Bibliometric Analysis of the Machine Learning Applications in Fraud Detection on Crowdfunding Platforms
Abstract
1. Introduction
- ▪
- RQ1: What are the most promising machine learning techniques in detecting fraud on digital crowdfunding platforms?
- ▪
- RQ2: Which types of fraud are commonly found in studies?
- ▪
- RQ3: What representative works were developed to detect fraud in digital crowdfunding platforms?
- ▪
- RQ4: Which countries or groups of countries have the highest academic output in fraud detection on digital crowdfunding platforms? Are there any significant differences in their contributions compared to the total citations?
- ▪
- RQ5: What are the clusters and statistical comparison analyses between the universities, publishers, and journals, compared to the total citations? Are there any statistical differences between those variables compared to the total citations?
- ▪
- RQ6: What future trends and developments are expected in this area of research?
2. Materials and Methods
2.1. Bibliometric Analysis
- ▪
- Research must be related to fraud detection and types of fraud on digital crowdfunding platforms. For this reason, research topics related to cryptocurrencies, marketing, blockchain, e-commerce, and cryptocurrency are excluded.
- ▪
- For this study, two of the most remarkable and widely used databases in the academic and scientific world, Scopus and Web of Science (WoS), were selected. These two databases have been used in various review works, providing robust conceptual tools for the state of a particular investigation (Pranckutė 2021).
- ▪
- The years of the search were chosen to span from 2018 to April 2024, covering the pre- and post-COVID-19 pandemic periods. This choice corresponds to the period of growth in digital platforms, underscoring the pertinence and timeliness of our research. The AND connector used and separated combinations of the following keys: equity, crowdfunding, fraud, detection, machine learning, tax planning, and security.
- ▪
- Journals, working papers, and conference documents must be peer-reviewed and belong to institutional universities or research centers. It is important to clarify that conference papers were selected because they typically provide information on the latest innovations and trends before they appear in journal publications.
- ▪
- All PRISMA steps were carried out manually and humanly without requiring artificial intelligence. The authors reviewed the title, abstract, and conclusions and then conducted a subsequent reading of the document.
2.2. Statistical Analysis
3. Results
3.1. Overview of Main Works
- ▪
- 1.4% of the works were published before 2018, so 98.6% of the documents were published in recent years. The above reaffirms that the post-pandemic period has represented the development of digital crowdfunding platforms and the need to analyze and detect fraud using machine learning techniques.
- ▪
- The machine learning algorithm most employed by the different studies is Random Forest (with 9% of the total methods used in the studies), followed by Latent Dirichlet Allocation and Support Vector Machine (both methods with 7% of the total studies), and finally the methods of Decision Trees, Logistic Regression, Long Short-Term Memory and Neural Networks (RQ1 is Answered).
- ▪
- 42% of the studies were published in high-impact journals in Q1, followed by Q2 with 8% and Q3 and Q4 with 12% and 8%, respectively. It is important to highlight that Q1 articles concentrate the highest number of citations around 91%, followed by Q2 journals with 6%, and finally, 3% of citations with unclassified journals.
- ▪
- Cumming et al. (2021) is the article with the highest number of citations of 185 and self-citations of 20. On the other hand, Belavina et al. (2020) have 136 citations and ten self-citations. The two studies described above use Propensity Score Matching (PSM) and sequential testing to model the early detection of fraud on digital crowdfunding platforms. Although some recent studies have few or no citations, common in recent publications, the diversity of methods used, and international collaboration underlines the importance and growing interest in fraud detection using advanced techniques.
- ▪
- The most frequent publishers include Elsevier, Springer, and MDPI, indicating their relevance in this field of research. Institutional collaboration is mostly between one or two institutions.
- ▪
- The main types of fraud on crowdfunding platforms include personal fraud, such as plagiarism of content and collusion with auditors, and the creation of fraudulent projects, which may be feasible but undeliverable, impractical, or technically unfeasible. There are also frauds related to hacking attacks on microgrid investment platforms and fraud in rewards-based campaigns. Other types of fraud include misinformation about technologies such as 5G, diversion of funds and misuse of money, and fraud in donation-based crowdfunding campaigns. Also included are prevented fraud, where campaigns were stopped before transferring funds and attempted fraud, where the fraud was discovered after funds were received (RQ2 is Answered).
- ▪
- Digital platforms used in the studies include GoFundMe, Kickstarter, Indiegogo (Belavina et al. 2020; Perez et al. 2022), LendingClub, and Seedrs (Huo et al. 2024).
- ▪
- Research in fraud detection and risk management on crowdfunding platforms has explored different methodologies. Xu et al. (2023) and Bafna et al. (2023) propose decentralized systems based on blockchain and Ethereum smart contracts to ensure proper utilization of funds, avoiding external influences and fraud. On the other hand, Hou and Qu (2023) and Li and Qu (2022) use machine learning models such as BERT, BNB, MT5, and hybrid classifiers to detect logical contradictions and misleading narratives in crowdfunding projects. Prateek et al. (2021) and Shafqat et al. (2020) demonstrate the effectiveness of combining machine learning classifiers with rule-based models to identify fraud. Wu et al. (2022) highlight the importance of evaluating crowdfunding platforms for investments in microgrids, while Cumming et al. (2021) and Lee et al. (2022) highlight the precision of logistic regression to detect fraud. Furthermore, studies such as that of Winoto and Wulandari (2023) and Meoli et al. (2022) analyze the impact of regulation and financial literacy on the crowdfunding ecosystem to mitigate risks such as adverse selection and moral hazard. Finally, Elmer and Ward-Kimola (2023) and Han and Dang (2020) investigate how crowdfunding platforms can spread disinformation. Also, these authors concluded the importance of ML algorithms for early warning systems in proactive fraud prevention. Table 1 displays the most representative works. (RQ3 is Answered). The above authors report high accuracy values, around 98%, in fraud detection (Shafqat et al. 2020; Choi et al. 2022). It is important to note that machine learning techniques have been successfully used in other contexts and applications. For example, in predicting the success of crowdfunding campaigns, Logistic Regression, with or without PCA, showed an appropriate performance, reaching an accuracy of 84%. Random Forest with PCA obtained an accuracy of 82%, while XGBoost with PCA achieved an accuracy of 83% (Raflesia et al. 2023). Other applications detect fake news information, where the Bi-LSTM algorithm showed an accuracy of 96.77% (Hamed et al. 2023). These applications show an excellent opportunity for machine learning algorithms to be used in fake news and fraud prediction.
| Study | First Author (Reference) | Journal Title | Type of Document | Publication Year | Fraud Type Evaluated | Fraud Detection in Crowdfunding Platforms | Number of Citations (Auto Citations) | Number of Institutions Involved | Publisher | Number of Countries | Journal Quartile |
|---|---|---|---|---|---|---|---|---|---|---|---|
| 1 | Mohammadi et al. (2025) | International Journal of Finance & Managerial Accounting | Journal Article | 2025 | Fraudsters may use asymmetric information and regulatory loopholes to deceive investors. | NN | 0 (0) | 1 | Inderscience | 1 | Q3 |
| 2 | Huo et al. (2024) | Information Processing & Management | Journal Article | 2024 | Risks and challenges associated with information disclosure on crowdfunding platforms and how they affect resource acquisition for digital ventures. | STM | 1 (0) | 5 | Elsevier | 3 | Q1 |
| 3 | Bafna et al. (2023) | Journal of Information and Computational Science | Journal Article | 2023 | Embezzlement of funds, lack of value returned to contributors, misuse of money. | Not Applied | 0 (0) | 1 | Binary Information Press | 1 | Q4 |
| 4 | Bianda et al. (2023) | Journal of World Science | Journal Article | 2023 | Types of frauds related to crowdfunding services based on Sharia principles (Riba, Gharar, Maysir, Tadlis, Dharar, Al-Ta’addi, Al-Taqshir, Mukhalafah al-shurut, Zhulm). | Not Applied | 3 (0) | 1 | Riviera Publishing | 1 | NC |
| 5 | Elmer and Ward-Kimola (2023) | Media, Culture & Society | Journal Article | 2023 | Electoral fraud, disinformation about 5G. | Not Applied | 6 (2) | 2 | SAGE Publications Ltd. | 1 | Q1 |
| 6 | Hou and Qu (2023) | Current applied science and technology | Journal Article | 2023 | Feasible but fraudulent projects, impractical fraudulent projects. | BERT, MT5, SP, AFT | 0 (0) | 1 | King Mongkut’s Institute of Technology Ladkrabang | 2 | Q4 |
| 7 | Lathifah et al. (2022) | 2022 10th International Conference on Cyber and IT Service Management (CITSM) | conference | 2022 | Unauthorized access control in administrative areas, advanced SQL injection vulnerabilities, insecure design, misconfiguration of security, vulnerable and outdated components, software and data integrity failures. | Not Applied | 2 (0) | 1 | IEEE Xplore | 1 | NC |
| 8 | Winoto and Wulandari (2023) | Management Studies and Entrepreneurship Journal | Journal Article | 2023 | Fraud in data verification, explorative analysis, fraud in project presentation, fraud in project execution, asymmetric information risk. | Not Applied | 0 (0) | 1 | YRPI | 1 | NC |
| 9 | Xu et al. (2023) | Information Sciences | Journal Article | 2023 | Personal fraud, content plagiarism, collusion with auditors. | Not Applied | 5 (0) | 2 | Elsevier | 1 | Q1 |
| 10 | Zkik et al. (2023) | Electronic Commerce Research | Journal Article | 2024 | Re-entry attacks, infinite loop attacks, block timestamp attacks, Advanced Persistent Threats (APTs), malware, Distributed Denial-of-Service (DDoS) attacks. | AdaBoost, XGBoost, RF | 4 (0) | 3 | Springer | 3 | Q1 |
| 11 | Choi et al. (2022) | KSII Transactions on Internet and Information Systems | Journal Article | 2022 | Detect fraudulent activities within health-related crowdfunding campaigns on platforms like GoFundMe. | LDA, CF | 0 (0) | 3 | Korea Society of Internet Information | 1 | Q3 |
| 12 | Lee et al. (2022) | Sensors | Journal Article | 2022 | Fraud in reward-based crowdfunding campaigns. | LR, FSLR | 2 (0) | 2 | MDPI | 2 | Q1 |
| 13 | Li and Qu (2022) | Songklanakarin Journal of Science & Technology | Journal Article | 2022 | Projects with logically feasible and practical concepts and technically infeasible projects. | BNB, NO, BK | 0 (0) | 1 | Songklanakarin Journal of Science & Technology | 2 | Q3 |
| 14 | Meoli et al. (2022) | Corporate Governance: An International Review | Journal Article | 2022 | Fraud related to equity-based crowdfunding, especially concerning investor financial literacy. | Not Applied | 50 (7) | 2 | Emerald Group Publishing Ltd. | 1 | Q1 |
| 15 | Perez et al. (2022) | Proceedings of the 14th ACM Web Science Conference 2022 | conference | 2020 | Embezzlement fraud, opportunistic fraud, total fraud. | RF, AdaBoost, DT, k-NN, NB, SVM, EC, MLP | 12 (1) | 3 | arXiv | 2 | NC |
| 16 | Riadi et al. (2022) | Engineering Science Letter | Journal Article | 2022 | Fraud related to the security of crowdfunding services in charitable organizations. | Not Applied | 0 (0) | 1 | The Indonesian Institute of Science and Technology | 1 | NC |
| 17 | Wu et al. (2022) | Financial Innovation | Journal Article | 2022 | Fraud and hacking attacks on crowdfunding platforms for investments in microgrid projects. | q-ROFSs, M-SWARA, DEMATEL, TOPSIS, IFS and PFS | 40 (17) | 2 | Springer | 2 | Q1 |
| 18 | Cumming et al. (2021) | Journal of Business Ethics | Journal Article | 2021 | Prevented fraud, attempted fraud, fraud in campaigns with delays of more than a year, no communication for six months, and no rewards. | PSM | 185 (20) | 5 | Springer | 3 | Q1 |
| 19 | Prateek et al. (2021) | WISP 2021 Proceedings. 2. | conference | 2021 | Fraudulent campaigns on donation-based crowdfunding platforms. | RF, SVM | 0 (0) | 1 | AIS Electronic Library | 1 | NC |
| 20 | Belavina et al. (2020) | Management Science | Journal Article | 2020 | Embezzlement of funds, and performance opacity. | ST | 136 (10) | 2 | INFORMS | 1 | Q1 |
| 21 | Han and Dang (2020) | Proceedings of the 7th International Conference on Management of e-Commerce and e-Government | conference | 2020 | Failure to pay promised returns, delayed return payments, breach of established agreements, and lack of post-sale services. | RF, SVM | 0 (0) | 1 | ACM DL | 1 | NC |
| 22 | Petrov and Emelyanova (2021) | CEUR Workshop Proceedings | conference | 2021 | Bankruptcy risks, fraud or unfair practices, risks associated with public offerings and unlicensed activities, information disclosure risks, and illegal platform use risks. | SA, LR, NN, DT, NBC | 2 (0) | 2 | CEUR Workshop Proceedings | 1 | NC |
| 23 | Shafqat et al. (2020) | Applied Sciences | Journal Article | 2020 | Successfully funded but not delivered projects, canceled projects, and projects suspended for fraud. | LDA, LSTM. | 4 (0) | 2 | MDPI | 1 | Q2 |
| 24 | Ellman and Hurkens (2019a) | Economics Letters | Journal Article | 2019 | Fraud in the context of reward-based crowdfunding. | Not Applied | 27 (3) | 1 | Elsevier | 1 | Q2 |
| 25 | Shafqat and Byun (2019) | Applied Sciences | Journal Article | 2019 | Misrepresentation of ideas, advance fee fraud, investment fraud, non-payment or non-delivery, personal data breach. | LSTM-LDA | 18 (4) | 1 | MDPI | 1 | Q1 |
| 26 | Zenone and Snyder (2019) | Policy & Internet | Journal Article | 2019 | Faking or exaggerating one’s own illness, faking or exaggerating someone else’s illness, identity theft, and misuse of funds. | Not Applied | 51 (3) | 1 | John Wiley and Sons Ltd. | 1 | Q1 |
3.2. Principal Component Analysis (PCA) Results
3.3. Statistical Comparison Analysis
- ▪
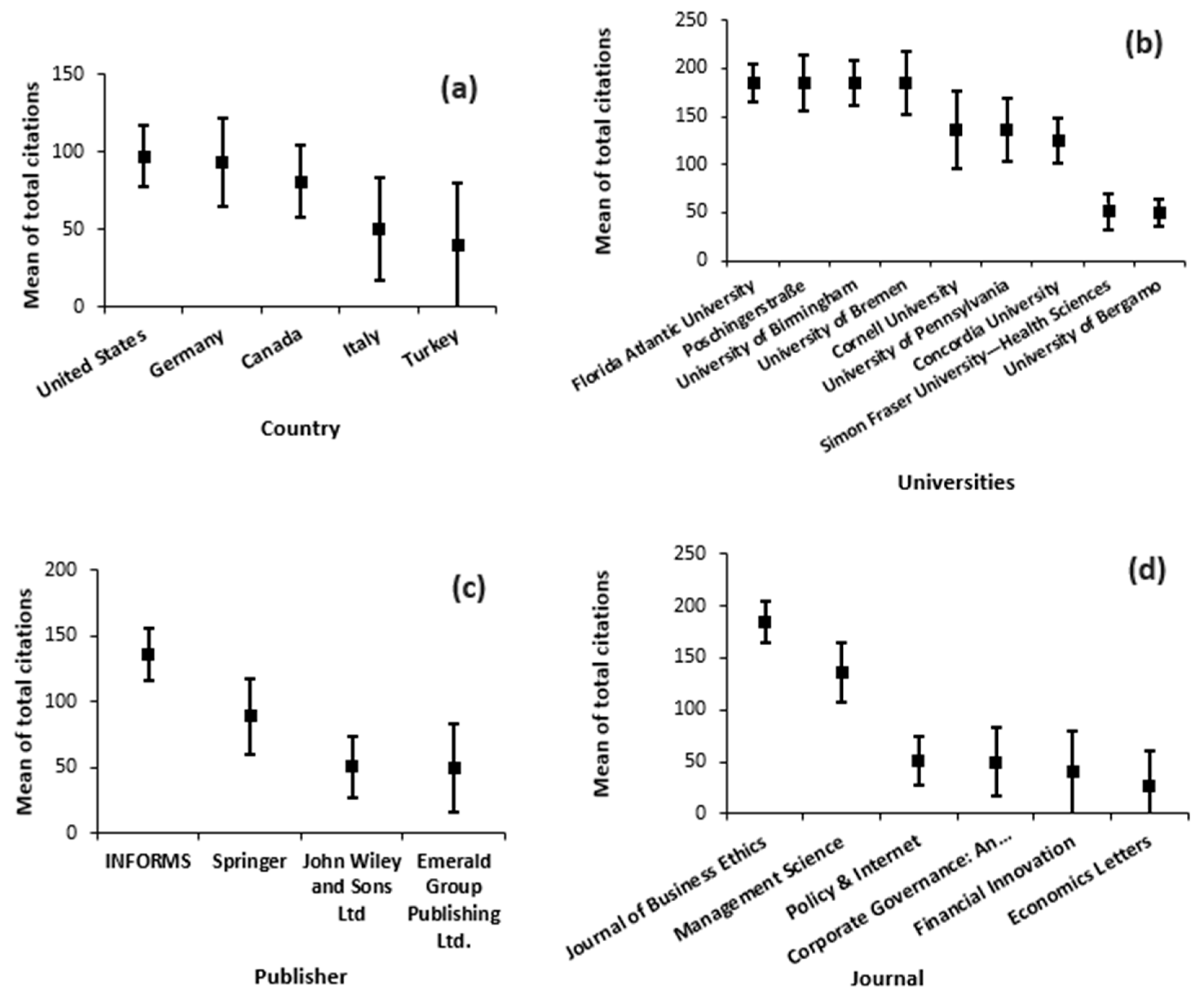
- The comparison of the five countries with the highest citations shows no statistically significant differences at the 95% confidence level. The above implies that the United States, Germany, Canada, Italy, and Turkey are the most representative countries in terms of total citations, and are the countries whose works have had remarkable visualization in the academic community (RQ4 is Answered).
- ▪
- The comparison of the universities reveals two groups. The first group comprises Florida Atlantic University, Poschingerstraße, University of Birmingham, University of Bremen, Cornell University, University of Pennsylvania, and Concordia University. The second group includes Simon Fraser University-Health Sciences and the University of Bergamo. For the universities in the first group, no statistically significant differences are observed at the 95% confidence level, which indicates that their academic production is being recognized and that they are the most proficient universities for producing some research work. However, with fewer citations, the second group presents significant differences from the first group (RQ5 is Answered).
- ▪
- The comparison of the publishers shows three groups. The first group, with the highest citations, consists of Springer and John Wiley and Sons Ltd. The second group includes Emerald Group Publishing Ltd. and Proceedings of the 14th ACM Web Science. The last group consists of the Proceedings of the 14th ACM Web Science. The first group’s editorials present more citations and significant differences from the other two groups. It is essential to highlight that these publishers’ focus on publishing works related to fraud, identification, and control, using machine learning techniques (RQ5 is Answered).
- ▪
- The comparison of journals shows two groups. The first group includes the Journal of Business Ethics and Management Science, while the second group includes Policy & Internet, Corporate Governance: An International Review, Financial Innovation, and Economics Letters. All these journals and their editors are interested in improving their research on fraud identification using machine learning methods on crowdfunding platforms (RQ5 is Answered).
4. Challenges and Further Studies on Fraud Detection in Crowdfunding Platforms
4.1. Data Challenges and ML Algorithms
4.2. Improvements in Crowdfunding Platforms: Design, Policies and Inter-Operability
- ▪
- Analyze how new technologies such as blockchain, big data, augmented reality, and virtual reality can increase transparency and trust in these platforms. These technologies can improve project presentation and sponsor engagement (Zhou et al. 2023; Ratten 2023; Yang et al. 2023). In addition, it is important to explore innovative business models that integrate analytical and digital marketing services. The above could strengthen the long-term financial sustainability of crowdfunding platforms and make them more resilient (Zhou et al. 2023; Ratten 2023; Yang et al. 2023).
- ▪
- The competition between platforms and how this influences their strategies can help them effectively differentiate themselves in the market (Zhou et al. 2023). Further work in AI can be carried out to personalize and adapt the user experience to their interests and behaviors (Yang et al. 2023; Gawer 2021; Chen et al. 2022).
- ▪
- Ensuring transparency and ethical practices to safeguard user data privacy and foster trust (Yang et al. 2023; Chen et al. 2022; Vicari and Kirby 2023). Implementing incentive and control mechanisms can enhance relationship management with project creators and contributors (Chen et al. 2022).
- ▪
- The role of crowdfunding platforms in supporting entrepreneurship, particularly in times of global crises, is not just a theoretical concept but a practical solution for entrepreneurs and small businesses (Ratten 2023). This aspect warrants further investigation.
- ▪
- Facilitating networking and inter-operability among entrepreneurs, investors, and consumers, and examining effective digital marketing strategies can attract more participants to these platforms (Ratten 2023; Yang et al. 2023).
- ▪
- The regulatory environment can be studied to maintain competitiveness and innovation while mitigating risks such as fraud and privacy issues (Gawer 2021, 2022). Future studies should consider how platform- and policy-design changes can improve well-being and market efficiency, testing different design elements and policy interventions to observe their impact on contributor behavior and campaign success.
- ▪
- Deeper research is needed to understand endogenous anonymity election and its broader implications, exploring the various factors that lead contributors to choose anonymity and how these choices affect the overall crowdfunding ecosystem (Burtch et al. 2016; Wonglimpiyarat 2018).
- ▪
- It is important to incorporate crowdfunding campaigns with traditional marketing channels such as social media, email marketing, and public relations to maximize their reach. Furthermore, these campaigns contribute to brand building and long-term customer loyalty and have great potential in B2B markets, facilitating the launch of industrial products and technologies. It is important to explore the impact of equity crowdfunding on investor relations and corporate governance and its ability to foster innovation and support new technologies and business models. Considering the regulatory environment and legal implications ensures compliance and effectiveness of campaigns (Brown et al. 2017). Addressing ethical considerations and social impact ensures responsible practices and a positive societal effect.
- ▪
- Finally, comparative studies between different countries can provide valuable insights into how cultural, economic, and regulatory environments influence the success of crowdfunding platforms, helping to identify best practices and areas for improvement (Bassani et al. 2019).
4.3. Strategies and Challenges in Cybersecurity and Fraud Education: Methods, Academic Programs and Gamification Learning Platforms
4.4. Implementing Machine Learning for Fraud Detection in Crowdfunding Platforms
5. Limitations of the Study
6. Conclusions
- ▪
- In this work, a bibliometric analysis is carried out to identify the most relevant studies on fraud detection in digital crowdfunding platforms using machine learning techniques. The analyses were carried out during the COVID-19 pandemic and post-pandemic period, from 2018 to 2024. Using the PRISMA methodology, 26 works were retrieved from the two databases, Scopus and Web of Science. The common fraud methods in this digital platform are fraud in crowdfunding campaigns based on rewards, fraudulent campaigns based on donations, embezzlement and misuse of funds, fraud due to embezzlement, use of information asymmetric, and regulatory loopholes to deceive investors. Furthermore, machine learning techniques used at industrial and academic levels include Random Forest (RF), Support Vector Machine (SVM), Logistic Regression (LR), Neural Networks (NN), Naive Bayes (NB), Decision Trees (DT), Latent Dirichlet Allocation (LDA), and Long Short-Term Memory (LSTM), among others.
- ▪
- The results of the analysis reveal that Cumming, D., followed by Belavina, E., are the authors with the highest publications and citations. At the same time, Sharfqat, W. and Shang, W. L. have the lowest citations. It is important to note that the universities with the highest number of publications and citations are Concordia University, with more than 350 citations; the University of Pennsylvania, with around 250 citations; and Florida Atlantic University and Poschingerstraße, with about 150 citations each. Other institutions in the topmost prolific universities, although with fewer than 150 citations, include Birmingham, Bremen, Bergamo, and Cornell Universities.
- ▪
- The analysis of the principal components shows that two principal components influence the countries where the authors are affiliated. The first component is influenced by “number of authors”, “number of institutions”, and “Q1”, while Component 2 is influenced by “year.” Regarding institutions, the first component is related to “year” and “Journal Article”, while “conference” is in the opposite direction to “Journal Article”, showing contrasting characteristics. The authors prefer to publish in scientific journals rather than conferences, and the journal quartile (Q1 and Q2) reflects different patterns of association. The “number of authors” relates primarily to Component 1. The analysis also shows that Canada, France, Morocco, Thailand, India, the United Kingdom, and Italy form a close group, indicating similar values in publications, citations, and several institutions participating in the research. Germany and Iran present moderate differences. The United States and Japan are further apart, pointing to significant differences. Spain and Indonesia are together, but at some distance, while the United States and Spain are similar to each other but different from the previous group. China and Korea form the most distant group, suggesting very different values.
- ▪
- Further studies that will impact this research topic are highlighted by the need to expand the data set and integrate advanced linguistic analyses, allowing for a more complete analysis. Incorporating real-time data and developing adaptive versions of the method will improve responsiveness. Exploring new algorithms and optimizing models are important to increase accuracy. Developing appropriate policies and regulations aims to ensure a practical operational framework. These joint approaches will strengthen early anomaly detection and improve efficiency in industrial contract management.
- ▪
- This work provides tools for understanding recent studies of fraud detection on crowdfunding platforms using machine learning techniques. The above enables accurate and faster identification of fraudulent activities, thereby protecting investors and reducing associated financial risks. Furthermore, collaboration between academic institutions and industries facilitates the development of new technologies and methodologies to address practical problems and strengthens the regulatory framework and trust in these platforms. So, this work identifies global trends, future research directions, and opportunities for continued innovations in the security and efficiency of crowdfunding platforms.
Author Contributions
Funding
Data Availability Statement
Acknowledgments
Conflicts of Interest
List of Abbreviations
| AFT | Adaptive Fuzzy Training |
| AI | Artificial Intelligence |
| ANAC | Italy’s National Anti-Corruption Authority |
| ANN | Artificial Neural Network |
| AR | Augmented Reality. |
| BBN | Bayesian Belief Network |
| BERT | Bidirectional Encoder Representations from Transformers |
| BK | Balanced K-means |
| BNB | Binomial Naive Bayes |
| CART | Classification and Regression Trees |
| CBS | Cost Breakdown Structure |
| CF | Collaborative Filtering |
| DEMATEL | Decision-Making Trial and Evaluation Laboratory |
| DNN | Deep Neural Network |
| DT | Decision Trees |
| EmPULIA | Digital platform for public tenders in Apulia |
| EU | European Union |
| FSLR | Forward Stepwise Logistic Regression |
| GBM | Gradient Boosting Machine |
| IEEE | Institute of Electrical and Electronics Engineers |
| IF | Isolation Forest |
| IFS | Intuitionistic Fuzzy Sets |
| INCM | Portuguese Mint and Official Printing Office |
| IoT | Internet of Things |
| KNN | K-Nearest Neighbors |
| k-NN | k-Nearest Neighbors |
| LaBSE | Language-agnostic BERT Sentence Embedding |
| LASER | Language-Agnostic SEntence Representations |
| LDA | Latent Dirichlet Allocation |
| LR | Logistic Regression |
| LSTM | Long Short-Term Memory |
| LSTM-LDA | Long Short-Term Memory—Latent Dirichlet Allocation |
| MBERT | Bidirectional Encoder Representations from Transformers Multilingüe |
| MDL | Minimum Description Length |
| ML | Machine Learning |
| MLP | Multilayer Neural Network |
| MLP | Multilayer Perceptron |
| M-SWARA | Modified Step-wise Weight Assessment Ratio Analysis |
| MT5 | Multilingual Text-to-Text Transfer Transformer |
| NB | Naive-Bayes |
| Neural | Network |
| NLP | Natural Language Processing |
| PCA | Principal Component Analysis |
| PFS | Pythagorean Fuzzy Sets |
| PRISMA | Preferred Reporting Items for Systematic Reviews and Meta-Analyses |
| PSA | Production Sharing Agreements |
| PSM | Propensity Score Matching |
| Q | Quartile |
| q-ROFSs | q-Rung Orthopair Fuzzy Sets |
| RBFN | Radial Basis Function Network |
| RF | Random Forest |
| RQ | Research Question |
| SciML | Scientific Machine Learning |
| SCSC | Supply Chain Smart Contract |
| SD | Standard Deviation |
| SMS | Safety Management Systems |
| SP | Stochastic Programming |
| ST | Sequential Testing |
| STM | Structural Topic Modelling |
| SVM | Support Vector Machine |
| TOPSIS | Technique for Order of Preference by Similarity to Ideal Solution |
| UAV | Unmanned Aerial Vehicles |
| WBS | Work Breakdown Structure |
| XGBoost | Extreme Gradient Boosting |
| XLMR | Cross-lingual Language Model Pretraining |
References
- Aarts, Sil, Marjan Van Den Akker, and Bjorn Winkens. 2014. The Importance of Effect Sizes. The European Journal of General Practice 20: 61–64. [Google Scholar] [CrossRef] [PubMed]
- Ahmad, Norita, Phillip A. Laplante, Joanna F. DeFranco, and Mohamad Kassab. 2021. A Cybersecurity Educated Community. IEEE Transactions on Emerging Topics in Computing 10: 1456–63. [Google Scholar] [CrossRef]
- Aksnes, Dag W., Liv Langfeldt, and Paul Wouters. 2019. Citations, Citation Indicators, and Research Quality: An Overview of Basic Concepts and Theories. Sage Open 9: 2158244019829575. [Google Scholar] [CrossRef]
- Bafna, Bhavana, Vedant Daigavane, Shlok Shaha, Gaurav Shinde, and Sachin Shelke. 2023. Decentralized Transaction System for Detection and Prevention of Fraud in Crowdfunding Platforms. Journal of Information and Computational Science 13: 133–38. [Google Scholar]
- Bassani, Gaia, Nicoletta Marinelli, and Silvio Vismara. 2019. Crowdfunding in Healthcare. The Journal of Technology Transfer 44: 1290–310. [Google Scholar] [CrossRef]
- Behl, Abhishek, Pankaj Dutta, Zongwei Luo, and Pratima Sheorey. 2022. Enabling Artificial Intelligence on a Donation-Based Crowdfunding Platform: A Theoretical Approach. Annals of Operations Research 319: 761–89. [Google Scholar] [CrossRef]
- Belavina, Elena, Simone Marinesi, and Gerry Tsoukalas. 2020. Rethinking Crowdfunding Platform Design: Mechanisms to Deter Misconduct and Improve Efficiency. Management Science 66: 4980–97. [Google Scholar] [CrossRef]
- Bianda, Ryan, Aang Gunaepi, and Muhammad Misbakul Munir. 2023. Offering Sharia Securities Through Technology-Based Crowdfunding Services Based on Sharia Principles According to MUI Fatwa. Journal of World Science 2: 332–40. [Google Scholar] [CrossRef]
- Brown, Terrence E., Edward Boon, and Leyland F. Pitt. 2017. Seeking Funding in Order to Sell: Crowdfunding as a Marketing Tool. Business Horizons 60: 189–95. [Google Scholar] [CrossRef]
- Burtch, Gordon, Anindya Ghose, and Sunil Wattal. 2016. Secret Admirers: An Empirical Examination of Information Hiding and Contribution Dynamics in Online Crowdfunding. Information Systems Research 27: 478–96. [Google Scholar] [CrossRef]
- Butt, Umer Ahmed, Muhammad Mehmood, Syed Bilal Hussain Shah, Rashid Amin, M. Waqas Shaukat, Syed Mohsan Raza, Doug Young Suh, and Md. Jalil Piran. 2020. A Review of Machine Learning Algorithms for Cloud Computing Security. Electronics 9: 1379. [Google Scholar] [CrossRef]
- Cardona, Luis F., Jaime A. Guzmán-Luna, and Jaime A. Restrepo-Carmona. 2024. Bibliometric Analysis of Intelligent Systems for Early Anomaly Detection in Oil and Gas Contracts: Exploring Recent Progress and Challenges. Sustainability 16: 4669. [Google Scholar] [CrossRef]
- Chen, Liang, Tong W. Tong, Shaoqin Tang, and Nianchen Han. 2022. Governance and Design of Digital Platforms: A Review and Future Research Directions on a Meta-Organization. Journal of Management 48: 147–84. [Google Scholar] [CrossRef]
- Choi, Jaewon, Jaehyoun Kim, and Ho Lee. 2022. Hybrid Fraud Detection Model: Detecting Fraudulent Information in the Healthcare Crowdfunding. KSII Transactions on Internet and Information Systems (TIIS) 16: 1006–27. [Google Scholar]
- Cicchiello, Antonella Francesca, Francesca Battaglia, and Stefano Monferrà. 2019. Crowdfunding Tax Incentives in Europe: A Comparative Analysis. The European Journal of Finance 25: 1856–82. [Google Scholar] [CrossRef]
- Cumming, Douglas, Lars Hornuf, Moein Karami, and Denis Schweizer. 2021. Disentangling Crowdfunding from Fraudfunding. Journal of Business Ethics 1: 26. [Google Scholar]
- Elitzur, Ramy. 2024. Machine Learning and Non-Investment Crowdfunding Research: A Tutorial. Journal of Alternative Finance 1: 109–27. [Google Scholar] [CrossRef]
- Ellman, Matthew, and Sjaak Hurkens. 2019a. Fraud Tolerance in Optimal Crowdfunding. Economics Letters 181: 11–16. [Google Scholar] [CrossRef]
- Ellman, Matthew, and Sjaak Hurkens. 2019b. Optimal Crowdfunding Design. Journal of Economic Theory 184: 104939. [Google Scholar] [CrossRef]
- Elmer, Greg, and Sabrina Ward-Kimola. 2023. Crowdfunding (as) Disinformation: ‘Pitching’ 5G and Election Fraud Campaigns on GoFundMe. Media, Culture and Society 45: 578–94. [Google Scholar] [CrossRef]
- Freedman, Seth, and Ginger Zhe Jin. 2011. Learning by Doing with Asymmetric Information: Evidence from Prosper.com. Working Paper. New York: National Bureau of Economic Research, Inc. [Google Scholar]
- Gawer, Annabelle. 2021. Digital Platforms’ Boundaries: The Interplay of Firm Scope, Platform Sides, and Digital Interfaces. Long Range Planning 54: 102045. [Google Scholar] [CrossRef]
- Gawer, Annabelle. 2022. Digital Platforms and Ecosystems: Remarks on the Dominant Organizational Forms of the Digital Age. Innovation 24: 110–24. [Google Scholar] [CrossRef]
- Goodell, John W., Satish Kumar, Weng Marc Lim, and Debidutta Pattnaik. 2021. Artificial Intelligence and Machine Learning in Finance: Identifying Foundations, Themes, and Research Clusters from Bibliometric Analysis. Journal of Behavioral and Experimental Finance 32: 100577. [Google Scholar] [CrossRef]
- Granato, Daniel, Jânio S. Santos, Graziela B. Escher, Bruno L. Ferreira, and Rubén M. Maggio. 2018. Use of Principal Component Analysis (PCA) and Hierarchical Cluster Analysis (HCA) for Multivariate Association Between Bioactive Compounds and Functional Properties in Foods: A Critical Perspective. Trends in Food Science & Technology 72: 83–90. [Google Scholar]
- Hamed, Suhaib Kh, Ab Aziz, Mohd Juzaiddin, and Mohd Ridzwan Yaakub. 2023. Fake news detection model on social media by leveraging sentiment analysis of news content and emotion analysis of users’ comments. Sensors 23: 1748. [Google Scholar] [CrossRef]
- Han, Wenying, and Hao Dang. 2020. Product Crowdfunding Default Risk Warning Based on Random Forest Model. Paper present at the 7th International Conference on Management of e-Commerce and e-Government, Jeju Island, Republic of Korea, July 1–3; pp. 99–105. [Google Scholar]
- Hou, Wenting, and Jian Qu. 2023. BM5-SP-SC: A Dual Model Architecture for Contradiction Detection on Crowdfunding Projects. Current Applied Science and Technology 10: 55003. [Google Scholar] [CrossRef]
- Huo, Hong, Chen Wang, Chunjia Han, Mu Yang, and Wen-Long Shang. 2024. Risk Disclosure and Entrepreneurial Resource Acquisition in Crowdfunding Digital Platforms: Evidence from Digital Technology Ventures. Information Processing and Management 61: 103655. [Google Scholar] [CrossRef]
- Jemili, Farah, Rahma Meddeb, and Ouajdi Korbaa. 2023. Intrusion detection based on ensemble learning for big data classification. Cluster Computing 27: 3771–98. [Google Scholar] [CrossRef]
- Kalinin, Maxim, and Vasiliy Krundyshev. 2023. Security Intrusion Detection Using Quantum Machine Learning Techniques. Journal of Computer Virology and Hacking Techniques 19: 125–36. [Google Scholar] [CrossRef]
- Kumar, Naveen, Deepak Venugopal, Liangfei Qiu, and Subodha Kumar. 2018. Detecting Review Manipulation on Online Platforms with Hierarchical Supervised Learning. Journal of Management Information Systems 35: 350–80. [Google Scholar] [CrossRef]
- Lathifah, Ari, Faaza Bil Amri, and Ani Rosidah. 2022. Security Vulnerability Analysis of the Sharia Crowdfunding Website Using OWASP-ZAP. Paper present at the 2022 10th International Conference on Cyber and IT Service Management (CITSM), Yogyakarta, Indonesia, September 20–21; New York: IEEE, pp. 1–5. [Google Scholar]
- Lee, SeungHun, Wafa Shafqat, and Hyun-Chul Kim. 2022. Backers Beware: Characteristics and Detection of Fraudulent Crowdfunding Campaigns. Sensors 22: 7677. [Google Scholar] [CrossRef]
- Lee, Won Sang, and So Young Sohn. 2019. Discovering Emerging Business Ideas Based on Crowdfunded Software Projects. Decision Support Systems 116: 102–13. [Google Scholar] [CrossRef]
- Li, Qi, and Jian Qu. 2022. A Novel BNB-NO-BK Method for Detecting Fraudulent Crowdfunding Projects. Songklanakarin Journal of Science and Technology 44: 1209–19. [Google Scholar]
- Louati, Faten, Farah Barika Ktata, and Ikram Amous. 2024. Big-IDS: A Decentralized Multi Agent Reinforcement Learning Approach for Distributed Intrusion Detection in Big Data Networks. Cluster Computing 27: 6823–6841. [Google Scholar] [CrossRef]
- Markas, Ruhaab, and Yisha Wang. 2019. Dare to Venture: Data Science Perspective on Crowdfunding. SMU Data Science Review 2: 19. [Google Scholar]
- Meoli, Michele, Alice Rossi, and Silvio Vismara. 2022. Financial Literacy and Security-Based Crowdfunding. Corporate Governance: An International Review 30: 27–54. [Google Scholar] [CrossRef]
- Minh, Pham Son, Hung-Son Dang, and Nguyen Canh Ha. 2023. Optimization of 3D Cooling Channels in Plastic Injection Molds by Taguchi-Integrated Principal Component Analysis (PCA). Polymers 15: 1080. [Google Scholar] [CrossRef] [PubMed]
- Mohammadi, Ali, Fraydoon Rahnamay Roodposhti, Hoda Hemmati, and Narges Yazdanian. 2025. Identification and Modeling of Crowdfunding Risk Indicators in FinTech-Based Businesses Based on the Combined Approach of Thematic Analysis and Partial Least Squares in SEM. International Journal of Finance and Managerial Accounting 10: 13–24. [Google Scholar]
- Montgomery, Douglas C., and George Runger. 2020. Applied Statistics and Probability for Engineers. New York: John Wiley & Sons Ltd. [Google Scholar]
- Mvula, Paul K., Paula Branco, Guy-Vincent Jourdan, and Herna L. Viktor. 2023. A Systematic Literature Review of Cyber-Security Data Repositories and Performance Assessment Metrics for Semi-Supervised Learning. Discover Data 1: 4. [Google Scholar] [CrossRef]
- Page, Matthew J., Joanne E. McKenzie, Patrick M. Bossuyt, Isabelle Boutron, Tammy C. Hoffmann, Cynthia D. Mulrow, Larissa Shamseer, Jennifer M. Tetzlaff, Elie A. Akl, Sue E. Brennan, and et al. 2021. The PRISMA 2020 Statement: An Updated Guideline for Reporting Systematic Reviews. BMJ 372: n71. [Google Scholar] [CrossRef]
- Perez, Beatrice, Sara Machado, Jerone Andrews, and Nicolas Kourtellis. 2022. I Call BS: Fraud Detection in Crowdfunding Campaigns. Paper present at the 14th ACM Web Science Conference, Barcelona, Spain, June 26–29; pp. 1–11. [Google Scholar]
- Petrov, Lev F., and Ellina S. Emelyanova. 2021. The Crowdfunding: Financial Flows and Risks. CEUR Workshop Proceedings 2830: 41–51. [Google Scholar]
- Pranckutė, Raminta. 2021. Web of Science (WoS) and Scopus: The Titans of Bibliographic Information in Today’s Academic World. Publications 9: 12. [Google Scholar] [CrossRef]
- Prateek, Pranay, Dan J. Kim, and Ling Ge. 2021. Detection of Fraudulent Campaigns on Donation-Based Crowdfunding Platforms Using a Combination of Machine. Paper present at the 16th Pre-ICIS Workshop on Information Security and Privacy, Austin, TX, USA, December 12; pp. 1–9. [Google Scholar]
- Raflesia, Sarifah Putri, Dinda Lestarini, Rizka Dhini Kurnia, and Dinna Yunika Hardiyanti. 2023. Using Machine Learning Approach Towards Successful Crowdfunding Prediction. Bulletin of Electrical Engineering and Informatics 12: 2438–45. [Google Scholar] [CrossRef]
- Ratten, Vanessa. 2023. Digital Platforms and Transformational Entrepreneurship During the COVID-19 Crisis. International Journal of Information Management 72: 102534. [Google Scholar] [CrossRef] [PubMed]
- Riadi, Imam, Ariqah Adliana Siregar, and Adiniah Gustika Pratiwi. 2022. Security on Charity Crowdfunding Services Using KAMI Index 4.1. Engineering Science Letter 1: 15–19. [Google Scholar]
- Roshan, Khushnaseeb, and Aasim Zafar. 2024. Ensemble Adaptive Online Machine Learning in Data Stream: A Case Study in Cyber Intrusion Detection System. International Journal of Information Technology. [Google Scholar] [CrossRef]
- Shafqat, Wafa, and Yung-Cheol Byun. 2019. Topic Predictions and Optimized Recommendation Mechanism Based on Integrated Topic Modeling and Deep Neural Networks in Crowdfunding Platforms. Applied Sciences 9: 5496. [Google Scholar] [CrossRef]
- Shafqat, Wafa, Yung-Cheol Byun, and Namje Park. 2020. Effectiveness of Machine Learning Approaches Towards Credibility Assessment of Crowdfunding Projects for Reliable Recommendations. Applied Sciences 10: 9062. [Google Scholar] [CrossRef]
- Sharifani, Koosha, and Mahyar Amini. 2023. Machine Learning and Deep Learning: A Review of Methods and Applications. World Information Technology and Engineering Journal 10: 3897–904. [Google Scholar]
- Solis-Diaz, Christian Javier. 2023. Education as a Solution to Combat Rising Cybercrime Rates against Children and Teenagers. Electronic Theses, Projects, and Dissertations. Available online: https://scholarworks.lib.csusb.edu/etd/1811 (accessed on 12 July 2024).
- Talukder, Alamin, Manowarul Islam, Ashraf Uddin, Khondokar Fida Hasan, Selina Sharmin, Salem A. Alyami, and Mohammad Ali Moni. 2024. Machine Learning-Based Network Intrusion Detection for Big and Imbalanced Data Using Oversampling, Stacking Feature Embedding and Feature Extraction. Journal of Big Data 11: 33. [Google Scholar] [CrossRef]
- Vicari, Stefania, and Daniel Kirby. 2023. Digital Platforms as Socio-Cultural Artifacts: Developing Digital Methods for Cultural Research. Information, Communication & Society 26: 1733–55. [Google Scholar]
- Winoto, Wahyu, and Permata Wulandari. 2023. Explorative Analysis of Securities Crowdfunding: Pillars, Business Flow and Risk Mitigation in MSME Funding in Indonesia. Management Studies and Entrepreneurship Journal (MSEJ) 4: 3206–21. [Google Scholar]
- Wonglimpiyarat, Jarunee. 2018. Challenges and Dynamics of FinTech Crowdfunding: An Innovation System Approach. The Journal of High Technology Management Research 29: 98–108. [Google Scholar] [CrossRef]
- Wu, Xiaohang, Hasan Dinçer, and Serhat Yüksel. 2022. Analysis of Crowdfunding Platforms for Microgrid Project Investors via a Q-Rung Orthopair Fuzzy Hybrid Decision-Making Approach. Financial Innovation 8: 52. [Google Scholar] [CrossRef]
- Xu, Yang, Quanlin Li, Cheng Zhang, Yunlin Tan, Ping Zhang, Gguojun Wang, and Yaoxue Zhang. 2023. A Decentralized Trust Management Mechanism for Crowdfunding. Information Sciences 638: 118969. [Google Scholar] [CrossRef]
- Yadav, Pavinder, Nidhi Gupta, and Pawan Kumar Sharma. 2023. A Comprehensive Study Towards High-Level Approaches for Weapon Detection Using Classical Machine Learning and Deep Learning Methods. Expert Systems with Applications 212: 118698. [Google Scholar] [CrossRef]
- Yang, Yunpeng, Nan Chen, and Hongmin Chen. 2023. The Digital Platform, Enterprise Digital Transformation, and Enterprise Performance of Cross-Border E-Commerce-From the Perspective of Digital Transformation and Data Elements. Journal of Theoretical and Applied Electronic Commerce Research 18: 777–94. [Google Scholar] [CrossRef]
- Zenone, Marco, and Jeremy Snyder. 2019. Fraud in Medical Crowdfunding: A Typology of Publicized Cases and Policy Recommendations. Policy and Internet 11: 215–34. [Google Scholar] [CrossRef]
- Zhou, Xiaoyang, He Liu, Jialu Li, Kai Zhang, and Benjamin Lev. 2023. Channel Strategies When Digital Platforms Emerge: A Systematic Literature Review. Omega 120: 102919. [Google Scholar] [CrossRef]
- Zkik, Karim, Anass Sebbar, Oumaima Fadi, Sachin Kamble, and Amine Belhadi. 2023. Securing Blockchain-Based Crowdfunding Platforms: An Integrated Graph Neural Networks and Machine Learning Approach. Electronic Commerce Research 1: 37. [Google Scholar] [CrossRef]
- Zribi, Sirine. 2022. Effects of Social Influence on Crowdfunding Performance: Implications of the COVID-19 Pandemic. Humanities and Social Sciences Communications 9: 192. [Google Scholar] [CrossRef]












Disclaimer/Publisher’s Note: The statements, opinions and data contained in all publications are solely those of the individual author(s) and contributor(s) and not of MDPI and/or the editor(s). MDPI and/or the editor(s) disclaim responsibility for any injury to people or property resulting from any ideas, methods, instructions or products referred to in the content. |
© 2024 by the authors. Licensee MDPI, Basel, Switzerland. This article is an open access article distributed under the terms and conditions of the Creative Commons Attribution (CC BY) license (https://creativecommons.org/licenses/by/4.0/).
Share and Cite
Cardona, L.F.; Guzmán-Luna, J.A.; Restrepo-Carmona, J.A. Bibliometric Analysis of the Machine Learning Applications in Fraud Detection on Crowdfunding Platforms. J. Risk Financial Manag. 2024, 17, 352. https://doi.org/10.3390/jrfm17080352
Cardona LF, Guzmán-Luna JA, Restrepo-Carmona JA. Bibliometric Analysis of the Machine Learning Applications in Fraud Detection on Crowdfunding Platforms. Journal of Risk and Financial Management. 2024; 17(8):352. https://doi.org/10.3390/jrfm17080352
Chicago/Turabian StyleCardona, Luis F., Jaime A. Guzmán-Luna, and Jaime A. Restrepo-Carmona. 2024. "Bibliometric Analysis of the Machine Learning Applications in Fraud Detection on Crowdfunding Platforms" Journal of Risk and Financial Management 17, no. 8: 352. https://doi.org/10.3390/jrfm17080352
APA StyleCardona, L. F., Guzmán-Luna, J. A., & Restrepo-Carmona, J. A. (2024). Bibliometric Analysis of the Machine Learning Applications in Fraud Detection on Crowdfunding Platforms. Journal of Risk and Financial Management, 17(8), 352. https://doi.org/10.3390/jrfm17080352

