017 by the authors. Licensee MDPI, Basel, Switzerland. This article is an open access article distributed under the terms and conditions of the Creative Commons Attribution (CC BY) license (http://creativecommons.org/licenses/by/4.0/).
Share and Cite
Pérez Posada, A.F.; Villegas, J.G.; López-Lezama, J.M. A Scatter Search Heuristic for the Optimal Location, Sizing and Contract Pricing of Distributed Generation in Electric Distribution Systems. Energies 2017, 10, 1449. https://doi.org/10.3390/en10101449
Pérez Posada AF, Villegas JG, López-Lezama JM. A Scatter Search Heuristic for the Optimal Location, Sizing and Contract Pricing of Distributed Generation in Electric Distribution Systems. Energies. 2017; 10(10):1449. https://doi.org/10.3390/en10101449
Chicago/Turabian StylePérez Posada, Andrés Felipe, Juan G. Villegas, and Jesús M. López-Lezama. 2017. "A Scatter Search Heuristic for the Optimal Location, Sizing and Contract Pricing of Distributed Generation in Electric Distribution Systems" Energies 10, no. 10: 1449. https://doi.org/10.3390/en10101449
APA StylePérez Posada, A. F., Villegas, J. G., & López-Lezama, J. M. (2017). A Scatter Search Heuristic for the Optimal Location, Sizing and Contract Pricing of Distributed Generation in Electric Distribution Systems. Energies, 10(10), 1449. https://doi.org/10.3390/en10101449

