Next Article in Journal
Use of Bayesian Estimates to determine the Volatility Parameter Input in the Black-Scholes and Binomial Option Pricing Models
Previous Article in Journal
Corporate Governance and Corporate Creditworthiness
 
 
Journal of Risk and Financial Management is published by MDPI from Volume 6 Issue 1 (2013). Previous articles were published by another publisher in Open Access under a CC-BY (or CC-BY-NC-ND) licence, and they are hosted by MDPI on mdpi.com as a courtesy and upon agreement with Prof. Dr. Raymond A. K. Cox and Prof. Dr. Alan Wong.
Font Type:
Arial Georgia Verdana
Font Size:
Aa Aa Aa
Line Spacing:
Column Width:
Background:
Article

A Pseudo-Bayesian Model for Stock Returns In Financial Crises

1
Department of Mathematics, Hong Kong Baptist University, Hong Kong
2
Department of Finance & Decision Sciences, Baptist University, Hong Kong
3
Faculty of Business and Economics, Macquarie University, Balaclava Rd, Sydney NSW 2109, Australia
*
Author to whom correspondence should be addressed.
J. Risk Financial Manag. 2011, 4(1), 43-73; https://doi.org/10.3390/jrfm4010043
Published: 31 December 2011

Abstract

:
Recently, there has been a considerable interest in the Bayesian approach for ex-plaining investors’ behaviorial biases by incorporating conservative and representa-tive heuristics when making financial decisions, (see, for example, Barberis, Shleifer and Vishny (1998)). To establish a quantitative link between some important market anomalies and investors’ behaviorial biases, Lam, Liu, and Wong (2010) introduced a pseudo-Bayesian approach for developing properties of stock returns, where weights induced by investors’ conservative and representative heuristics are assigned to observations of the earning shocks and stock prices. In response to the recent global financial crisis, we introduce a new pseudo-Bayesian model to incorporate the impact of a financial crisis. Properties of stock returns during the financial crisis and recovery from the crisis are established. The proposed model can be applied to investigate some important market anomalies including short-term underreaction, long-term overreac-tion, and excess volatility during financial crisis. We also explain in some detail the linkage between these market anomalies and investors’ behavioral biases during financial crisis.

1. INTRODUCTION

In the past two decades, market excess volatility, overreaction, and underreaction have been important market anomalies which pose a major challenge to economists and financial researchers. Advocates of market rationality, such as Fama and French (1996) and Brav and Heaton (2002), postulated that overreaction and underreaction can be well explained under the efficient market paradigm. Promoters of behavioral biases, see, for example, Lam, Liu, and Wong (2010, 2011, henceforth LLW) and the references therein developed several behavioral models to explain the overreaction and underreaction phenomena. In contrast with the efficient market theory (Lam, Wong, and Wong, 2006; Lean, McAleer, and Wong, 2010), these models suggest that sophis-ticated investors may earn superior returns by taking advantage of underreaction and overreaction without assuming extra risk.
Most behavioral models adopt the bounded rationalism approach which violate some assumptions under rational expectations in the classical asset-pricing theory. Basically, there are five ingredients in the classical asset-pricing model, namely, an economic structure for asset price dynamics, rational agents’ beliefs on asset prices, the structure of market information, rational agents’ predictions by updating their views based on available information and rational agents’ investment decisions. Mean-while, the following four assumptions are imposed in the rationality paradigm: 1) the agents’ knowledge of the economic structure for asset price dynamics is correct, Sar-gent (1993); 2) agents can process the immediately and homogenously distributed information; 3) investors update their beliefs using a version of the Bayes’ rule; and 4) investors’ choices are determined by Savage’s notion of subjective expected utility.
In a typical behavioral model, one of the four assumptions mentioned above is violated as investors’ behavioural bias would induce a deviation from the rational paradigm. For example, Barberis, Shleifer, and Vishny (1998, henceforth BSV) sup-posed that while earning announcements follow a random walk, investors adopting conservative and representative heuristics believe that the announcements fall into either a trending regime or a mean-reverting regime, which may be described by a two-state Markov chain. They then deduced that such violation against Assumption 1 leads to both short-term underreaction and long-term overreaction in the mar-ket. Through deviation from Assumption 2, Daniel, Hirshleifer, and Subrahmanyam (1998, henceforth DHS) demonstrated that the market exhibits short-term underre-action and long-term overreaction since some investors having private information are overconfident. Grinblatt and Han (2005) believed that investors refuse to sell in a falling market since they are unwilling to admit their mistakes. This leads to forma-tion of market momentum, Their approach violates Assumption 4 since they adopted the prospect theory, (Kahneman and Tversky, 1979; Tversky and Kahneman, 1992; Broll, Egozcue, Wong, and Zitikis, 2010; Egozcue, Fuentes García, Wong, and Zitikis, 2011), where the maximization of investors’ final wealth may not be the sole criterion for making investment decisions. Gervais and Odean (2001) developed a behavioral model, where insider traders assign excessive weights to their past successful predic-tions of a security’s dividend via a learning bias factor and use an updated probability that is larger than that derived from the Bayes’ rule. This model violates Assumption 3.
Behavioral finance which aims at combining psychological phenomena with finance theories to explain market anomalies, may be traced to the early work of Slovic (1972). Several psychologists have observed that when new information emerges, people are too conservative and slow in changing their prior beliefs. Furthermore, Edwards (1968) established a Bayesian model to underweigh useful statistical evi-dence, but to put more weight on investors’ priors since he observes that conservative investors might pay little attention, or even no attention, to the recent earnings an-nouncements and still hold their prior beliefs based on past earnings in their valuation of shares. Similarly, Grether (1980) documented that individuals who exhibit conser-vatism update their beliefs too slowly in the face of new evidence. Nonetheless, Klein (1990), Mendenhall (1991), and Abarbanell and Bernard (1992) argued that investors tend to underreact to new information.
On the other hand, representative heuristic, the bias in which the individuals expect key population parameters to be “represented” in any recent sequence of data, has been shown in many experimental studies, see, for example, DeBondt and Thaler (1985), Lakonishok, Shleifer, and Vishny (1994), Barberis, Shleifer, and Vishny (1998). Tversky and Kahneman (1971) suggested that local representativeness is a belief in the “law of small numbers,” and investors may find that even small samples are highly representative of the populations. In addition, Kahneman and Tversky (1973) found that a person following this heuristic evaluates the probability of an uncertain event, by the degree to which the essential properties resemble to its parent population and reflects the salient features of the process by which it is generated.
Griffin and Tversky (1992) reconciled conservatism with representativeness by assuming that people update their beliefs based on the “strength,” the salient and extreme aspects of the evidence; and “weight,” the statistical information, such as sample sizes. In this setup, when revising their forecasts, people overemphasize on the strength of the evidence and de-emphasize on its weight. Conservatism would follow when facing evidence with high weight but low strength whereas overreaction occurs in a manner consistent with representativeness when the evidence has high strength but a low weight. Furthermore, Shefrin and Statman (1995) found that investors rely on representative heuristics in forming expectations because they tend to regard good stocks as the stocks of large companies with low book-to-market ratios.
In this paper, we adopt the LLW’s model for weight assignments to develop certain important characteristic of stock returns during financial crisis and its subsequent re-covery. More specifically, an asset pricing model based on a modified random walk model for the earnings announcement of an asset is proposed. The modified random walk model can incorporate the impact of a financial crisis on the earnings of a firm. To provide a quantitative description for investors’ representative and conservative heuristics, we follow the LLW’s pseudo-Bayesian approach and assume that the like-lihood function for earning shocks of the stock in a Bayesian paradigm is weighted by investors’ behavioral biases. The degree of deviation of weight from the standard Bayesian approach, which assigns equal weights to data, could quantitatively reflect investors’ level of behavioral biases. Then the price dynamics of the asset are derived using the pseudo-Bayesian approach which will then be used to develop some char-acteristics of stock returns. The proposed model can be used to study and explain some market anomalies including short-term underreaction, long-term overreaction, and excess volatility during financial crisis.
The rest of the paper is organized as follows. In the next section, we present the asset pricing theory based on the modified random walk model for the earnings an-nouncement of an asset. Section three first discusses the pseudo-Bayesian framework to update information about earning shocks in the asset pricing theory. Then we derive the price dynamics and develop some properties for the stock returns based on the pseudo-Bayesian asset pricing theory. Section four is devoted to discussing how cognitive biases are reflected in the weight assignment schemes in Section three. The final section gives some concluding remarks. The proofs of the results are placed in Appendix.

2. ASSET PRICING MODEL WITH FINANCIAL CRISIS

In BSV, a model for market sentiment was considered, where a representative investor observes the earnings of an asset and updates his/her belief to price the asset. It was assumed that Nt, the earnings announcement of the asset at time t, follows the following random walk:
Nt = Nt−1 + yt,
where yt is an earnings shock at time t.
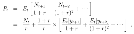
Using a discounting model based on rational expectation, (see, for example, Thomp-son and Wong (1991, 1996) and Wong and Chan (2004)), the asset is priced at time t as Pt which is given by:
Jrfm 04 00043 i001
where r is the discount rate, or the investor’s anticipated return, which is assumed to be a given positive constant.
In (2), Et[·] represents the investor’s conditional expectation given the information set Ωt describing all information available to the investor at time t. Here we assume that yt is Ωt-measurable, (i.e., the value of yt is known exactly given information Ωt up to and including time t). Consequently, by definition,, both Nt and Pt are Ωt-measurable.
Instead of using the random walk model in (1), we consider here a modified random walk model which can incorporate the impact of a financial crisis on the dynamics of the earnings announcement. The modified random walk model is presented in the sequel.
To illustrate the main idea of the proposed model, we first consider a simplified situation that there are two states of an economy, namely, a normal economic condi-tion and an economic condition under a financial crisis. When the economic condition is normal, we assume that the earnings announcement of the asset follows a random walk model. Unfortunately, if the financial crisis occurs at time t0, then the time after t0, the earnings announcement of the asset also follows another random walk model which is discounted by a factor δ0 < 0 such that
Jrfm 04 00043 i002
In other words, the one-step, conditional expected earning of the asset is reduced by the amount of 0|in each period after the crisis has occurred at time t0. The model (3) reflect the situation where the market is dominated by some pessimistic investors who think that the economy will never recover and that the crisis is the end of the world.
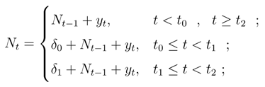
More generally, we consider the situation where the economy has three states, namely, a normal economic condition, an economic condition under a financial crisis and the condition under recovery. Again we suppose that when the economy is in a normal condition, the earnings announcement of the asset follows a random walk model. If the economy is experiencing a financial crisis starting at time t0, the earnings announcement of the asset after time t0 is the modified random walk model where the one-period conditional expected earning is discounted by the amount of 0|with δ0 < 0. During recovery, the earnings announcement of the asset will follow a random walk with drift δ1 > 0 such that
Jrfm 04 00043 i003
for some t0 < t0 + 1 ≤ t1 < t1 + 1 ≤ t2.
The rationale of considering this more complicated model is to incorporate the impact of recovery from a crisis on the earnings announcement of the asset. Specifi-cally, when the economy goes into a crisis at time t0, the stock market starts to crash at that time. At time t1, economy is expected to recover, and thus the stock market starts to rise. Whereas, at time t2, the economy becomes stable and the stock market follows the random walk without drift again.
From now on, we impose the following standard assumptions which are modification of those in Lam, Liu, and Wong (2010, 2011) so as to adapt them to the pseudo-Bayesian framework to be presented in the next section.
Assumption 1: The earnings announcement process {Nt} can follow a random walk model (1), the random walk model with drift δ0 in (3), or the random walk model with drifts δ0 and δ1 in (4). Furthermore, the earnings shocks {yt} is a sequence of independent and identically distributed (i.i.d.) random variables with a common distribution being a Gaussian distribution with constant mean µ and variance σ y 2
Assumption 2: The representative agent knows the nature of the random walk model, except that the mean µ is unknown. The agent estimates µ using obser-vations about the earning shocks {yt}. To simplify our discussion, we assume that the agent knows σ y 2
Assumption 3: The agent uses a “biased” statistical method to update his or her belief in such a way that the agent’s behavioral biases are reflected.

3. A PSEUDO-BAYESIAN APPROACH AND PROP-ERTIES OF STOCK RETURNS

Before we present the pseudo-Bayesian approach adopted by a behaviorally biased agent, we financialdescribe the standard (or rational) Bayesian approach to update in-formation on the mean level of the earnings shock. To simplify our discussion, we consider a vague, or improper, prior for the unknown mean µ 1. That is,
P0(µ) 1 ,
see, for example, DeGroot (1970), Matsumura, Tsui and Wong (1990), Wong and Bian (2000) for related discussions.
The likelihood function of µ given the observed earning shocks {yt} is:
Jrfm 04 00043 i004
It is well-known that by applying the Bayes’ formula, the posterior distribution of µ given {y1,y2,· · · , yt} is:
Jrfm 04 00043 i005
In this standard Bayesian approach, an equal weight is placed on each observation in y1,y2,· · · , yt. In consistent with the predictions of traditional efficient markets, this rational expectations asset-pricing theory assumes that investors can have access both to the correct specification of the “true” economic model and to unbiased estimators of the model parameters, (see, for example, Friedman (1979)). Obviously, if the ra-tional investor is endowed with an objectively correct prior and the correct likelihood function, he/she will obtain the rational expectation equilibrium. Consequently, any structural irrationally induced financial anomaly would disappear. Attainment of such structural knowledge on convergence to a rational expectation solution has been studied widely in the literature. For example, Blume and Easley (1982) and Bray and Kreps (1987) observed that investors have to recognize and incorporate how their be-liefs about the unknown essential features of an economy infl the structural model of the economy. However, the extreme knowledge required in these models is implausible. Blume and Easley (1982) showed that if investors do not recognize the effect of learning on prices to obtain equilibrium, that convergence of beliefs is not guaranteed within a general equilibrium learning model.
Nonetheless, as evidence has mounted against the traditional Bayesian model, the-ories of financial anomalies have to be developed by relaxing some of those assump-tions imposed in the standard theories. One approach is to assume that investors are plagued with cognitive biases, (see, for example, Slovic (1972)), and they may incorrectly assign different weights to different observations. To model such behav-ioral biases, we assume that they place weight ω1 on the most recent observation yt, ω2 on the second most recent observation yt−1 , and so on, with the possibility that ωi’s may not equal to 1. Then we consider the following weighted likelihood function associated with the vector of weights ω := (ω12,· · · , ωt):
Jrfm 04 00043 i006
where Lω represents the weighted likelihood function depending on the subjective weighted ω. Then, by the Bayes’ formula, the posterior distribution of µ given {yt} is:
Jrfm 04 00043 i007
Consequently, the posterior mean and posterior variance of the unknown mean µ can be obtained from the posterior distribution of µ. Using these results, we can derive the price and return dynamics of the stock under the behavioral model. We present these dynamics in Proposition 1.
Proposition 1 (Price and return dynamics in the pseudo-Bayesian ap-proach) Under a pseudo-Bayesian approach with a vague prior, the random walk Nt as stated in (1), (3), or (4) and an incorrect likelihood Lω (µ) as stated in (7), for any k ≥ 1 the predictive mean Et[yt+k ] of the future earning shock yt+k given {y1,y2,· · · , yt}, and the posterior variance σ t 2 of µ given {y1,y2,· · · , yt}are, respec-tively, given by:
Jrfm 04 00043 i008
where st = Σ i = 1 t ωi.
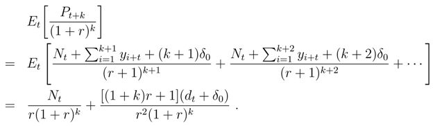
  • If the random walk {Nt} follows (1), then the price at time t using the rational expectation pricing model in (2) becomes:
    Jrfm 04 00043 i009
  • If the random walk {Nt} follows (3), then the price at time t using the rational expectation pricing model in (2) is given by:
    Jrfm 04 00043 i010
    whereat = max([t0 − t], 0).
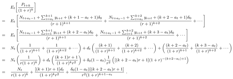
  • If the random walk {Nt} follows (4), then the price at time t using the rational expectation pricing model in (2) is given by:
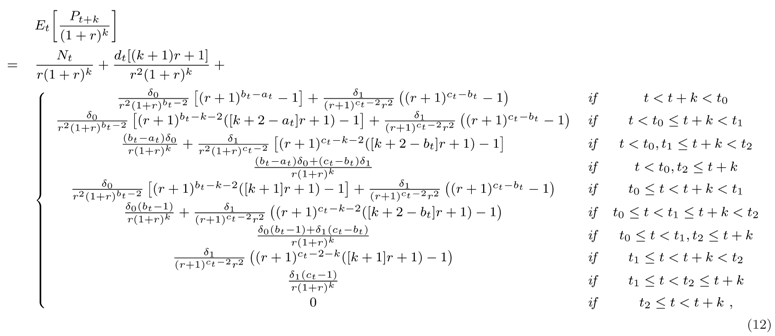
    Jrfm 04 00043 i011
    where at = max{[t0 − t], 0}, bt = max{[t1 − t], 0}, ct = max{[t2 − t], 0}, and dt = ω t y 1 + · · · + ω 1 y t S t .
The proof of Proposition 1 is in the appendix.
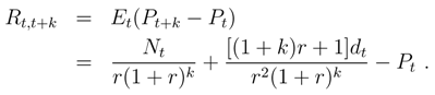
In whatever case, we can have Et[Pt+k] = N t r + r ( 1 + k ) d t r 2 + ck where ck maybe different in different situations as described above. For Pt, we can have Pt = N t r + [ r + 1 ] d t r 2 + c0, where c0 may also be different in different situations. Consequently, the k-period conditional expected absolute return
Jrfm 04 00043 i012
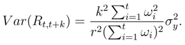
Since the constant doesn’t effect the variance, so the market volatility will be
Jrfm 04 00043 i013
Using Cauchy inequality, we can have ( Σ t = 1 t ω i ) 2 t Σ t = 1 t ω i 2 . On the other hand, since 0 ≤ ωi 1 for ∀i, we can obtain that Σ t = 1 t ω i 2 Σ t = 1 t ω i . So, for the market volatility, we can have
Jrfm 04 00043 i014
As a result, if st = Σ t = 1 t ω i → ∞, we can have V ar(Rt,t+k) ≡ 0. If st = Σ t = 1 t ω i s < ∞, we can have
Jrfm 04 00043 i015
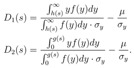
Rt,t+1 = d t r + c1c0, where c1 is some constance and may be different in different situations. Let Z = y t μ σ y , D1(s) = E(Z|Z> s) and D2(s) = E(Z|Z< −s)
Jrfm 04 00043 i016
Similarly, we can have
Jrfm 04 00043 i017
Consequently,
Jrfm 04 00043 i018
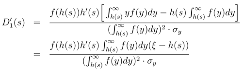
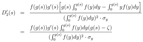
Consequently, we can have Ut(s,j) > 0, ∂Ut(s,j)/∂s> 0. There is no under-reaction or over-reaction!
Brief Proof. Let h(s) = µ + y , g(s) = µ − sσy , we can have
Jrfm 04 00043 i019
Then, we can obtain that
Jrfm 04 00043 i020
where h(s) < ξ < ∞, the last equation follows from mean value theorem of integrals. Then we can have D 1 ' (s) > 0
Using a similar argument, we can have
Jrfm 04 00043 i021
where 0 < ζ < g(s), note that g'(s) = −σy < 0, so we can have D 2 ' (s) < 0. As a result, we can have ∂Ut(s,j)/∂s> 0. This completes the proof of Proposition 5.
On the other hand, if we define the 1-period return Rt,t+1 = Pt+1 − Pt, from the above discussion, we can know that we can obtain the same conclusion as Lam, Liu and Wong(2009)(’A Pseudo-Bayesian Model in Financial Decision Making with Implications to Market Volatility, Under- and Overreaction’). This can be explained in the following way. Nor matter which model Nt, the earnings announcement of the asset at time t follows, only the mean term will change. That’s there is some shift if Nt follows some change-point model as model (2) or (3) instead of model 1. But as for the variance term, no change will occur.
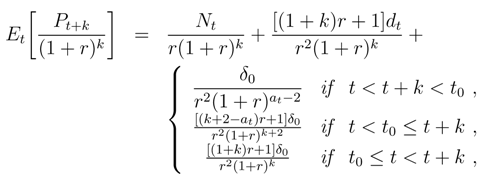
From Proposition 1, we observe that the conditional expected present value of the asset at time t + k given information Ωt up to and including the current time t depends on the current and the future earning shocks. For example, in the simplest random walk model, the current earning announcement only depend on (1) the current earnings announcement and (2) the current as well as the expected future earning shocks. However, it is generally believed that the price of the asset also depends on the economic situation. In the view of economic cycles, the economy will experience an expansion period after suffering from a period of financial recession. Furthermore, in a long run, the economy will go back to the normal status. The present value of the asset is, therefore, proportional to the predictive mean of the future earning shocks, the current earnings announcement, the duration of economic recovery and the recovery rate of the economy. It is also inversely proportional to the risk-free interest rate, the duration of economic downturn and the deteriorating rate under economic crisis.
To fully describe this situation, we may consider the random walk {Nt} follows (4). Under this circumstance, when the current economy is in the state of just before the economic downturn or under the recession period, the price of asset not only depends on the current earnings announcement, the predictive mean of the future earning shocks and the risk-free interest rate, but also depends on how long and serious of the impact of both the economic turmoil and the economic expansion on the price of the asset. If the duration of the economic turmoil is longer or the effect of the economic turmoil is more serious, the price of the asset becomes lower. This is reflected in the coefficients of δ0 and δ1, respectively. Similarly, the coefficient of δ1 is determined by the duration of the economic expansion while the value of δ1 depends on the level of the economic expansion. In particular, when we are at the economic expansion period, (i.e., t1 ≤ t < t2), the effect of the term δ0 becomes vanish, and only the term of δ1 reflect the effect of the economy shift. Furthermore, if the bad days and the good days of the economy are all gone, (i.e., t2 ≤ t), the estimation on the price of the asset is the same as that obtained from the random walk, {Nt}, from (1).
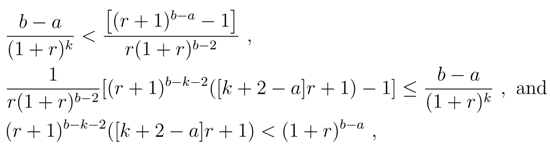
To be more precise, under a different future economic condition, the effect of the current earnings announcement and the expected future earning shocks, Et(yt+j), j = 1, 2, ···, on the asset price are the same in all scenarios. It is because these factors represent the cash flows of the asset in the absence of the impact from the status of the economy. The impact of the economic condition on the asset price is described by both δ0 and δ1 as well as their coefficients. To begin with, we may consider four different cases under the same condition that the current economy is in the state of just before the economic downturn. Also, we have the following inequalities:
Jrfm 04 00043 i022
for k > b > a.
In the first case, when the economic environment at time t + k is in the state of just before the economic downturn, the expected present value of the asset at time t + k depends on the coefficient of δ0 and δ1, (i.e., the duration of both economic recession and economic expansion, and the level of the impact under both economic conditions on the asset. Therefore, the deviation of the asset price from its price under the stable economic condition depends on the actual effect from the change of the economic condition.
In the second case, if the economic environment at time t+k is now in the economic recession, the coefficient of δ0 is lower than that in the first case. It implies that if the current economy is just before the economic recession, the expected present value of the asset at time t + k is lower in the first case, If the economy at time t + k is just before the recession and it is higher than that in the second case, the economy at time t + k is in downturn period. It is because if the economy at time t + k is in the recession period, only part of the asset loss is realized before the time t + k. However, if the economy at time t + k is just before the recession, the total negative impact of the economic recession is counted on the cash flow of the asset at time t + k.
In the third case, if the economic environment at time t + k is just after the economic recession and is now in the state of the economic expansion, the present value of the asset may be higher or lower than that of the first two cases. We observe that the coefficient of δ1 is lower than those in the first two cases while the coefficient of δ0 is higher than that in the second case. This implies that the asset value at the economic expansion period is even lower than that in the economic recession period. The main reason is that even though we experience the economic expansion at time t + k, the additional amount of asset return is required to discount back to the current time by going through the whole economic recession period, and this devaluation of the asset price is significant in this recession period, which is in between time t an time t + k.
In the fourth case, when the economic environment at time t + k is just after the economic expansion period, the coefficients of both δ0 and δ1 are smaller than those in the first case. However, the coefficient of δ0 and the coefficient of δ1 is higher and lower than those in the second case, respectively. This implies that the present value in the fourth case is lower than that in the second case. Comparing with the third case, the coefficient of δ1 in the fourth case is larger. Therefore, the present value of the asset is highest when the economy at time t + k is in the recession period, medium when the economy at time t + k is after the expansion period and lowest when the economy at time t + k is in the expansion period.
We now consider three different cases, (i.e., fifth to seventh), under the same condition that the current economy is in the state of economic downturn. In the fifth case, when the economic environment at time t + k is in the state of economic downturn, we may compare the expected present value of the asset at time t + k in this case to that in the first case, (i.e., the present asset value when the current economy is in the state of the economy just before the downturn while the economic environment at time t + k is still in the state of economic downturn. We observe that the present asset value at time t + k in this case is higher than that in the case where the current economy is in the state of the economy just before the downturn. It may be attributed to the fact that part of the negative effect from the economic downturn has already been digested when the current economy is in the state of economic downturn. The impact of economic downturn on the current scenario is relatively small. In the sixth case, when the economic environment at time t + k is in the state of economic expansion, the coefficients of both δ0 and δ1 are smaller than those in the fifth case. In the seventh case, when the economic environment at time t + k is in the state of just after the economic expansion, the coefficient of δ1 is larger than that in the sixth case. Consequently, the present asset value in the economy at time t + k after the expansion period is higher than that in the expansion period. It is because if the the economy at time t + k is after the expansion period, then the expansion period is closer to the time t and when the present value is under consideration, the asset price will be higher. On the other hand, when the economy at time t + k is in the expansion period, the time interval between the current time and the economic expansion period becomes larger and it makes the present value smaller.
We can also consider another two different cases, (i.e., eighth to ninth), under the same condition that the current economy is in the state of economic expansion. In this situation, the economy at time t + k is either in the expansion period or after the expansion period. Similarly to the previously obtained results, the present asset value is higher if the economy at time t + k is after the expansion period.
Finally, if the current economy is just after the economy expansion, then there is no impact from the structural changes in economic conditions.
On the other hand, some of the pessimistic investors may believe that the economic downturn will unavoidably occur. In their opinion, the price of the asset is eventually reduced by a future economic turmoil. Once an economic downturn occurs, the effect of the economic turmoil will sustain forever. In this situation, when the investor believes that the economy at time t + k is just before the economic downturn, the present value of the asset at time t + k is the highest. However, when the investor believes that the economy at time t is just before the economic downturn while the economy at time t + k is in the economic downturn, the present value of the asset at time t + k will be reduced. Finally, when the investor believes that the economy at time t is in the economic downturn period, the present value of the asset at time t + k is smallest. The main reason is that in the last scenario, the pessimistic investor believes that the economic downturn occurs from the present time and will last forever.

4. HOW COGNITIVE BIASES ARE REFLECTED IN THE WEIGHT ASSIGNMENT SCHEMES?

In the model developed in the last section, we incorporate general weights on observa-tions into a simple asset-pricing setup. This allows us to examine the price formation process under a rational expectation approach with biased weights. This approach enables practitioners and academic researchers to compare ways in which investors, with or without cognitive biases, incorporate their prior beliefs into the historical data to estimate the valuation-relevant parameters that can lead to anomalous asset-price behavior. We note that the idea of using different weights on evidence is not new in the finance literature. For example, Brav and Heaton (2002) considered weights given by:
ω 1 = · · · = ω t 1 = 1  and  ω t 2 = · · · = ω t = 0
where t is an even number.
Under this weighting scheme, investors simply ignore the distant half of the avail-able data. Also, it is common in the psychological literature to assume that investors calculate the posterior mean, which is a weighted average rather than a simple aver-age as suggested by a correct Bayesian approach. In this paper, we follow LLW to use a more general assumption that investors may use weights, ω1, ω2, ··· , satisfying 0 ≤ ωi 1 for all i. By allowing more flexibility in the choice of weights, investors’ various behavioral biases can be represented quantitatively. Specifically, in (A), (B), and (C) below, we spell out three weight assignment schemes to characterize the conservative and/or representative heuristics.
(A)
Investors using a conservative heuristic assign weights as: 0 ≤ ω1 < ω2 < ··· < ω n0 = ωn0+1 = ··· = 1 for some integers n0 1,
(B)
investors using a representative heuristic assign weights as: 1 = ω1 = ω2 = ··· = ωm0 > ωm0+1 > ωm0+2 > ··· ≥ 0 where m0 is a positive integer, and
(C)
investors using both conservative and representative heuristics assign weights as: 0 ≤ ω1 < ω2 < ··· < ωn0 = ωn0+1 = ··· = ωm0 = 1 > ωm0+1 > ··· ≥ 0 for 1 ≤ n0 ≤ m0.
Note that the weight assignment scheme of ω1 < ω2 < ··· < ωn0 = 1 is consistent with the psychological literature on conservative heuristics as reviewed in the introduction. Basically, people are overconservative in that they underweigh recent information and overweigh prior information. The parameter n0 reflect the conservative heuristic that most recent n0 observations are underweighted. If Edwards (1968) is right in that it takes two to five observations to do one observation’s worth of work in inducing a subject to change his/her opinions, ω1, ω2, ··· , ωn0 can be substantially less than 1 for n0 5 . The smaller are the weights, the more conservative are the investors. Thus, the magnitudes of the weights ω1, ω2, ··· , ωn0 can be used to measure the degree of conservatism. The evidence suggests that underreaction reflects the uncertainty regarding possible structural change in the data and a lack of knowledge that a change occurred. This will result in a failure to fully incorporate the price implications of this change into the estimation of the valuation-relevant parameters.
The weight assignment in Scheme B is consistent with the psychological literature on the representative heuristic, as reviewed in the introduction. The representative heuristic in behavioral finance is often described as the tendency of experimental sub-jects to overweigh recent clusters of observations and underweigh older observations that would otherwise moderate beliefs. Heavy weights on recent data could be a re-action to concern with structural changes. Whenever such changes occur, the weights placed on recent data will be very high, or similarly, the weights placed on the older data will be very low, which will result in a pattern of overreaction caused by the representative heuristic. The representative heuristic is characterized by a parameter m0 showing that the investor underweight the observations beyond the most recent m0 data points. Here, the parameter m0 arises from the “law of small numbers,” (see Tversky and Kahneman 1971), in the mind of the investor. Because of their represen-tative heuristic, investors have the tendency to treat a small sample size, like m0, as if it were large enough to represent the whole population. Consequently, they assign weights much smaller than 1 for observations beyond the most recent m0 observations. Put it differently, the weights ωm0+1, ωm0+2,··· are assigned to be much smaller than 1. Furthermore, we assume here that Σ i = m 0 + 1 ω i is infinite, (i.e., Σ i = m 0 + 1 ω i = ), because if the sum equals to infinity, the law of large numbers is still at work. For a genuine belief in the law of small numbers, the sum should be finite, meaning that the small sample of the most recent observations can play an overwhelming role in the inference process.
Our model formulation asserts that investors are influenced by the conservative and representativeness heuristics simultaneously. This is different from the regime switching formulation in BSV in which investors are under the influence of one heuristic and then suddenly shift to another regime of being influenced by another heuristic. In other words, conservatism and representativeness are not mutually exclusive and investors can be simultaneously influenced by both heuristics at any point in time. When the investor is under the influence of both heuristics, the model has two parameters n0 and m0 as described above. Here, conservatism is reflected by the existence of n0 > 0 and the smallness of the sum ω1 + ω2 + ··· + ωn01, and representativeness is reflected by the existence of m0 < ∞ and the smallness of the sum ωm0+1 +ωm0+2 +···. Notice that a type (C) investors degenerate into a type (A) investors when m0 = and degenerate into a type (B) investors when n0 = 0. Also when m0 = and n0 = 0, all weights are equal to 1 and the investor has no behavioral bias. In this sense, the third type of investors embraces all of the other types. Therefore, it suffices to consider investors of the third type.
In general, the k-period conditional expected absolute return, Rt,t+k is given by the conditional expectation of Pt+k − Pt given the current observable information Ωt, where Pt is Ωt-measurable. Then we have the following corollary for the value of Rt,t+k at time t.
Corollary 1 (Expected Returns in the pseudo-Bayesian approach) Under the pseudo-Bayesian approach with a vague prior and an incorrect likelihood L(µ) as stated in (7),
  • if the random walk {Nt} follows (1), then the expected k-period return, Rt,t+k, from time t to time t + k under the rational expectation pricing model in (2) is given by:
    Jrfm 04 00043 i023
  • if the random walk {Nt} follows (3), then the expected k-period return, Rt,t+k, from time t to time t + k under the rational expectation pricing model in (2) is given by:
    Jrfm 04 00043 i024
    where Et(Pt+k) is defined in (11).
  • if the random walk {Nt} follows (4), then the expected k-period return, Rt,t+k, from time t to time t + k under the rational expectation pricing model in (2) is given by:
    Jrfm 04 00043 i025
    where Et(Pt+k) is defined in (12).

5. CONCLUDING REMARKS

Barberis, Shleifer and Vishny (1998) and others have developed Bayesian models to explain investors’ behavioral biases using conservative heuristics and representative heuristics in making decisions under uncertainty. To extend their work, Lam, Liu, and Wong (2010) posited that some investors possess conservative and/or representative heuristics that lead them to underweigh recent observations and/or underweigh past observations of the earnings shocks of corporations. They introduced a quantitative pseudo-Bayesian approach to model such investors’ behavior. Compared with other behavioral models where investors possess either conservative heuristics at one time or representative heuristics at another time but not both at the same time, this spec-ification captures the essential feature of either conservative or representative biases in a parsimonious model that allows investors to possess conservative or representa-tive heuristics at the same time. Our current paper extended their work further by developing properties for stock returns by incorporating the impacts of a financial crisis and recovery from the crisis, which could then be used to study some market anomalies including short-term underreaction, long-term overreaction, and the excess volatility during the crisis.
Understanding investors’ behavior will be useful in making decisions about investments. The information on companies, (Thompson and Wong, 1991, 1996), the economic and financial environment (Broll, Wahl and Wong, 2006; Fong, Lean, and Wong, 2008), technical analysis (Wong, Chew, and Sikorski, 2001; Wong, Manzur, and Chew, 2003; Kung and Wong, 2009) could be used to make better investment decisions. Academic researchers and practitioners could incorporate the theory developed in this paper with the mean-variance rule (Wong, 2007; Wong and Ma, 2008; Bai, Wang, and Wong, 2011), CAPM statistics (Leung and Wong, 2008), VaR rule (Ma and Wong, 2010), portfolio optimization (Bai, Liu, and Wong, 2009, 2011; Egozcue and Wong, 2010), or other advanced econometric techniques (Wong and Miller, 1990; Li and Lam, 1995; So, Li and Lam, 1997; So, Lam and Li, 1998; Tiku, Wong, Vaughan, and Bian, 2000; Wong and Bian, 2005; Bai, Wong, and Zhang, 2010; Bai, Li, Liu, and Wong, 2011) to make better investment decisions. Another extension to improve investment decision-making is to study behaviors of different types of investors (Wong and Li, 1999; Li and Wong, 1999; Wong and Chan, 2008) or to incorporate stochastic dominance criteria (Gasbarro, Wong and Zumwalt, 2007; Post, 2003; Wong, Phoon, and Lean, 2008) to study investors’ conservative and representative heuristics. For example, Fong, Wong, and Lean (2005), Wong, Thompson, Wei, and Chow (2006), and Sriboonchitta, Wong, Dhompongsa, and Nguyen, (2009) find that it is winners dominate losers in the sense of the second order ascending stochastic dominance while losers dominate winners in the sense of the second order descending stochastic domi-nance, inferring that risk averters will prefer to invest in winners whereas risk seekers will prefer to invest in losers. This finding could explain why the momentum profit could still exist after discovery.
In addition, we note that Lam, Liu, and Wong (2008) have developed three new test statistics, including two ordered tests and a rank correlation test, and apply them to examining the under- and overreaction hypothesis in global markets consisting of 25 national market indices. They find evidence to support the existence of the magnitude effect in the under- and overreaction hypothesis. Their findings could also support the first part of the underreaction and overreaction hypothesis in DeBondt and Thaler (1985), Jegadeesh and Titman (1993), and others that there exist momentum profits in short periods and contrarian profits in long periods.

References

  1. J.S. Abarbanell, and V. Bernard. “Analysts' overreaction/underreaction to earnings information as an explanation for anomalous stock price behavior.” Journal of Finance 47 (1992): 1181–1207. [Google Scholar]
  2. Z.D. Bai, H. Li, H.X. Liu, and W.K. Wong. “Test Statistics for Prospect and Markowitz Stochastic Dominances with Applications.” Econometrics Journal 47, 2 (2011): 1181–1207. [Google Scholar]
  3. Z.D. Bai, H.X. Liu, and W.K. Wong. “Enhancement of the Applicability of Markowitz's Portfolio Optimization by Utilizing Random Matrix Theory.” Mathematical Finance 19, 4 (2009): 639–667. [Google Scholar]
  4. Z.D. Bai, H.X. Liu, and W.K. Wong. “Asymptotic Properties of Eigenmatrices of A Large Sample Covariance Matrix.” Annals of Applied Probability 21, 5 (2011): 1994–2015. [Google Scholar]
  5. Z.D. Bai, K.Y. Wang, and W.K. Wong. “Mean-Variance Ratio Test, A Complement to Coefficient of Variation Test and Sharpe Ratio Test.” Statistics and Probability Letters 81, 8 (2011): 1078–1085. [Google Scholar]
  6. Z.D. Bai, W.K. Wong, and B. Zhang. “Multivariate Linear and Non-Linear Causality Tests.” Mathematics and Computers in Simulation 81 (2010): 5–17. [Google Scholar]
  7. N. Barberis, A. Shleifer, and R. Vishny. “A model of investor sentiment.” Journal of Financial Economics 49 (1998): 307–343. [Google Scholar]
  8. L.E. Blume, and D. Easley. “Learning to be rational.” Journal of Economic Theory 26 (1982): 340–351. [Google Scholar]
  9. A. Brav, and J.B. Heaton. “Competing theories of financial anomalies.” Review of Financial Studies 15 (2002): 575–606. [Google Scholar]
  10. M.M. Bray, and D.M. Kreps. “Rational learning and rational expectations.” In Arrow and the ascent of modern economic theory. Edited by G.R. Feiwel. New York: New York University Press, 1987. [Google Scholar]
  11. U. Broll, M. Egozcue, W.K. Wong, and R. Zitikis. “Prospect theory, indifference curves, and hedging risks.” Applied Mathematics Research Express 2 (2010): 142–153. [Google Scholar]
  12. U. Broll, J.E. Wahl, and W.K. Wong. “Elasticity of risk aversion and international trade.” Economics Letters 91, 1 (2006): 126–130. [Google Scholar]
  13. K. Daniel, D. Hirshleifer, and A. Subrahmanyam. “Investor Psychology and Security Market Under-and Overreactions.” Journal of Finance 53, 6 (1998): 1839–1885. [Google Scholar]
  14. W.F.M. DeBondt, and R.H. Thaler. “Does the stock market overreact? ” Journal of Finance 40 (1985): 793–808. [Google Scholar]
  15. H.M. DeGroot. “Optimal statistical decisions.” New York: McGraw-Hill, 1970. [Google Scholar]
  16. W. Edwards. “Conservatism in human information processing.” In formal representation of human judgment. Edited by B. Kleinmutz. New York: Wiley, 1968. [Google Scholar]
  17. M. Egozcue, L. Fuentes García, W.K. Wong, and R. Zitikis. “Do Investors Like to Diversify? A Study of Markowitz Preferences.” European Journal of Operational Research 215, 1 (2011): 188–193. [Google Scholar]
  18. M. Egozcue, and W.K. Wong. “Gains from diversi¯cation on convex combinations: A majorization and stochastic dominance approach.” European Journal of Operational Research 200 (2010): 893–900. [Google Scholar]
  19. E.F. Fama, and K.R. French. “Multifactor Explanations of Asset Pricing Anomalies.” Journal of Finance 51, 1 (1996): 55–84. [Google Scholar]
  20. W.M. Fong, H.H. Lean, and W.K. Wong. “Stochastic Dominance and Behavior towards Risk: The Market for Internet Stocks.” Journal of Economic Behavior and Organization 68, 1 (2008): 194–208. [Google Scholar]
  21. W.M. Fong, W.K. Wong, and H.H. Lean. “International momentum strategies: Astochastic dominance approach.” Journal of Financial Markets 8 (2005): 89–109. [Google Scholar]
  22. B.M. Friedman. “Optimal expectations and the extreme information assumptions of rational expectations' macromodels.” Journal of Monetary Economics 5 (1979): 23–41. [Google Scholar]
  23. D. Gasbarro, W.K. Wong, and J.K. Zumwalt. “Stochastic dominance analysis of iShares.” European Journal of Finance 13 (2007): 89–101. [Google Scholar]
  24. S. Gervais, and T. Odean. “Learning to be overconfident.” Review of Financial Studies 14, 1 (2001): 1–27. [Google Scholar]
  25. D.M. Grether. “Bayes rule as a descriptive model: the representativeness heuristic.” Quarterly Journal of Economics 95 (1992): 537–557. [Google Scholar]
  26. D. Griffin, and A. Tversky. “The weighing of evidence and the determinants of confidence.” Cognitive Psychology 24 (1992): 411–435. [Google Scholar]
  27. M. Grinblatt, and B. Han. “Prospect theory, mental accounting, and momentum.” Journal of Financial Economics 78, 2 (2005): 311–339. [Google Scholar]
  28. N. Jegadeesh, and S. Titman. “Returns to buying winners and selling losers: implications for stock market efficiency.” Journal of Finance 48 (1993): 61–53. [Google Scholar]
  29. D. Kahneman, and A. Tversky. “On the psychology of prediction.” Psychological Review 80 (1973): 237–251. [Google Scholar]
  30. D. Kahneman, and A. Tversky. “Prospect Theory: An Analysis of Decision under Risk.” Econometrica 47, 2 (1979): 263–292. [Google Scholar]
  31. A. Klein. “A direct test of the cognitive bias theory of share price reversals.” Journal of Accounting and Economics 13 (1990): 155–166. [Google Scholar]
  32. J.J. Kung, and W.K. Wong. “Efficiency of Taiwan stock market.” Japanese Economic Review 60, 3 (2009): 389–394. [Google Scholar]
  33. J. Lakonishok, A. Shleifer, and R. Vishny. “Contrarian investment, extrapolation and risk.” Journal of Finance 49 (1994): 1541–1578. [Google Scholar]
  34. K. Lam, T. Liu, and W.K. Wong. “The magnitude effect in the over-and underreaction in international markets.” International Journal of Finance 20, 3 (2008): 4833–4862. [Google Scholar]
  35. K. Lam, T. Liu, and W.K. Wong. “A pseudo-Bayesian model in ¯nancial decision making with implications to market volatility, under-and overreaction.” European Journal of Operational Research 203, 1 (2010): 166–175. [Google Scholar]
  36. K. Lam, T. Liu, and W.K. Wong. “A New Pseudo Bayesian Model with Implications to Financial Anomalies and Investors' Behaviors.” Journal of Behavioral Finance, 2011. (forthcoming). [Google Scholar]
  37. K. Lam, T. Liu, and W.K. Wong. “Variance Ratio Test and General Mean Reversion Model.” Journal of Applied Mathematics and Decision Sciences, 2006, 1–21. [Google Scholar]
  38. H.H. Lean, M. McAleer, and W.K. Wong. “Market E±ciency of Oil Spot and Futures: A Mean-Variance and Stochastic Dominance Approach.” Energy Economics 32 (2010): 979–986. [Google Scholar]
  39. P.L. Leung, and W.K. Wong. “On testing the equality of the multiple Sharpe ratios, with application on the evaluation of iShares.” Journal of Risk 10, 3 (2008): 1–16. [Google Scholar]
  40. C.K. Li, and W.K. Wong. “Extension of stochastic dominance theory to random variables.” RAIRO Recherche Opérationnelle 33, 4 (1999): 509–524. [Google Scholar]
  41. W.K. Li, and K. Lam. “Modelling the asymmetry in stock returns by a threshold ARCH model.” Journal of Royal Statistical Society 44, 3 (1995): 333–341. [Google Scholar]
  42. C. Ma, and W.K. Wong. “Stochastic Dominance and Risk Measure: A Decision-Theoretic Foundation for VaR and C-VaR.” European Journal of Operational Research 207 (2010): 927–935. [Google Scholar]
  43. E.M. Matsumura, K.W. Tsui, and W.K. Wong. “An extended multinomial-Dirichlet model for error bounds for dollar-unit sampling.” Contemporary Accounting Research 6, 2-I (1990): 485–500. [Google Scholar]
  44. R. Mendenhall. “Evidence on the possible underweighting of earnings-related information.” Journal of Accounting Research 29 (1991): 170–179. [Google Scholar]
  45. T. Post. “Empirical tests for stochastic dominance efficiency.” Journal of Finance 58, 5 (2003): 1905–1932. [Google Scholar]
  46. T.J. Sargent. “Bounded rationality in macroeconomics.” New York: Oxford University Press, 1993. [Google Scholar]
  47. H. Shefrin, and M. Statman. “Making Sense of Beta, Size, and Book-to-Market.” Journal of Portfolio Management 21, 2 (1995): 26–34. [Google Scholar]
  48. P. Slovic. “Psychological study of human judgment: Implications for investment decision making.” Journal of Finance 27 (1972): 779–799. [Google Scholar]
  49. M.K.P. So, K. Lam, and W.K. Li. “A Stochastic volatility model with Markov switching.” Journal of Business & Economic Statistics 16, 2 (1998): 244–253. [Google Scholar]
  50. M.K.P. So, W.K. Li, and K. Lam. “Multivariate modelling of the autoregressive random variance process.” Journal of Time Series Analysis 18, 4 (1997): 429–446. [Google Scholar]
  51. S. Sriboonchitta, W.K. Wong, S. Dhompongsa, and H.T. Nguyen. “Stochastic Dominance and Applications to Finance, Risk and Economics, Chapman and Hall/CRC.” Boca Raton, Florida, USA: Taylor and Francis Group, 2009. [Google Scholar]
  52. H.E. Thompson, and W.K. Wong. “On the unavoidability of `unscienti¯c' judgment in estimating the cost of capital.” Managerial and Decision Economics 12 (1991): 27–42. [Google Scholar]
  53. H.E. Thompson, and W.K. Wong. “Revisiting 'dividend yield plus growth' and its applicability.” Engineering Economist 41, 2 (1996): 123–147. [Google Scholar]
  54. M.L. Tiku, W.K. Wong, D.C. Vaughan, and G. Bian. “Time series models in non-normal situations: Symmetric innovations.” Journal of Time Series Analysis 21, 5 (2000): 571–596. [Google Scholar]
  55. A. Tversky, and D. Kahneman. “Belief in the law of small numbers.” Psychological Bulletin 76 (1971): 105–110. [Google Scholar]
  56. A. Tversky, and D. Kahneman. “Advances in prospect theory: Cumulative representation of uncertainty.” Journal of Risk and Uncertainty 5, 4 (1992): 297–323. [Google Scholar]
  57. W.K. Wong. “Stochastic dominance and mean-variance measures of profit and loss for business planning and investment.” European Journal of Operational Research 182 (2007): 829–843. [Google Scholar]
  58. W.K. Wong, and G. Bian. “Robust Bayesian Inference in Asset Pricing Estimation.” Journal of Applied Mathematics & Decision Sciences 4, 1 (2000): 65–82. [Google Scholar]
  59. W.K. Wong, and G. Bian. “Estimating Parameters in Autoregressive Models with asymmetric innovations.” Statistics and Probability Letters 71, 1 (2005): 61–70. [Google Scholar]
  60. W.K. Wong, and R. Chan. “The estimation of the cost of capital and its reliability.” Quantitative Finance 4, 3 (2004): 365–372. [Google Scholar]
  61. W.K. Wong, and R. Chan. “Markowitz and prospect stochastic dominances.” Annals of Finance 4, 1 (2008): 105–129. [Google Scholar]
  62. W.K. Wong, B.K. Chew, and D. Sikorski. “Can P/E ratio and bond yield be used to beat stock markets? ” Multinational Finance Journal 5, 1 (2001): 59–86. [Google Scholar]
  63. W.K. Wong, and C.K. Li. “A note on convex stochastic dominance.” Economics Letters 62 (1999): 293–300. [Google Scholar]
  64. W.K. Wong, and C. Ma. “Preferences over location-scale family.” Economic Theory 37, 1 (2008): 119–146. [Google Scholar]
  65. W.K. Wong, M. Manzur, and B.K. Chew. “How Rewarding is Technical Analysis? Evidence from Singapore Stock Market.” Applied Financial Economics 13, 7 (2003): 543–551. [Google Scholar]
  66. W.K. Wong, and R.B. Miller. “Analysis of ARIMA-Noise Models with Repeated Time Series.” Journal of Business and Economic Statistics 8, 2 (1990): 243–250. [Google Scholar]
  67. W.K. Wong, K.F. Phoon, and H.H. Lean. “Stochastic dominance analysis of Asian hedge funds.” Pacific-Basin Finance Journal 16, 3 (2008): 204–223. [Google Scholar]
  68. W.K. Wong, H.E. Thompson, S. Wei, and Y.F. Chow. “Do Winners perform better than Losers? A Stochastic Dominance Approach.” Advances in Quantitative Analysis of Finance and Accounting 4 (2006): 219–254. [Google Scholar]

Appendix

Proof of Proposition 1:
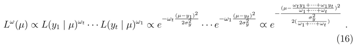
Since the exact likelihood for the observation yi is given by L(yi | µ) e ( μ y i ) 2 2 σ y 2 . The pseudo likelihood in (7) becomes
Jrfm 04 00043 i026
One could easily obtain the posterior mean and posterior variance as stated in (1) by maximizing the likelihood function of µ as stated in (16).
Readers may refer to Lam, Liu, and Wong (2010) for the proof of Pt when the earning announcements Nt follow the random walk model stated in (1).
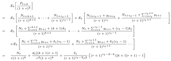
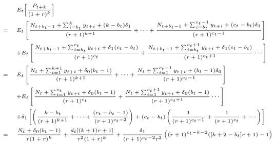
Let at = max{[t0 − t], 0}, bt = max{[t1 − t], 0}, ct = max{[t2 − t], 0} (at ≤ bt ≤ ct), and d = Et[yt+k], we have the following results:
Jrfm 04 00043 i027
for t0 < t0 + 1 ≤ t1 + 1 ≤ t2.
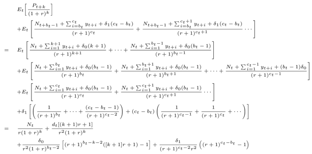
Now we turn to derive the price Pt+k under the rational expectations pricing model in (2) with the earning announcements Nt follow the random walk with drifts model stated in (4).
For t < t + k < t0, we have
Jrfm 04 00043 i028
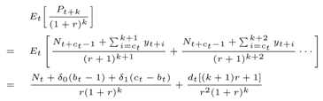
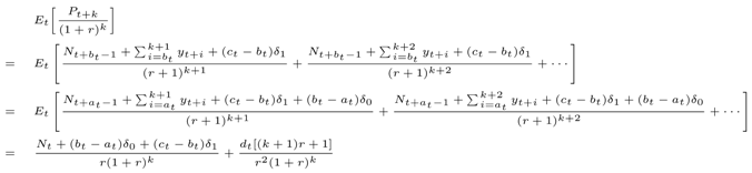
For t < t0 ≤ t + k, from (17) we get
Jrfm 04 00043 i029
For t0 ≤ t < t + k, from (17) we obtain
Jrfm 04 00043 i030
Similarly, one could easily obtain the price Pt when the earning announcements Nt follow the random walk with drift model stated in (3).
For t < t + k < t0, from (17) one could easily get
Jrfm 04 00043 i031
For t < t0 ≤ t + k < t1, from (18) then
Jrfm 04 00043 i032
For t < t0 and t1 ≤ t + k < t2, from (18) we get
Jrfm 04 00043 i033
For t < t0 and t2 ≤ t + k, from (18) then
Jrfm 04 00043 i034
For t0 ≤ t < t + k < t1, from (18) one could easily obtain
Jrfm 04 00043 i035
For t0 ≤ t < t1 ≤ t + k < t2, from (18) then
Jrfm 04 00043 i036
For t0 ≤ t < t1,t2 ≤ t + k, from (17) we have
Jrfm 04 00043 i037
For t1 ≤ t < t + k < t2, from (18) one could get
Jrfm 04 00043 i038
For t1 ≤ t < t2 ≤ t + k, from (18) then
Jrfm 04 00043 i039
For t2 ≤ t < t + k, from (17) we obtain
Jrfm 04 00043 i040
Thus, the assertions hold. □

Share and Cite

MDPI and ACS Style

Fung, E.S.; Lam, K.; Siu, T.-K.; Wong, W.-K. A Pseudo-Bayesian Model for Stock Returns In Financial Crises. J. Risk Financial Manag. 2011, 4, 43-73. https://doi.org/10.3390/jrfm4010043

AMA Style

Fung ES, Lam K, Siu T-K, Wong W-K. A Pseudo-Bayesian Model for Stock Returns In Financial Crises. Journal of Risk and Financial Management. 2011; 4(1):43-73. https://doi.org/10.3390/jrfm4010043

Chicago/Turabian Style

Fung, Eric S., Kin Lam, Tak-Kuen Siu, and Wing-Keung Wong. 2011. "A Pseudo-Bayesian Model for Stock Returns In Financial Crises" Journal of Risk and Financial Management 4, no. 1: 43-73. https://doi.org/10.3390/jrfm4010043

APA Style

Fung, E. S., Lam, K., Siu, T.-K., & Wong, W.-K. (2011). A Pseudo-Bayesian Model for Stock Returns In Financial Crises. Journal of Risk and Financial Management, 4(1), 43-73. https://doi.org/10.3390/jrfm4010043

Article Metrics

Back to TopTop