Next Article in Journal
Analyzing Corporate Social Responsibility, CEO Gender, and Compensation Structure: Evidence from U.S. Firms
Next Article in Special Issue
Professional Forecasters vs. Shallow Neural Network Ensembles: Assessing Inflation Prediction Accuracy
Previous Article in Journal
An Investigation of Trades That Move the BBO Using Strings
Previous Article in Special Issue
Algorithm-Based Low-Frequency Trading Using a Stochastic Oscillator, Williams%R, and Trading Volume for the S&P 500
 
 
Font Type:
Arial Georgia Verdana
Font Size:
Aa Aa Aa
Line Spacing:
Column Width:
Background:
Article

Economic News, Social Media Sentiments, and Stock Returns: Which Is a Bigger Driver?

1
Marilyn Davies College of Business, University of Houston-Downtown, Houston, TX 77002, USA
2
College of Business Administration, Texas A&M University, Kingsville, 1115 University Blvd., Kingsville, TX 78363, USA
*
Author to whom correspondence should be addressed.
J. Risk Financial Manag. 2025, 18(1), 16; https://doi.org/10.3390/jrfm18010016
Submission received: 24 October 2024 / Revised: 12 December 2024 / Accepted: 25 December 2024 / Published: 3 January 2025
(This article belongs to the Special Issue Forecasting and Time Series Analysis)

Abstract

This study provides empirical evidence on the relative impact of innovations in information content and noise embedded in economic news and social media sentiments on DJIA, S&P 500, NASDAQ, and Russell 2000 index returns. We find that economic news sentiments are relatively more rational and have a greater impact than irrational social media sentiments. There exist significant negative effects of three distinct categories of social media sentiments and a significant positive impact of economic news sentiments on stock returns. The magnitude of the impact of the economic news sentiments is larger. In addition, the economic news sentiments seem to have greater information content and are driven by risk factors to a greater extent than the sentiments of social media, which probably contain more noise. There are significant negative responses of stock returns to irrational components of social media sentiments while significant positive responses to rational components of economic news sentiments. Lastly, the magnitude of the impact of rational economic news sentiments is higher than that of irrational social media sentiments. Our results are consistent with the view that business news is a manifestation of a rational outlook to a larger extent than social media and can drive stock valuations.
JEL classification:
G12; G14; C22

1. Introduction

Information has always played a central role in investment decisions. Economic or business news and social media are the two most widely used information channels for investors. Traditionally, print and broadcast news played a dominant role as a source of information for investors. In recent times, with technological advancement, social media have changed the way investors acquire information to make decisions in a fast and frugal manner. Given its importance, numerous studies have examined how economic news and social media-based sentiments affect stock returns (Tetlock, 2011; Chan, 2003; Gan et al., 2020; Tan & Tas, 2021; Sprenger et al., 2014; Araújo et al., 2018; Nyakurukwa & Seetharam, 2023a, 2023b; Liu et al., 2023; Wang et al., 2022). Overall, these studies find a significant dynamic relationship between both types of sentiments and their distinct impact on the financial markets.
However, despite these studies, it is still not clear to what extent the financial information delivered via news media or disseminated through social platforms is rational, emanating from the natural dynamics of economic fundamentals, or irrational, not attributable to any known risk factors. More often than not, the volatility observed in the financial market is a result of movement in these sentiments, which are well beyond levels justified by economic fundamentals. Most often, sentiments displayed in the news and social media are perceived to be solely irrational. However, this argument has been merely conjectured and there exist no empirical tests on whether these sentiments are driven by irrationality as opposed to rational responses to turbulent economic fundamentals. Therefore, decomposing the economic news and social media-based sentiments into rational and irrational components can help us better understand how information and noise affect stock valuations. Accordingly, we investigate the following research questions: (i) What is the relative impact of social media and economic news sentiments on stock returns? (ii) To what extent social media and economic news sentiments are driven by irrationality as opposed to rational turbulent economic fundamentals? (iii) What is the relative impact of the rational and irrational components of social media and economic news sentiments on stock returns?
This research is motivated by studies such as Shleifer and Summers (1990), Hirshleifer (2001), Brown and Cliff (2005), Shefrin (2002), Baker and Nofsinger (2002), Kahneman (2011), and Baker et al. (2019), which suggest that bullish and bearish sentiments could be a rational reflection of expectations (risks) or irrational enthusiasm (valuation error) or a combination of both. It is suggested that a broader psychological paradigm that includes full rationality is a significant special case. This study argues that attributing economic news and social media sentiments to complete irrationality is the other end of the same spectrum. The contention is that sentiments can be thought of as both rational, emanating from the natural dynamics of erratic economic fundamentals, and irrational, driven by noise and not attributable to any risk factor. Given the discussion above, this study provides a direct empirical test on the extent to which the economic news and social media-based sentiments are rational and/or irrational and investigate their relative impact on stock returns. Such investigation is the main contribution of this study.
Accordingly, this study makes the following contributions to the literature: first, it provides an empirical test on whether the formation of economic news and social media-based sentiments are consistent with rational asset pricing models’ predictions. Second, it decomposes both the sentiment variables into rational and irrational components and traces their dynamics to better understand the role of risk factors and noise in the formation of sentiments. Third, it examines the relative impact of social media and economic news sentiments induced by risk factors and/or noise on stock returns in terms of speed and duration. Lastly, we place importance on jointly modeling the variables to better analyze the lead–lag relationships and the impact of information and noise.
Our study addresses several gaps in the existing literature. First, unlike previous research that often treats social media and news sentiments as fully irrational, we consider both their rational and irrational components, examining the interplay between fundamental and noise trading. Second, while prior studies typically analyze social media and news sentiments in isolation, we integrate both within a single multivariate model, capturing the dynamic interactions between these sentiment sources. This approach helps prevent misattributing shocks from one sentiment class to another. Third, instead of focusing solely on anticipated sentiment changes, as many studies do, we analyze the unanticipated components. By utilizing impulse response functions derived from a VAR model, we offer insights consistent with rational expectations theory. Specifically, this paper investigates the following research questions: (i) What is the relative impact of social media and economic news sentiments on U.S. stock market returns? (ii) To what extent are economic news and social media sentiments impacted by rational expectations or noise? (iii) How do risk factors and irrationality-induced sentiments from social media and economic news compare in their impact on stock market returns?
The results from the VAR models and the generated impulse response functions suggest the following: (i) We find a significant impact of both economic news and social media-based sentiments on stock returns; the impact of economic news is greater and in the opposite direction. Specifically, there is a negative impact of social media sentiments while a greater positive impact of economic news sentiments on stock returns; (ii) The economic news sentiments seem to be driven by rational factors to a greater extent than the social media sentiments; (iii) There is a significant positive impact of rational component of economic news sentiment while the significant negative impact of irrational social media sentiments; (iv) The magnitude of the impact of rational economic news sentiments is greater than irrational social media sentiments on stock returns; and lastly, (v) The social media sentiments that are derived from a particular exchange-traded fund has the greatest impact on the market indicator to which the fund tracks.
Overall, this study lends support to risk-based explanations of the impact of social media and economic news sentiments on stock returns. Specifically, our results are consistent with the view that business news is a manifestation of a rational outlook to a greater extent than social media which has greater noise components, and both can impact stocks dissimilarly. Investors could, therefore, improve their portfolio performance by considering both rational as well as irrational social media and news sentiment. These results have important implications for particular retail investors who have accounted for substantial trading activities during the pandemic and are becoming a more significant liquidity source in the marketplace. These investors are increasingly turning to online forums and social networking sites for readily available investing ideas. This study argues that the shortcuts provided by these tools have generated interest in investing but are no substitute for diligent research of economic fundamentals.
The remainder of this paper is organized as follows: Section 2 reviews the existing literature on news and social media sentiments, while Section 3 presents the model. Section 4 presents the data, and Section 5 presents the econometric methodology. Section 6 reports the estimation results, and Section 7 concludes.

2. Literature Review

Investing in speculative assets is a social activity where investors spend considerable time learning about the success and failure of investments. There are situations in which people assess the probability of an event by the ease with which instances or occurrences can be brought to mind (for example, via news or social medial platforms). Since individuals lack a clear sense of objective evidence regarding valuations, the process by which their sentiments are derived may be via news or social media that are readily available.
The theoretical foundation on how information is processed and can be used both rationally and irrationally in financial decision-making is first provided in the seminal research on judgment under uncertainty by Tversky and Kahneman (1974). The study shows that people rely on a limited number of heuristic principles, which reduce the complex tasks of assessing probabilities and predicting values to simpler judgmental operations. These heuristics are highly economical and usually effective, but they lead to systematic and predictable errors. Along similar lines, Shiller (1984) shows that individuals may continually overreact to superficially plausible information even when there is no statistical basis for their reaction. Such an overreaction does not necessarily imply that the ultimate source of stock price movement should be thought of as dividends or earnings of firms. Such behavior is due to investors’ information processing bias, one of the cognitive biases that relate to “processing errors” (Pompian, 2012). It underlies judgments about the likelihood of an occurrence based on readily available information, not necessarily based on complete, objective, or factual information. It often makes people inadvertently assume that readily available thoughts, ideas, or images represent unbiased indicators of statistical probabilities.
Statman (2017, 2019) and Pompian (2012) explain that investors rely on easily available information mainly due to the following reasons: (i) retrievability of information—investors choose investments based on information that is retrieved most easily and perceived to be most credible (such as overemphasis on recent coverage in the news, social media, etc.); and (ii) narrow range of experience—when investors possess an overly restrictive frame of reference from which to formulate an objective estimate (for example, frequent social interactions with triumphant investors).
Empirical tests have well-documented the role of news and social interactions on investor behavior and stock valuations. Barber and Odean (2007) find that investors tend to indulge in attention-based purchases based on news, abnormal volume, and extreme returns. Similarly, Chen et al. (2007) find investors’ preference to buy stocks based on news on performance. Solomon et al. (2014) and Koehler and Mercer (2009) find increased demand for mutual funds whose stock holdings have been in the news recently. Often, investors prefer trading companies whose names are at the beginning of the alphabet (Jacobs & Hillert, 2016), and there exist clustering limit orders at round prices (Kuo et al., 2015). Hvide and Östberg (2015) find an influence of coworkers on investment choices among investors, while Han et al. (2021) show how social interactions transmit investment ideas.
Recent empirical studies have employed sentiments on economic news and social media and investigated their role in investments. Gan et al. (2020) find the dominant role of economic and social media sentiments on stock returns and volatility. They find that the response to social media sentiments has increased significantly in recent years. Similarly, postings on social media platforms can exert an influence on stock prices and volatility (Sprenger et al., 2014; Ranco et al., 2015). Likewise, Tan and Tas (2021) and Lazzini et al. (2022) find a significant impact of social media sentiments on international stock market returns. On similar lines, Nyakurukwa and Seetharam (2023b) use bibliographic coupling and textual analysis to provide an overview of the structure of social media sentiment within the stock market. AlZaabi (2021) examines the relationship between sentiment embedded in Reddit’s WallStreetBets forum and the stock market using machine learning techniques. Nyakurukwa and Seetharam (2023a) explore whether online investor sentiment explains analyst recommendation changes in emerging markets. Social media plays a central role in bridging the “information asymmetry” between markets and investors (Ali, 2018).
Using a novel controlled experiment, Wang et al. (2022) investigate the effect of online message board mood on stock returns and find a significant causal impact between social media mood and same-day stock returns. Liu et al. (2023) examine the synergistic relationship between stock prices and investor sentiment using social media messages and natural language processing techniques, identifying a significant positive synergy. Baker et al. (2021) develop a Twitter Economic Uncertainty Index, finding significant correlations with widely known Economic Policy Uncertainty Indices. Similarly, Fang et al. (2020) observe significant correlations between news-based implied volatilities and cryptocurrency volatilities. Furthermore, Lehrer et al. (2021) incorporate a sentiment measure derived using deep learning from Twitter messages at the 1 min level, demonstrating that social media sentiment can significantly improve the forecasting accuracy of the VIX over short time horizons.
The role of social media sentiments on cryptocurrency is analyzed by several studies. For example, Tumasjan et al. (2021) argue that there exists a positive linkage between signaling and venture capital valuation, although they find no evidence of a long-term relationship between Twitter sentiment and investment success. Similarly, Kyriazis et al. (2023) report significant effects of various Twitter-based sentiment measures on cryptocurrencies during the COVID-19 pandemic. Philippas et al. (2019) identify that Bitcoin prices are partially driven by media attention momentum in social networks, illustrating the influence of sentimental demand for information. Li et al. (2021) identify bi-directional causalities and spillovers among 27 cryptocurrencies and investor attention based on data from Twitter and Google searches. Huynh (2021) assesses the impact of President Trump’s tweets on Bitcoin price and trading volume, arguing that negative sentiment tweets exhibit stronger predictive power for returns, trading volume, realized volatility, and jumps in Bitcoin markets. Kraaijeveld and De Smedt (2020) demonstrate significant predictive powers of Twitter sentiment on the returns of Bitcoin, Bitcoin Cash, and Litecoin. Wu et al. (2021) adopt Twitter-based EPU and TMU measures, revealing that Twitter-derived economic uncertainty significantly influences the values of Bitcoin, Ethereum, and Ripple, with these effects being positive. Naeem et al. (2021) introduce the FEARS index and a Twitter sentiment index, concluding that happiness sentiment is a stronger predictor of cryptocurrency returns. Umar et al. (2021) suggest that media-driven sentiment indicators highlight the inefficiencies created by investors and that social media platforms could be valuable tools for monitoring such behaviors. Finally, Béjaoui et al. (2021) report a strong dynamic nexus between Bitcoin and social media, particularly during the COVID-19 era, where both are significantly influenced by the health crisis.
Given the discussion above, the main contribution of this study is to extend the empirical investigation by providing a direct test on the impact of economic and social media-based sentiments on stock valuations. It examines the extent to which economic news and social media-based sentiments are rational and irrational and investigates their relative impact on stock returns. Such investigation is the main contribution of this study.

3. The Model

The first research question is to investigate the extent to which social media and economic sentiments impact stock market returns, and accordingly, the following equation is modeled:
R i t = β 0 + β i j j = 1 4 S e n t j t + υ i t
where Rit is the return on the i-th market, and Sentjt represents the shifts in the social media-based sentiments (j = 1, 2, and 3) and news-based sentiments (j = 4), respectively, at time t. The parameters βj capture the effects of the four sentiment indicators related to the economic news and social media on stock returns.
The second research question is to investigate the extent to which the news and social media-based sentiments are rational and/or irrational. These sentiments may contain information about rational expectations, as well as any biases of participants, such as excessive optimism or pessimism. Most often, sentiments stemming from the news and social media are perceived to be irrational. However, such arguments are merely conjectured at this point since no empirical tests exist that have examined the extent to which these sentiments are driven by rational expectations versus investors’ irrationality. This study is motivated by studies such as Shleifer and Summers (1990), Hirshleifer (2001), and Brown and Cliff (2005), which suggest that when investors are bullish or bearish, it could be either a rational reflection of expectations (risks) or irrational enthusiasm (valuation error) or a combination of both. It is suggested that a broader psychological paradigm that includes full rationality is a special case, and therefore, attributing sentiments to complete irrationality is just the other end of the same spectrum. This study argues that the news and social media-based sentiments can be rational, emanating from the natural dynamics of economic fundamentals, or irrational and not attributable to any economic fundamentals and, accordingly, formulate the following equation:
S e n t j t = β 0 + β i i = 1 11 R i s k i t + ε j t
The variable Sentjt represents the shifts in the social media-based sentiments (j = 1, 2, and 3) and news-based sentiments (j = 4), respectively, at time t. Riskit is a set of fundamentals representing rational expectations based on risk factors that have been shown to carry non-redundant information in the conditional asset pricing literature. Specifically, parameter βi captures the effects of the 11 rational risk factors on the four separate sentiment measures related to the news and social media.
The main research question is to investigate whether irrationality also plays a role in the formation of news and social-media-based sentiments. If yes, then are the effects of irrationality on these sentiments significant for the stock market? Accordingly, the second research question is to investigate the relative impact of sentiments induced by risk factors and irrationality on market returns. Specifically, the response of the stock market to the rational component of sentiments (induced by risk factors) and the irrational component of sentiments (due to irrationality or noise) is analyzed. To accomplish this, an approach similar to the one suggested by Brown and Cliff (2005), Baker and Wurgler (2006), and Verma and Soydemir (2006, 2009) is employed. The two-step process is as follows: the first step is to generate two separate variables that represent the rational and irrational components of each sentiment measure.
Accordingly, the fitted values of Equation (2) are calculated to represent the rational component of the four measures of news and social media-based sentiments (i.e., S ^ e n t j t ) .   Similarly, the residual of Equation (2) is generated to capture the irrational component of these sentiments (i.e., ε j t ). In the second step, the extent to which the stock returns are affected by these two decomposed components of each sentiment is analyzed by including them in the return-generating process as follows:
R i t = α 0 + α i j j = 1 4 S ^ e n t j t + β i j j = 1 4 ε j t + φ i t
where Rit represents the return on the i-th market indicator, while αij and βij are parameters to be estimated; φt is the random error term. Specifically, the parameter αij captures the effect of the j-th sentiments induced by fundamentals on the i-th market return, while βij captures the effect of j-th sentiments induced by noise on the i-th market return. Impulse response functions of the market return to the shocks originating from the rational and irrational components of the four measures of sentiments are analyzed to examine the impact of sentiments driven by rational expectations versus irrationality on stock returns.

4. Data

The data spans November 2011 through August 2020 on a weekly basis. To capture the news and social media-based sentiments, data similar to the ones used in recent empirical studies are used. News and social media sentiments are employed by studies such as Gan et al. (2020), Sprenger et al. (2014), Ranco et al. (2015), Tan and Tas (2021), and Lazzini et al. (2022). Accordingly, this study employs four separate indicators to capture sentiments stemming from economic news and social media coverage.
The data on sentiments embodied in the social media on S&P 500, DJIA, and NASDAQ is acquired from an investment research firm, Sundial Capital Research. These sentiment indicators are derived by performing automated natural language processing on messages collected from Twitter. Messages that mention symbols SPY, QQQ, and DIA are collected and analyzed and given a rating of ‘bullish’, ‘bearish’, or ‘neutral’. The social sentiment indicator for each of the market indexes is calculated as a ratio of bearish to bullish messages (Sent1t is for S&P 500, Sent2t is for NASDAQ, and Sent3t is for DJIA).
The economic news sentiment index (Sent4t) measures sentiment based on lexical analysis of economics and finance-related news (Shapiro et al., 2020; Buckman et al., 2020). The sentiment scores are constructed based on economics and finance-related news articles from 16 major U.S. newspapers compiled by the news aggregator service LexisNexis. The data is acquired from the Federal Reserve Bank of San Francisco’s economic database. The four stock market indicators used are Dow Jones, S&P500, NASDAQ, and Russell 2000 indexes. The weekly continuously compounded returns are obtained from the Refinitiv Eikon database.
This study includes the following 11 variables as fundamentals or rational factors that have been shown to carry non-redundant information in the asset pricing literature. We specifically follow Brown and Cliff (2005) in identifying the following risk factors (W. F. Sharpe, 1964; Lintner, 1965; Fama, 1970; Fama & Schwert, 1977; Keim & Stambaugh, 1986; Campbell, 1987; Campbell & Shiller, 1988a, 1988b; Fama & French, 1988, 1989, 2012, 2015; Fama, 1990; Schwert, 1990; Campbell, 1991; Elton & Gruber, 1991; Ferson & Harvey, 1991; Hodrick, 1992; Fama & French, 1993; Jegadeesh & Titman, 1993; and S. A. Sharpe, 2002): (i) short term interest rates measured as the yield on one-month U.S. Treasury Bill (TB1M), (ii) economic risk premia measured as the term structure of interest rates or, the difference in monthly yields on three-month and one-month Treasury Bills (TB3M_1M), (iii) future economic expectations measured as the term spread i.e., yields spread on the 10-year U.S. Treasury Bond and three-month Treasury Bill (TB10Y_3M), (iv) business conditions measured as the default spread i.e., difference in yields on Baa and Aaa corporate bonds (BAA_AAA), (v) excess returns on the market portfolio measured as the value-weighted returns on all NYSE, AMEX, and NASDAQ stocks minus the one-month Treasury Bill rate (MKT_RF), (vi) premium on portfolio of small stocks relative to large stocks (SMB), (vii) Premium on portfolio of high book-to-market stocks relative to low book-to-market stocks (HML), (viii) robust minus Weak is the average return on the two robust operating profitability portfolios minus the average return on the two weak operating profitability portfolios (RMW), (ix) conservative minus aggressive is the average return on the two conservative investment portfolios minus the average return on the two aggressive investment portfolios (CMA), (x) momentum factor (MOM), and (xi) currency fluctuation measured as the weighted average of the foreign exchange value of the U.S. dollar against 15-country trade weighted basket of currencies (USD).
The data on short-term interest rates, economic risk premium, future economic variables, economic growth, business conditions, excess return on the market portfolio, and currency fluctuations are obtained from the Federal Reserve Bank of St. Louis; Fama and French five factors are obtained from Kenneth French Data Library at Tuck School of Business, Dartmouth College.
Table 1 reports the descriptive statistics of the data. The mean value of the economic news sentiment index is 0.0356, suggesting an overall bullish sentiment during the sample period. However, it displays high fluctuations, as indicated by the standard deviation of 0.1846 and a relatively high coefficient of variation of 5.19. Similarly, the mean values of the three social media sentiment indicators are positive, indicating bullishness during the sample period. However, in comparison to economic news sentiments, the social media sentiment variables have displayed lower volatilities, as indicated by the coefficient of variations (0.74, 0.43, and 0.19, respectively). The mean weekly returns for the four market indexes are positive, with extremely high fluctuations. The negative mean results for the Fama and French factors—SMB and HML—show underperformances of small-cap stocks relative to large-cap and value stocks overgrowth stocks during the sample period. Similarly, the negative mean value of another Fama and French factor, CMA, indicates that stocks of companies that invest aggressively have generated lower returns than those that invest conservatively. The mean values of the two additional Fama and French factors, MKT_RF and RMW, have positive mean returns suggesting positive market risk premium and outperformance of stocks of companies with high over low operating portfolios. Similarly, the Fama–French–Carhart factor, momentum (MOM), has a positive risk premium. Lastly, the mean values of short-term interest rates (TB1M and TB3M_1M) are extremely low, while the term spread (TB10Y_3M) and default spread (BAAA_AAA) have relatively higher values during the sample period.
Table 2 reports the cross-correlations of all the variables included in the study. The correlations of the economic news sentiments with the three social sentiment indexes are low, with both positive and negative signs, suggesting that they do not move in tandem, and expectations are formed based on different sets of information. The economic and financial markets-related coverage of news articles and social media seems to impact sentiments differently. The correlations between the three sets of sentiments embodied in social media are also low, with both positive and negative signs. The bullish and bearish messages on social media seem to be different for exchange-traded funds, SPY, QQQ, and DIA, probably due to different mechanics. Lastly, almost all the correlations involving the 11 fundamental factors are low, suggesting that each variable represents a unique risk independent from the other.

5. Econometric Methodology

In order to examine the relationships postulated in Equations (1) and (3), two separate VAR models (Sims, 1980) comprising 8 variables and 12 variables are estimated. The first research question is to examine the extent to which social media and news-based sentiments impact the stock market returns, as modeled in Equation (1). Accordingly, an 8-variable VAR model, which includes the four sentiment variables and 4 market index returns, is estimated. Thereafter, four separate OLS regressions in accordance with Equation (2) are estimated to investigate the role of fundamentals and noise in the formation of social media and news-based sentiments. Specifically, the 11 risk factors are regressed against the four sentiment variables to generate rational and irrational components of sentiments. Lastly, in order to examine the relationship as depicted in Equation (3), a 12 VAR model comprising 8 variables representing the rational and irrational components of the four sentiment indicators and 4 market indexes returns is estimated.
The rationale for using the VAR model as an appropriate econometric approach is based on the arguments provided by Brown and Cliff (2004, 2005) and Lee et al. (2002) that returns and investors’ expectations may act as a system. The VAR specification also allows the researchers to do policy simulations and integrate Monte Carlo methods to obtain confidence bands around the point estimates (Doan, 1988; Genberg et al., 1987; Hamilton, 1994). The likely response of one variable to a one-time unitary shock in another variable can be captured by impulse response functions. As such, they represent the behavior of the series in response to pure shocks while keeping the effect of other variables constant. Since impulse responses are highly non-linear functions of the estimated parameters, confidence bands are constructed around the mean response. Responses are considered statistically significant at the 95% confidence level when the upper and lower bands carry the same sign.
This study emphasizes the critical need to jointly model both rational and irrational sentiments in conjunction with the four-market index returns to reduce the likelihood of model misspecification or multicollinearity. Incorporating both types of sentiments ensures a more comprehensive representation of market dynamics and helps prevent erroneous interpretations. When relevant variables are omitted from the model, shocks originating from these unconsidered factors might be mistakenly attributed to variables that are included, resulting in biased or misleading outcomes. This underscores the importance of properly accounting for all influential variables to maintain the robustness and reliability of the analysis.
From a theoretical standpoint, it is well documented that traditional orthogonalized forecast error variance decomposition methods, such as those derived from the widely used Choleski factorization of VAR (Vector Autoregression) innovations, are sensitive to the ordering of variables in the model (Pesaran & Shin, 1996, 1998; Koop et al., 1996). This ordering sensitivity can lead to inconsistencies in the interpretation of results, particularly when the assumed sequence of variables does not align with their actual interdependencies. To mitigate these challenges and enhance the robustness of the analysis, this study adopts the generalized impulse response techniques developed by Pesaran and Shin (1998). These methods offer a significant advantage by generating an orthogonal set of innovations that are not contingent on the order of variables in the VAR model. This approach ensures that the analysis remains invariant to arbitrary variable ordering, providing more accurate and reliable insights into the interrelationships among the modeled variables. By addressing the potential pitfalls of traditional methodologies, the generalized impulse response framework enhances the study’s ability to capture the true dynamics of the system under investigation.
In an efficient financial market, stock prices are expected to respond solely to the unanticipated or unexpected components of explanatory variables, as these reflect new information that has not yet been incorporated into market valuations. According to Elton and Gruber (1991), all variables included in a multi-index model must represent surprises or innovations, which, by definition, are not predictable based on their historical values. This condition is crucial for accurately capturing the dynamic interplay between variables, as the inclusion of predictable components would undermine the model’s validity in explaining market behavior.
Given that the models employed in this study are multi-index models, direct estimation in their current form would primarily reflect the relationships between the anticipated components of the variables. Such an approach fails to account for the effects of unexpected changes, particularly in investor sentiments and stock market returns, which are key drivers of financial market dynamics. Ignoring these unanticipated components can result in biased or incomplete insights, potentially leading to misleading conclusions about the relationships among the modeled variables.
To address these issues and avoid potential model misspecification, the study employs the powerful methodology of impulse response functions, which are designed to capture the predicted patterns of surprise changes or innovations. These functions are generated from the VAR (Vector Autoregression) model and allow for a comprehensive analysis of how shocks to one variable propagate through the system over time. By focusing on the unanticipated components, impulse response functions provide a clearer understanding of the causal relationships and dynamic interactions within the financial market, ensuring that the analysis aligns with the theoretical expectations of an efficient market.
The VAR model is expressed as follows:
Z t = C + s = 1 m A s Z t m + ( t )
where Z(t) is a column vector of variables under consideration, C is the deterministic component, which is a constant, A(s) is a matrix of coefficients, m is the lag length, and ε(t) is a vector of random error terms. Accordingly, the VAR specification is used to estimate Equations (1) and (3), and generalized impulse response functions are employed for interpretation purposes.

6. Estimation Results

Before proceeding with the main results, the time series properties of each variable are checked by performing unit root tests using Augmented Dickey–Fuller (ADF) tests (Dickey & Fuller, 1979, 1981). Based on the consistent and asymptotically efficient AIC and SIC criteria (Diebold, 2003) and considering the loss in degrees of freedom, the appropriate number of lags is determined to be two. In the case of the ADF test, the null hypothesis of non-stationarity is rejected. The inclusion of drift/trend terms in the ADF test equations (Dolado et al., 1990) does not change these results.
The first research question is to examine the extent to which economic news and social media-based sentiments impact stock returns. Accordingly, an 8-variable VAR model in accordance with Equation (1) is estimated to examine how the four sentiment indicators uniquely impact each of the market indexes. Specifically, the variables included in this VAR model are the economic news sentiments and social media sentiments for DJIA, NASDAQ, and S&P 500, along with the four market indicators (S&P 500, NASDAQ, DJIA, and Russell 2000).
Sims (1980) suggests that autoregressive systems like these are difficult to describe concisely. Specifically, it is difficult to make sense of them by examining the coefficients in the regression equations themselves. Likewise, Sims (1980) and Enders (2003) show that the t-tests on individual coefficients are not reliable guides and, therefore, do not uncover the important interrelationships among the variables. Sims (1980) recommends focusing on the system’s response to typical random shocks, i.e., impulse response functions. Given these opinions, the relevant impulse response functions are analyzed, and not much emphasis is placed on the estimated coefficients of the VAR models.
Figure 1a–d plots the impulse responses of the S&P 500 to a one-time standard deviation increase in social media and economic news sentiments. The impact of the three social media sentiments is significantly negative during the first month and insignificant thereafter. As expected, the magnitude of the response of social media sentiments relating to SPY is much higher than sentiments relating to QQQ and DIA. Conversely, the impact of the economic news sentiments on the S&P 500 returns is significantly positive during the first month and insignificant thereafter. A possible reason for the negative and positive impact of the social media and economic news sentiments, respectively, could be that the economic news sentiments may be more rational than the social media sentiments and, thereby, are a momentum indicator as opposed to the contrarian nature of social media sentiments. The economic news sentiments are rooted purely in the economics and finance-related news articles while social media sentiments may contain relatively greater noise as they are generated based on interactions of novice investors. Also, Sent1 is the social media sentiment for the exchange-traded fund SPY, which mimics the S&P 500, and as such, it is not surprising that it has the greatest impact on the S&P 500 returns.
Figure 2a–d plots the impulse responses of NASDAQ return to a one-time standard deviation increase in the three social media sentiments and the economic news sentiments. Similar to the results of the S&P 500 returns, the impacts of the three social media sentiments are significantly negative during the first month and insignificant thereafter. Also, consistent with the earlier results, the social media sentiments that are generated from a particular exchange-traded fund have the greatest impact on the market indicator to which that particular fund tracks. In this case, Sent2, which is the social media sentiment relating to the exchange-traded fund QQQ that tracks NASDAQ, has the greatest impact on the NASDAQ returns. Also, consistent with earlier findings, there is a positive impact of the economic news sentiments.
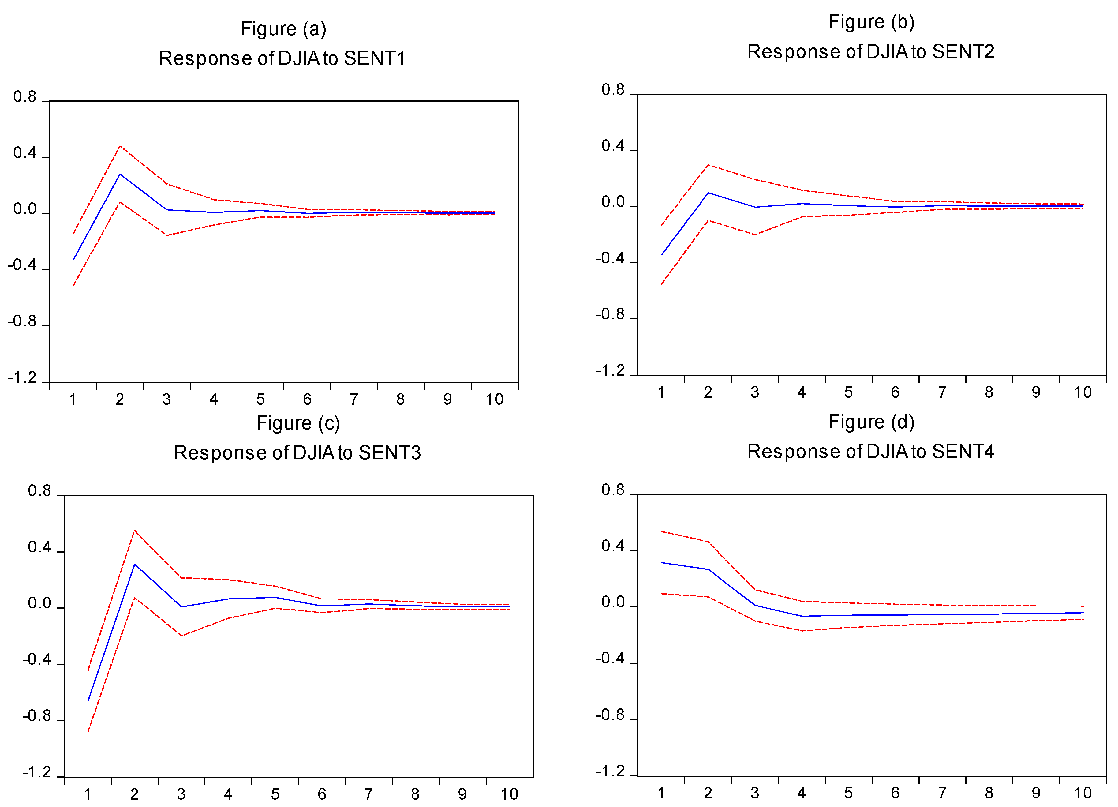
Figure 3a–d plots the impulse responses of DJIA to a one-time standard deviation increase in the social media and economic news sentiments. Consistent with previous findings, there is a significant negative impact on social media sentiments, while there is a significant positive impact on economic news sentiments. Moreover, these impacts are significant during the first month and become insignificant thereafter. Lastly, Sent3 the social media sentiments for the exchange-traded fund DIA that mimics movements in DJIA and, as such, has the greatest impact on the DJIA returns.
Figure 4a–d plots the impulse responses of RUSSELL 2000 returns to a one-time standard deviation increase in the three social media sentiments and the economic news sentiments. Unlike the prior results, there is an insignificant impact of the three categories of social media sentiments. A possible reason could be that these three categories of social media sentiments are related to the exchange-traded funds SPY, QQQ, and DIA, and, therefore, there are significant impacts only on the market indicators that these funds track, namely S&P 500, NASDAQ, and DJIA. There might be an insignificant impact on RUSSELL 2000 since these social media sentiments are not generated based on postings relating to small-cap stocks. Lastly, similar to earlier results, economic news sentiments have a positive impact on the RUSSELL 2000 returns.
Overall, the first VAR model suggests a negative impact of social media sentiments, while the positive and greater impact of economic news suggests the contrarian and momentum nature of these sentiments, respectively, on the stock market returns. The positive and negative effects of economic news and social media sentiments, respectively, could be due to the fact that the former is based on news articles and can be thought to have more information content than the social media sentiments, which may contain greater noise. Also, the social media sentiments relating to a particular exchange-traded fund have the greatest impact on the market indicator to which that particular fund tracks. Specifically, Sent1, where t is based on SPY, has the greatest impact on the S&P 500, Sent2, which is based on QQQ, has the maximum impact on NASDAQ, and similarly, DJIA has the greatest response to Sent3, which is based on DIA. However, none of these stock media sentiments are generated based on the small-cap stocks and, therefore, may have an insignificant impact on the RUSSELL 2000 returns.
The next step is to investigate to what extent irrationality has a role to play in the formation of these sentiments. If irrationality does have a role, then what is the relative impact of rational and irrational components of social media and news sentiments significant for the market returns? A two-step process, as described in the model section, is followed. Specifically, the four sentiment variables are first decomposed into their rational and irrational components based on the fitted values and residuals of their respective regressions. Accordingly, four separate OLS regressions in accordance with Equation (2), wherein the 11 risk factors are regressed against the sentiment variables, are estimated. Table 3 reports the regression results for the effect of rational factors on the economic news sentiments and the three categories of social media-based sentiments.
In the four regressions, there are significant negative effects of short-term Treasury bill yields (1 month and 3 months), the term spread, and significant positive effects of one value of the U.S. dollars. These results suggest that an increase in short- and long-term interest rates depress the sentiments embodied in the economic news and social media. Similarly, the positive effect of the exchange rate indicates bullishness among investors, probably due to the perception of improved financial conditions following a stronger currency. The impact of these four risk factors seems to be higher in the case of social media sentiments than economic news sentiments. However, in addition to these four rational factors, the economic news sentiments are also significantly driven by movements in the default spread, and the three Fama and French factors (SMB, HML, and MOM). The R-square of the regression for the economic news sentiment is approximately 50%, while those for the social media sentiments are in the range of 5–20%.
Overall, the regression results suggest that there is a significant impact on the indicators of financial conditions, such as Treasury yields, corporate debt spreads, and the demand for U.S. dollars. Specifically, there are inverse relationships between Treasury yields and corporate debt spreads and the direct impact of currency fluctuations. These findings suggest that social media sentiments are less driven by rational factors as compared to economic news sentiments. These are consistent with the notion that economic news has superior information content compared to social media. For example, information on yields (treasury and corporates are easily available and most widely followed by investors. This is contrary to other risk factors, such as the Fama and French factors, which are relatively less followed by social media.
Given that economic news is more rational, it is not surprising that they are positively related, while social media sentiments have a negative relationship with stock returns. This also explains why social media sentiments might be contrarian in nature. These results are consistent with the argument of Brown and Cliff (2005) that sentiments may contain a combination of both rational and irrational components and not necessarily only noise.
Having established that, to some extent, social media and economic news sentiments are driven by risk factors, the main research question to investigate the relative impact of sentiments induced by risk factors and sentiments driven by irrationality on stock market returns is examined. Accordingly, the fitted values of the regression equations are generated to capture the rational component of each sentiment variable (i.e., S ^ e n t j t ) and the residual of the equations are captured as the irrational component of the sentiments (i.e., ε j t ), i.e., eight new variables are generated that may represent the rational and irrational components of economic news and three social media sentiments. Thereafter, a 12-variable VARR model in accordance with Equation (3) to examine how sentiments, induced by both risk factors and noise, impact the market return is estimated. The variables included in this VAR model are the rational and irrational components of four sentiments and four market return variables.
Figure 5a–h plots the impulse responses of the S&P 500 to a one-time standard deviation increase in rational and irrational components of the social media and economic news sentiments. The results for the rational and irrational social media and economic news sentiments are opposite. There are insignificant effects of the rational components of social media sentiment, while significant positive effects of the rational component of economic news sentiments. Also, there are significant effects of irrational components of social media sentiments while the insignificant impact of irrational economic news sentiments. These results are consistent for all three categories of social media sentiments, although the magnitude of response of the S&P 500 is the largest for the social media sentiments relating to the SPY.
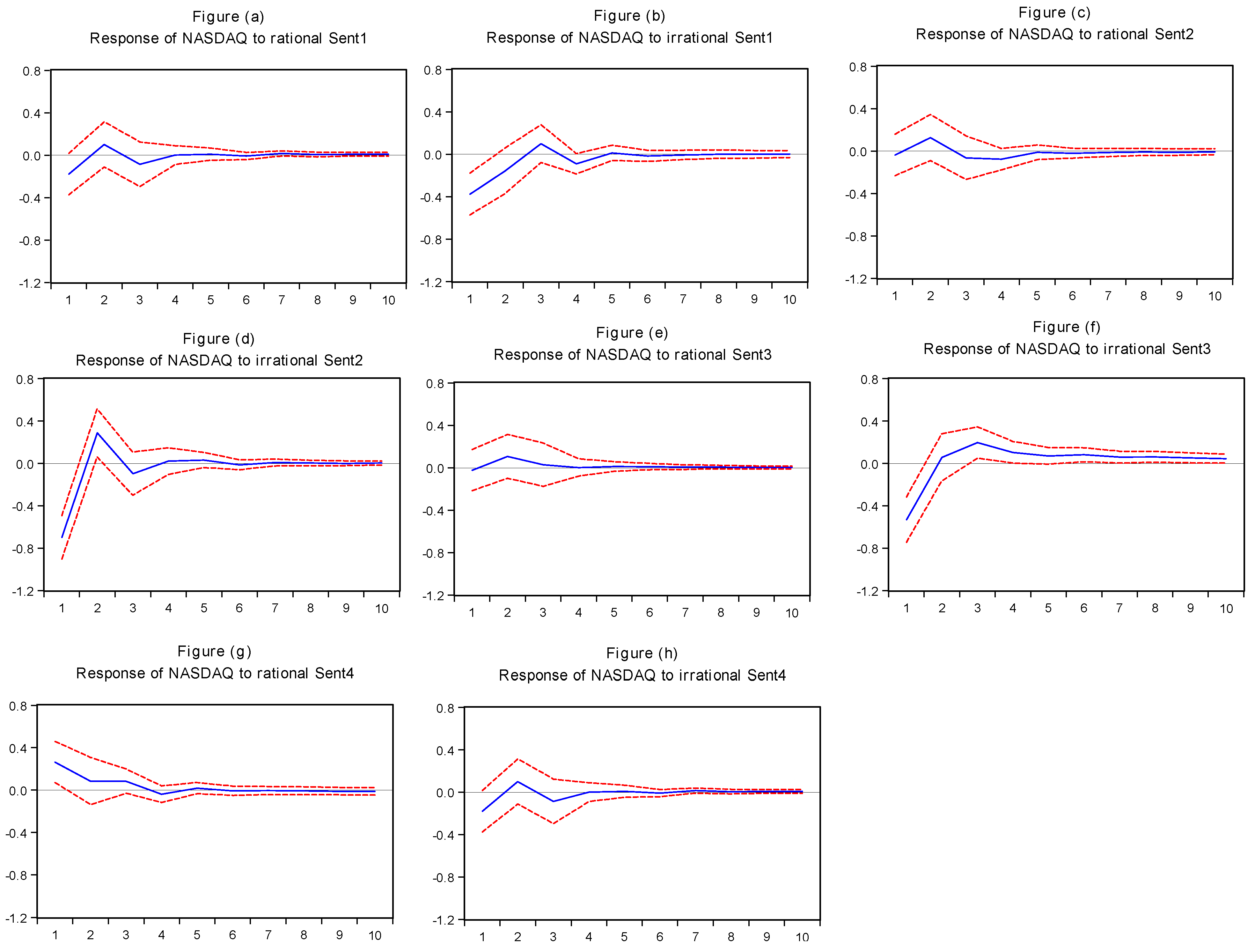
Figure 6a–h plots the impulse responses of the NASDAQ returns to a one-time innovation in rational and irrational social media and economic news sentiments. The results are similar to the ones obtained for the S&P 500 returns. The responses are significantly negative for irrational social media while significantly positive for economic news sentiments. Moreover, these impacts are significant for the first month and insignificant thereafter. Also, there is an insignificant impact of the rational component of social media sentiments and the irrational component of economic news sentiments. Lastly, the magnitude of the impact of irrational social media sentiments relating to the exchange-traded fund QQQ is the largest for NASDAQ returns.
Figure 7a–h plots the impulse responses of DJIA to a one-time standard deviation increase in rational and irrational components of the social media and economic news sentiments. Consistent with the findings for the S&P 500 and NASDAQ, the results for the rational and irrational social media and economic news sentiments are opposite. There are insignificant effects of the rational components of social media sentiment, while significant positive effects of the rational component of economic news sentiments. Also, there are significant effects of irrational components of social media sentiments while the insignificant impact of irrational economic news sentiments. These results are consistent for all three categories of social media sentiments, although the magnitude of response of DJIA returns is the largest for the social media sentiments relating to the exchange-traded traded fund DIA.
Figure 8a–h plots the impulse responses of the RUSSELL 2000 returns to a one-time innovation in rational and irrational social media and economic news sentiments. Unlike the prior results, there is an insignificant impact of both rational and irrational components of the three social media sentiments. A possible reason could be that RUSSELL 2000 is an index for small-cap stocks, while these three categories of social media sentiments are not generated from postings and messages relating to small-cap cap stocks. Similar to earlier results, there is a positive impact of rational economic news sentiments on RUSSELL 2000 returns.
Overall, the results of the second VAR model suggest a negative impact of irrational social media sentiments while positive and greater effects of rational economic news sentiments on the S&P 500, NASDAQ, and DJIA. Also, the rational component of social media sentiments relating to a particular exchange-traded fund has the greatest impact on the market indicator to which that particular fund tracks. This explains why RUSSELL 2000 is only significantly positively impacted by rational economic news sentiments and not by irrational social media sentiments that are not formed based on small-cap stocks.
These results tie up well with the earlier findings of the negative effect of social media sentiments and the greater positive impact of economic news sentiments on stock returns. The negative effects of social media sentiments seem to be mainly due to the noise embedded in those sentiments. Similarly, the positive impact of economic news sentiment appears to be mainly due to the informational content rooted in such sentiments.
Specifically, these results align with studies such as Gan et al. (2020), Sprenger et al. (2014), Ranco et al. (2015), and Tan and Tas (2021), which highlight the influence of social media platforms on stock prices and volatility. They are also consistent with research on professional financial news releases (e.g., Engelberg, 2008; Fang & Peress, 2009; Engelberg et al., 2012; Garcia, 2013; Liu & McConnell, 2013), which shows that media attention and the tone of press articles significantly correlate with various corporate events, ultimately impacting stock prices and volatility.
These findings have important implications for both investors and policymakers. Media sentiments originating from social media platforms and news outlets are largely irrational and cannot be attributed to underlying economic fundamentals. This irrational sentiment, particularly during periods of extreme volatility, often serves as the primary driver of stock market movements. In such times, investors relying solely on economic fundamentals to guide their buy or sell decisions may be operating with an incomplete or misleading information set. A more effective strategy would involve incorporating the analysis of irrational sentiment as a key determinant of market behavior.

7. Conclusions

This study provides empirical evidence on the relative impact of economic news and social media sentiments on DJIA, S&P 500, NASDAQ, and Russell 2000 index returns. We also investigate the extent to which social media and economic news sentiments are driven by irrationality as opposed to rational responses to turbulent economic fundamentals. Decomposing the economic news and social media-based sentiments into rational and irrational components allows us to better understand how information and noise affect stock valuations. We find a significant impact of both economic news and social media-based sentiments on stock return; however, the impact is in the opposite direction. The response of stock index returns is negative to social media sentiments while positive to economic news sentiments, suggesting the contrarian and momentum nature of these sentiments, respectively. The magnitude of the impact of the economic news sentiments is larger in all cases. We find that economic news sentiments are driven by risk factors to a greater extent than social media sentiments. These results are consistent with the notion that economic news is a manifestation of a rational outlook and has superior information content, while social media has greater noise components. Lastly, we find a significant negative impact of the irrational component of social media sentiments while a significant positive and greater impact of the rational component of economic news sentiments on stock returns. The magnitude of the impact of rational economic news sentiments is higher than those of irrational social media sentiments.
In conclusion, we find that the economic news sentiments are rational and have a greater positive impact than the negative effect of irrational social media sentiments on stock returns. These results have important implications, especially for retail investors for whom social media has become the most popular source of investment ideas. The internet has become a haven for quick, readily available amateur personal finance advice. These investors are increasingly relying on trendy tools, online forums, videos, and trading apps for investing ideas. They are also rife with misinformation and pitches for trendy, volatile investments, meme stocks, cannabis, and cryptocurrencies. By balancing it with other sources of information, such as business and economic news, such investors may avoid making the wrong decision that actually might do more harm than good.
Future research could focus on exploring the international transmission effects of social media and economic news sentiments on stock market returns in both developed and emerging markets. Additionally, their impact on other markets, such as foreign exchange and real estate, could be empirically examined.

Author Contributions

There is equal effort by both authors in all sections. All authors have read and agreed to the published version of the manuscript.

Funding

This research received no external funding.

Institutional Review Board Statement

Not applicable.

Informed Consent Statement

Not applicable.

Data Availability Statement

The original contributions presented in this study are included in the article.

Conflicts of Interest

The authors declare no conflicts of interest.

References

  1. Ali, H. (2018). Twitter, investor sentiment and capital markets: What do we know? (p. 3230304) SSRN. [Google Scholar]
  2. AlZaabi, S. (2021). Correlating sentiment in reddit’s wallstreetbets with the stock market using machine learning techniques [Master’s thesis, Rochester Institute of Technology]. [Google Scholar]
  3. Araújo, T., Eleutério, S., & Louça, F. (2018). Do sentiments influence market dynamics? A reconstruction of the Brazilian stock market and its mood. Physica A: Statistical Mechanics and Its Applications, 505, 1139–1149. [Google Scholar] [CrossRef]
  4. Baker, H. K., Filbeck, G., & Nofsinger, J. R. (2019). Behavioral finance: What everyone needs to know. Oxford University Press. [Google Scholar]
  5. Baker, H. K., & Nofsinger, J. R. (2002). Psychological biases of investors. Financial Services Review, 11, 97–116. [Google Scholar]
  6. Baker, M., & Wurgler, J. (2006). Investor sentiment and the cross-section of stock returns. Journal of Finance, 61(4), 1645–1680. [Google Scholar] [CrossRef]
  7. Baker, S. R., Bloom, N., Davis, S., & Renault, T. (2021). Twitter-derived measures of economic uncertainty. Stanford University. [Google Scholar]
  8. Barber, B. M., & Odean, T. (2007). All that glitters: The effect of attention and news on the buying behavior of individual and institutional investors. The Review of Financial Studies, 21(2), 785–818. [Google Scholar] [CrossRef]
  9. Béjaoui, A., Mgadmi, N., Moussa, W., & Sadraoui, T. (2021). A short-and long-term analysis of the nexus between Bitcoin, social media and COVID-19 outbreak. Heliyon, 7(7), e07539. [Google Scholar] [CrossRef] [PubMed]
  10. Brown, G. W., & Cliff, M. T. (2004). Investor sentiment and the near-term stock market. Journal of Empirical Finance, 11, 1–27. [Google Scholar] [CrossRef]
  11. Brown, G. W., & Cliff, M. T. (2005). Investor sentiment and asset valuation. Journal of Business, 78(2), 405–440. [Google Scholar] [CrossRef]
  12. Buckman, S. R., Shapiro, A. H., Sudhof, M., & Wilson, D. J. (2020). News sentiment in the time of COVID-19. FRBSF Economic Letter, 8(1), 5–10. [Google Scholar]
  13. Campbell, J. Y. (1987). Stock returns and the term structure. Journal of Financial Economics, 18, 373–399. [Google Scholar] [CrossRef]
  14. Campbell, J. Y. (1991). A variance decomposition for stock returns. Economic Journal, 101, 157–179. [Google Scholar] [CrossRef]
  15. Campbell, J. Y., & Shiller, R. J. (1988a). Stock prices, earnings, and expected dividends. Journal of Finance, 43, 661–676. [Google Scholar] [CrossRef]
  16. Campbell, J. Y., & Shiller, R. J. (1988b). The dividend-price ratio and expectations of future dividends and discount factors. Review of Financial Studies, 1, 195–228. [Google Scholar] [CrossRef]
  17. Chan, W. S. (2003). Stock price reaction to news and no-news: Drift and reversal after headlines. Journal of Financial Economics, 70(2), 223–260. [Google Scholar] [CrossRef]
  18. Chen, G., Kim, K. A., Nofsinger, J. R., & Rui, O. M. (2007). Trading performance, disposition effect, overconfidence, representativeness bias, and experience of emerging market investors. Journal of Behavioral Decision Making, 20(4), 425. [Google Scholar] [CrossRef]
  19. Dickey, D. A., & Fuller, W. A. (1979). Distribution of the estimators for autoregressive time series with a unit root. Journal of the American Statistical Association, 74, 427–431. [Google Scholar]
  20. Dickey, D. A., & Fuller, W. A. (1981). Likelihood ratio statistics for autoregressive time series with a unit root. Econometrica, 49, 1057–1072. [Google Scholar] [CrossRef]
  21. Diebold, F. X. (2003). Elements of forecasting. South-Western College Publishing. [Google Scholar]
  22. Doan, T. (1988). RATS user’s manual. VAR Econometrics. [Google Scholar]
  23. Dolado, J. J., Jenkinson, T., & Sosvilla-River, S. (1990). Cointegration and unit roots. Journal of Economic Surveys, 4, 249–273. [Google Scholar] [CrossRef]
  24. Elton, E. J., & Gruber, M. J. (1991). Modern portfolio theory and investment analysis (4th ed.). John Wiley and Sons, Inc. [Google Scholar]
  25. Enders, W. (2003). Applied econometrics time series. John Wiley and Sons, Inc. [Google Scholar]
  26. Engelberg, J. (2008). Costly information processing: Evidence from earnings announcements. SSRN. Available online: https://ssrn.com/abstract=1107998 (accessed on 1 June 2024). [CrossRef]
  27. Engelberg, J. E., Reed, A. V., & Ringgenberg, M. C. (2012). How are shorts informed?: Short sellers, news, and information processing. Journal of Financial Economics, 105(2), 260–278. [Google Scholar] [CrossRef]
  28. Fama, E. F. (1970). Efficient capital markets: A review of theory and empirical work. In The Fama portfolio. University of Chicago Press. [Google Scholar]
  29. Fama, E. F. (1990). Term structure forecasts of interest rates, inflation, and real returns. Journal of Monetary Economics, 25, 59–76. [Google Scholar] [CrossRef]
  30. Fama, E. F., & French, K. R. (1988). Dividend yields and expected stock returns. Journal of Financial Economics, 22, 3–25. [Google Scholar] [CrossRef]
  31. Fama, E. F., & French, K. R. (1989). Business conditions and expected returns on stocks and bonds. Journal of Financial Economics, 25, 23–49. [Google Scholar] [CrossRef]
  32. Fama, E. F., & French, K. R. (1993). Common risk factors in the returns on stocks and bonds. Journal of Financial Economics, 33, 3–56. [Google Scholar] [CrossRef]
  33. Fama, E. F., & French, K. R. (2012). Size, value, and momentum in international stock returns. Journal of Financial Economics, 105, 457–472. [Google Scholar] [CrossRef]
  34. Fama, E. F., & French, K. R. (2015). A five-factor asset pricing model. Journal of Financial Economics, 116(1), 1–22. [Google Scholar] [CrossRef]
  35. Fama, E. F., & Schwert, G. W. (1977). Asset returns and inflation. Journal of Financial Economics, 5, 115–146. [Google Scholar] [CrossRef]
  36. Fang, L., & Peress, J. (2009). Media coverage and the cross-section of stock returns. The Journal of Finance, 64(5), 2023–2052. [Google Scholar] [CrossRef]
  37. Fang, T., Su, Z., & Yin, L. (2020). Economic fundamentals or investor perceptions? The role of uncertainty in predicting long-term cryptocurrency volatility. International Review of Financial Analysis, 71, 101566. [Google Scholar] [CrossRef]
  38. Ferson, W. E., & Harvey, C. R. (1991). The variation in economic risk premiums. Journal of Political Economy, 99, 385–415. [Google Scholar] [CrossRef]
  39. Gan, B., Alexeev, V., Bird, R., & Yeung, D. (2020). Sensitivity to sentiment: News vs social media. International Review of Financial Analysis, 67, 101390. [Google Scholar] [CrossRef]
  40. Garcia, D. (2013). Sentiment during recessions. The Journal of Finance, 68(3), 1267–1300. [Google Scholar] [CrossRef]
  41. Genberg, H., Salemi, M. K., & Swoboda, A. (1987). The relative importance of foreign and domestic disturbances for aggregate fluctuations in an open economy: Switzerland. Journal of Monetary Economics, 19, 45–67. [Google Scholar] [CrossRef]
  42. Hamilton, J. D. (1994). Time series analysis. Princeton University Press. [Google Scholar]
  43. Han, B., Hirshleifer, D., & Walden, J. (2021). Social transmission bias and investor behavior. Journal of Financial and Quantitative Analysis, 57(1), 390–412. [Google Scholar] [CrossRef]
  44. Hirshleifer, D. (2001). Investor psychology and asset pricing. Journal of Finance, 56, 1533–1597. [Google Scholar] [CrossRef]
  45. Hodrick, R. (1992). Dividend yields and expected stock returns: Alternative procedures for inference and measurement. Review of Financial Studies, 5, 357–386. [Google Scholar] [CrossRef]
  46. Huynh, T. L. D. (2021). Does bitcoin react to Trump’s tweets? Journal of Behavioral and Experimental Finance, 31, 100546. [Google Scholar] [CrossRef]
  47. Hvide, H. K., & Östberg, P. (2015). Social interaction at work. Journal of Financial Economics, 117(3), 628–652. [Google Scholar] [CrossRef]
  48. Jacobs, H., & Hillert, A. (2016). Alphabetic bias, investor recognition, and trading behavior. Review of Finance, 20(2), 693–723. [Google Scholar] [CrossRef]
  49. Jegadeesh, N., & Titman, S. (1993). Returns to buying winners and selling losers: Implications for stock market efficiency. Journal of Finance, 48, 65–91. [Google Scholar] [CrossRef]
  50. Kahneman, D. (2011). Thinking, fast and slow. Farrar, Straus, and Giroux. [Google Scholar]
  51. Keim, D. B., & Stambaugh, R. F. (1986). Predicting returns in the bond and stock markets. Journal of Financial Economics, 17, 357–390. [Google Scholar] [CrossRef]
  52. Koehler, J. J., & Mercer, M. (2009). Selection neglect in mutual fund advertisements. Management Science, 55(7), 1107–1121. [Google Scholar] [CrossRef]
  53. Koop, G., Pesaran, M. H., & Potter, S. M. (1996). Impulse response analysis in nonlinear multivariate models. Journal of Econometrics, 74, 119–147. [Google Scholar] [CrossRef]
  54. Kraaijeveld, O., & De Smedt, J. (2020). The predictive power of public Twitter sentiment for forecasting cryptocurrency prices. Journal of International Financial Markets, Institutions and Money, 65, 101188. [Google Scholar] [CrossRef]
  55. Kuo, W. Y., Lin, T. C., & Zhao, J. (2015). Cognitive limitation and investment performance: Evidence from limit order clustering. Review of Financial Studies, 28(3), 838–875. [Google Scholar] [CrossRef]
  56. Kyriazis, N., Papadamou, S., Tzeremes, P., & Corbet, S. (2023). The differential influence of social media sentiment on cryptocurrency returns and volatility during COVID-19. The Quarterly Review of Economics and Finance, 89, 307–317. [Google Scholar] [CrossRef]
  57. Lazzini, A., Lazzini, S., Balluchi, F., & Mazza, M. (2022). Emotions, moods, and hyperreality: Social media and the stock market during the first phase of COVID-19 pandemic. Accounting, Auditing & Accountability Journal, 35(1), 199–215. [Google Scholar]
  58. Lee, W. Y., Jiang, C. X., & Indro, D. C. (2002). Stock market volatility, excess returns, and the role of investor sentiments. Journal of Banking & Finance, 26, 2277–2299. [Google Scholar]
  59. Lehrer, S., Xie, T., & Zhang, X. (2021). Social media sentiment, model uncertainty, and volatility forecasting. Economic Modelling, 102, 105556. [Google Scholar] [CrossRef]
  60. Li, Y., Goodell, J. W., & Shen, D. (2021). Comparing search-engine and social-media attentions in finance research: Evidence from cryptocurrencies. International Review of Economics & Finance, 75, 723–746. [Google Scholar]
  61. Lintner, J. (1965). Security prices, risk, and maximal gains from diversification. The Journal of Finance, 20(4), 587–615. [Google Scholar]
  62. Liu, B., & McConnell, J. J. (2013). The role of the media in corporate governance: Do the media influence managers’ capital allocation decisions? Journal of Financial Economics, 110(1), 1–17. [Google Scholar] [CrossRef]
  63. Liu, Q., Lee, W. S., Huang, M., & Wu, Q. (2023). Synergy between stock prices and investor sentiment in social media. Borsa Istanbul Review, 23(1), 76–92. [Google Scholar] [CrossRef]
  64. Naeem, M. A., Mbarki, I., & Shahzad, S. J. H. (2021). Predictive role of online investor sentiment for cryptocurrency market: Evidence from happiness and fears. International Review of Economics & Finance, 73, 496–514. [Google Scholar]
  65. Nyakurukwa, K., & Seetharam, Y. (2023a). Does online investor sentiment explain analyst recommendation changes? Evidence from an emerging market. Managerial Finance, 49(1), 187–204. [Google Scholar] [CrossRef]
  66. Nyakurukwa, K., & Seetharam, Y. (2023b). The evolution of studies on social media sentiment in the stock market: Insights from bibliometric analysis. Scientific African, 20, e01596. [Google Scholar] [CrossRef]
  67. Pesaran, M. H., & Shin, Y. (1996). Cointegration and speed of convergence to equilibrium. Journal of Econometrics, 71, 117–143. [Google Scholar] [CrossRef]
  68. Pesaran, M. H., & Shin, Y. (1998). Generalized impulse response analysis in linear multivariate models. Economics Letters, 58, 17–29. [Google Scholar] [CrossRef]
  69. Philippas, D., Rjiba, H., Guesmi, K., & Goutte, S. (2019). Media attention and Bitcoin prices. Finance Research Letters, 30, 37–43. [Google Scholar] [CrossRef]
  70. Pompian, M. M. (2012). Behavioral finance and wealth management: How to build optimal portfolios that account for investor biases. Wiley Finance. [Google Scholar]
  71. Ranco, G., Aleksovski, D., Caldarelli, G., Grčar, M., & Mozetič, I. (2015). The effects of Twitter sentiment on stock price returns. PLoS ONE, 10(9), e0138441. [Google Scholar] [CrossRef]
  72. Schwert, G. W. (1990). Stock returns and real activity: A century of evidence. Journal of Finance, 45, 1237–1257. [Google Scholar] [CrossRef]
  73. Shapiro, A. H., Sudhof, M., & Wilson, D. J. (2020). Measuring news sentiment (FRB San Francisco Working Paper 2017-01). Federal Reserve Bank of San Francisco. [Google Scholar]
  74. Sharpe, S. A. (2002). Reexamining stock valuation and inflation: The implications of analysts’ earnings forecasts. The Review of Economics and Statistics, 84(4), 632–648. [Google Scholar] [CrossRef]
  75. Sharpe, W. F. (1964). Capital asset prices: A theory of market equilibrium under conditions of risk. The Journal of Finance, 19(3), 425–442. [Google Scholar]
  76. Shefrin, H. (2002). Beyond greed and fear: Understanding behavioral finance and the psychology of investing. Oxford University Press. [Google Scholar]
  77. Shiller, R. (1984). Stock prices and social dynamics. Brookings Papers on Economic Activity, 2, 457–498. [Google Scholar] [CrossRef]
  78. Shleifer, A., & Summers, L. (1990). The noise trader approach to finance. Journal of Economic Perspectives, 4(2), 19–33. [Google Scholar] [CrossRef]
  79. Sims, C. (1980). Macroeconomics and reality. Econometrica, 48, 1–49. [Google Scholar] [CrossRef]
  80. Solomon, D., Soltes, E., & Sosyura, D. (2014). Winners in the spotlight: Media coverage of fund holdings as a driver of flows. Journal of Financial Economics, 113, 53–72. [Google Scholar] [CrossRef]
  81. Sprenger, T. O., Tumasjan, A., Sandner, P. G., & Welpe, I. M. (2014). Tweets and trades: The information content of stock microblogs. European Financial Management, 20(5), 926–957. [Google Scholar] [CrossRef]
  82. Statman, M. (2017). Finance for normal people: How investors and managers behave. Oxford University Press. [Google Scholar]
  83. Statman, M. (2019). Behavioral finance: The second generation. CFA Institute Research Foundation. [Google Scholar]
  84. Tan, S. D., & Tas, O. (2021). Social media sentiment in international stock returns and trading activity. Journal of Behavioral Finance, 22(2), 221–234. [Google Scholar]
  85. Tetlock, P. C. (2011). All the news that’s fit to reprint: Do investors react to stale information? Review of Financial Studies, 24(5), 1481–1512. [Google Scholar] [CrossRef]
  86. Tumasjan, A., Braun, R., & Stolz, B. (2021). Twitter sentiment as a weak signal in venture capital financing. Journal of Business Venturing, 36(2), 106062. [Google Scholar] [CrossRef]
  87. Tversky, A., & Kahneman, D. (1974). Judgement under uncertainty: Heuristics and biases. Science, 185, 1124–1131. [Google Scholar] [CrossRef] [PubMed]
  88. Umar, Z., Gubareva, M., Yousaf, I., & Ali, S. (2021). A tale of company fundamentals vs. sentiment driven pricing: The case of GameStop. Journal of Behavioral and Experimental Finance, 30, 100501. [Google Scholar] [CrossRef]
  89. Verma, R., & Soydemir, G. (2006). The impact of individual and institutional investor sentiments on the foreign stock markets. The Journal of Behavioral Finance, 7(3), 128–144. [Google Scholar] [CrossRef]
  90. Verma, R., & Soydemir, G. (2009). The impact of individual and institutional investor sentiments on the market price of risk. The Quarterly Review of Economics and Finance, 49(3), 1129–1145. [Google Scholar] [CrossRef]
  91. Wang, X., Xiang, Z., Xu, W., & Yuan, P. (2022). The causal relationship between social media sentiment and stock return: Experimental evidence from an online message forum. Economics Letters, 216, 110598. [Google Scholar] [CrossRef]
  92. Wu, W., Tiwari, A. K., Gozgor, G., & Leping, H. (2021). Does economic policy uncertainty affect cryptocurrency markets? Evidence from Twitter-based uncertainty measures. Research in International Business and Finance, 58, 101478. [Google Scholar] [CrossRef]
Figure 1. Response of S&P 500 returns to social media and news sentiments.
Figure 1. Response of S&P 500 returns to social media and news sentiments.
Jrfm 18 00016 g001
Figure 2. Response of NASDAQ returns to social media and news sentiments.
Figure 2. Response of NASDAQ returns to social media and news sentiments.
Jrfm 18 00016 g002
Figure 3. Response of DJIA returns to social media and news sentiments.
Figure 3. Response of DJIA returns to social media and news sentiments.
Jrfm 18 00016 g003
Figure 4. Response of RUSSELL 2000 returns to social media and news sentiments.
Figure 4. Response of RUSSELL 2000 returns to social media and news sentiments.
Jrfm 18 00016 g004
Figure 5. Response of S&P 500 returns to rational irrational social media and news sentiments.
Figure 5. Response of S&P 500 returns to rational irrational social media and news sentiments.
Jrfm 18 00016 g005
Figure 6. Response of NASDAQ returns to rational irrational social media and news sentiments.
Figure 6. Response of NASDAQ returns to rational irrational social media and news sentiments.
Jrfm 18 00016 g006
Figure 7. Response of DJIA returns to rational irrational social media and news sentiments.
Figure 7. Response of DJIA returns to rational irrational social media and news sentiments.
Jrfm 18 00016 g007
Figure 8. Response of RUSSELL 2000 returns to rational or irrational social media and news sentiments.
Figure 8. Response of RUSSELL 2000 returns to rational or irrational social media and news sentiments.
Jrfm 18 00016 g008
Table 1. Descriptive statistics. The variables are social media sentiments for S&P500 (Sent1), NASDAQ (Sent2), Dow Jones (Sent3), economic news sentiments (Sent4), short-term interest rates (TB1M), economic risk premia (TB3M_1M), future economic expectations (TB10Y_3M), business conditions (BAA_AAA), excess returns on market portfolio (MKT_RF), premium on a portfolio of small stocks minus large stocks (SMB), premium on a portfolio of high book-to-market stocks minus low book-to-market stocks (HML), premium on robust minus weak operating profitability portfolios (RMW), premium on conservative minus aggressive investment portfolios (CMA), momentum factor (MOM), currency fluctuation (USD), returns for S&P500 (SP500), Dow Jones (DJIA), NASDAQ (NASDAQ), and Russell 2000 (RUSSL).
Table 1. Descriptive statistics. The variables are social media sentiments for S&P500 (Sent1), NASDAQ (Sent2), Dow Jones (Sent3), economic news sentiments (Sent4), short-term interest rates (TB1M), economic risk premia (TB3M_1M), future economic expectations (TB10Y_3M), business conditions (BAA_AAA), excess returns on market portfolio (MKT_RF), premium on a portfolio of small stocks minus large stocks (SMB), premium on a portfolio of high book-to-market stocks minus low book-to-market stocks (HML), premium on robust minus weak operating profitability portfolios (RMW), premium on conservative minus aggressive investment portfolios (CMA), momentum factor (MOM), currency fluctuation (USD), returns for S&P500 (SP500), Dow Jones (DJIA), NASDAQ (NASDAQ), and Russell 2000 (RUSSL).
MeanMedianMaxMinStd. Dev.SkewnessKurtosis
TB1M0.62960.14002.4300−0.02000.80261.03672.5066
TB3M_1M0.03810.02000.2700−0.28000.06240.52555.5579
TB10Y_3M1.49101.57002.9400−0.45000.8037−0.38052.3332
BAA_AAA0.96440.91001.92000.54000.24830.71292.9234
MKT_RF0.05850.08603.2440−2.59600.4391−0.290513.8396
SMB−0.00160.00000.9760−1.48200.2616−0.03095.9310
HML−0.0116−0.02401.8180−1.88800.32710.175811.3046
RMW0.00280.00000.8120−0.52200.16850.38265.0265
CMA−0.0035−0.01200.5720−0.80600.1465−0.08885.8918
MOM0.00590.03401.2960−2.64800.4125−1.24799.3061
USD0.06070.04163.8475−1.46480.57120.91637.4099
DJIA0.18050.322312.0840−18.99782.2446−1.953920.0284
NASDAQ0.31830.45308.6672−13.51292.3185−1.07697.9394
RUSSL0.16170.23249.6873−24.49222.7251−2.280020.8907
SP5000.21490.36539.7697−16.22792.1180−1.733615.0449
SENT11.28661.134914.81000.49720.95258.6677106.2717
SENT21.35401.20504.34150.38900.58652.07878.9686
SENT31.03111.00952.49980.61010.19821.794512.0221
SENT40.03560.04290.4114−0.49860.1846−0.55713.4065
Table 2. Cross correlations. The variables are social media sentiments for S&P500 (Sent1), NASDAQ (Sent2), Dow Jones (Sent3), economic news sentiments (Sent4), short-term interest rates (TB1M), economic risk premia (TB3M_1M), future economic expectations (TB10Y_3M), business conditions (BAA_AAA), excess returns on market portfolio (MKT_RF), premium on a portfolio of small stocks minus large stocks (SMB), premium on a portfolio of high book-to-market stocks minus low book-to-market stocks (HML), premium on robust minus weak operating profitability portfolios (RMW), premium on conservative minus aggressive investment portfolios (CMA), momentum factor (MOM), currency fluctuation (USD), returns for S&P500 (SP500), Dow Jones (DJIA), NASDAQ (NASDAQ), and Russell 2000 (RUSSL).
Table 2. Cross correlations. The variables are social media sentiments for S&P500 (Sent1), NASDAQ (Sent2), Dow Jones (Sent3), economic news sentiments (Sent4), short-term interest rates (TB1M), economic risk premia (TB3M_1M), future economic expectations (TB10Y_3M), business conditions (BAA_AAA), excess returns on market portfolio (MKT_RF), premium on a portfolio of small stocks minus large stocks (SMB), premium on a portfolio of high book-to-market stocks minus low book-to-market stocks (HML), premium on robust minus weak operating profitability portfolios (RMW), premium on conservative minus aggressive investment portfolios (CMA), momentum factor (MOM), currency fluctuation (USD), returns for S&P500 (SP500), Dow Jones (DJIA), NASDAQ (NASDAQ), and Russell 2000 (RUSSL).
TB1MTB3M_1MTB10Y_3MBAA_AAAMKT_RFSMBHMLRMWCMAMOMUSDDJIANASDAQRUSSLSP500SENT1SENT2SENT3SENT4
TB1M1.00
TB3M_1M0.181.00
TB10Y_3M−0.79−0.031.00
BAA_AAA−0.16−0.19−0.161.00
MKT_RF−0.020.030.000.031.00
SMB−0.08−0.04−0.030.100.301.00
HML−0.130.050.070.090.200.201.00
RMW0.020.080.02−0.07−0.18−0.250.271.00
CMA−0.060.020.010.13−0.09−0.040.540.251.00
MOM0.030.020.03−0.09−0.23−0.37−0.62−0.21−0.281.00
USD−0.030.000.07−0.02−0.02−0.070.010.02−0.060.051.00
DJIA−0.020.070.010.04−0.010.080.110.060.09−0.07−0.371.00
NASDAQ−0.030.04−0.010.04−0.030.090.110.080.09−0.07−0.310.871.00
RUSSL−0.050.100.030.04−0.03−0.010.030.060.02−0.01−0.380.620.611.00
SP500−0.030.040.010.05−0.010.090.100.060.09−0.07−0.360.970.940.631.00
SENT1−0.010.07−0.100.12−0.010.01−0.05−0.03−0.030.060.02−0.11−0.10−0.06−0.111.00
SENT2−0.24−0.03−0.010.33−0.020.050.03−0.030.05−0.030.10−0.13−0.14−0.10−0.140.221.00
SENT3−0.150.04−0.070.190.020.070.070.000.06−0.040.03−0.18−0.21−0.16−0.200.410.331.00
SENT40.050.390.26−0.610.03−0.05−0.030.08−0.080.07−0.040.01−0.010.03−0.01−0.15−0.17−0.191.00
Table 3. Regression results for the effect of rational factors on social media and news sentiments. The variables are social media sentiments for S&P500 (Sent1), NASDAQ (Sent2), Dow Jones (Sent3), economic news-based sentiments (Sent4), short-term interest rates (TB1M), economic risk premia (TB3M_1M), future economic expectations (TB10Y_3M), business conditions (BAA_AAA), excess returns on market portfolio (MKT_RF), premium on a portfolio of small stocks minus large stocks (SMB), premium on a portfolio of high book-to-market stocks minus low book-to-market stocks (HML), premium on robust minus weak operating profitability portfolios (RMW), premium on conservative minus aggressive investment portfolios (CMA), momentum factor (MOM), and currency fluctuation (USD). Standard errors are in parentheses. ** and *** represent significance at 10%, 5%, and 1%, respectively.
Table 3. Regression results for the effect of rational factors on social media and news sentiments. The variables are social media sentiments for S&P500 (Sent1), NASDAQ (Sent2), Dow Jones (Sent3), economic news-based sentiments (Sent4), short-term interest rates (TB1M), economic risk premia (TB3M_1M), future economic expectations (TB10Y_3M), business conditions (BAA_AAA), excess returns on market portfolio (MKT_RF), premium on a portfolio of small stocks minus large stocks (SMB), premium on a portfolio of high book-to-market stocks minus low book-to-market stocks (HML), premium on robust minus weak operating profitability portfolios (RMW), premium on conservative minus aggressive investment portfolios (CMA), momentum factor (MOM), and currency fluctuation (USD). Standard errors are in parentheses. ** and *** represent significance at 10%, 5%, and 1%, respectively.
Sent1Sent2Sent3Sent4
C1.7194 ***1.5335 ***1.2420 ***0.1645 ***
(0.3521)(0.1992)(0.0700)(0.0494)
TB1M−0.3177 ***−0.3903 ***−0.1357 ***−0.0535 ***
(0.1042)(0.0590)(0.0207)(0.0146)
TB3M_1M−1.9245 **−0.9117 **−0.4350 ***−0.7950 ***
(0.7473)(0.4229)(0.1487)(0.1049)
TB10Y_3M−0.3552 ***−0.2889 ***−0.1224 ***−0.0886 ***
(0.1025)(0.0580)(0.0204)(0.0144)
BAA_AAA−0.2272−0.1740−0.0406−0.3368 ***
(0.2075)(0.1174)(0.0413)(0.0291)
MKT_RF−0.0069−0.04250.00310.0161
(0.1116)(0.0632)(0.0222)(0.0157)
SMB0.0382−0.00430.01390.0836 ***
(0.2020)(0.1143)(0.0402)(0.0283)
HML−0.0756−0.1033−0.00190.0695 **
(0.2067)(0.1170)(0.0411)(0.0290)
RMW−0.0118−0.03690.00520.0574
(0.3016)(0.1706)(0.0600)(0.0423)
CMA−0.10090.11100.0424−0.0344
(0.3791)(0.2145)(0.0754)(0.0532)
MOM0.1457−0.04490.00140.0246
(0.1489)(0.0843)(0.0296)(0.0409) **
USD0.0452 ***0.1174 ***0.01860.0231 **
(0.0787)(0.0445)(0.0156)(0.0110)
R-squared0.05650.20330.13750.5052
Durbin–Watson 1.48871.47671.00710.20564
S.E. of regression0.93690.53010.18640.1315
Sum squared resid380.0615121.684015.03967.4857
Log-likelihood−596.3302−342.9238122.2661277.5034
F-statistic2.355110.04696.277240.1882
Disclaimer/Publisher’s Note: The statements, opinions and data contained in all publications are solely those of the individual author(s) and contributor(s) and not of MDPI and/or the editor(s). MDPI and/or the editor(s) disclaim responsibility for any injury to people or property resulting from any ideas, methods, instructions or products referred to in the content.

Share and Cite

MDPI and ACS Style

Verma, R.; Verma, P. Economic News, Social Media Sentiments, and Stock Returns: Which Is a Bigger Driver? J. Risk Financial Manag. 2025, 18, 16. https://doi.org/10.3390/jrfm18010016

AMA Style

Verma R, Verma P. Economic News, Social Media Sentiments, and Stock Returns: Which Is a Bigger Driver? Journal of Risk and Financial Management. 2025; 18(1):16. https://doi.org/10.3390/jrfm18010016

Chicago/Turabian Style

Verma, Rahul, and Priti Verma. 2025. "Economic News, Social Media Sentiments, and Stock Returns: Which Is a Bigger Driver?" Journal of Risk and Financial Management 18, no. 1: 16. https://doi.org/10.3390/jrfm18010016

APA Style

Verma, R., & Verma, P. (2025). Economic News, Social Media Sentiments, and Stock Returns: Which Is a Bigger Driver? Journal of Risk and Financial Management, 18(1), 16. https://doi.org/10.3390/jrfm18010016

Article Metrics

Back to TopTop