The Feasibility of Coordinating International Monetary Policy Strategies in the Context of Asymmetric Demand Shocks
Abstract
1. Introduction
2. Literature Review
3. Description of the Stochastic Model of Two Interacting Countries
4. Analysis of the Impact of Asymmetric Aggregate Demand Shocks on the Feasibility of Monetary Policy Coordination
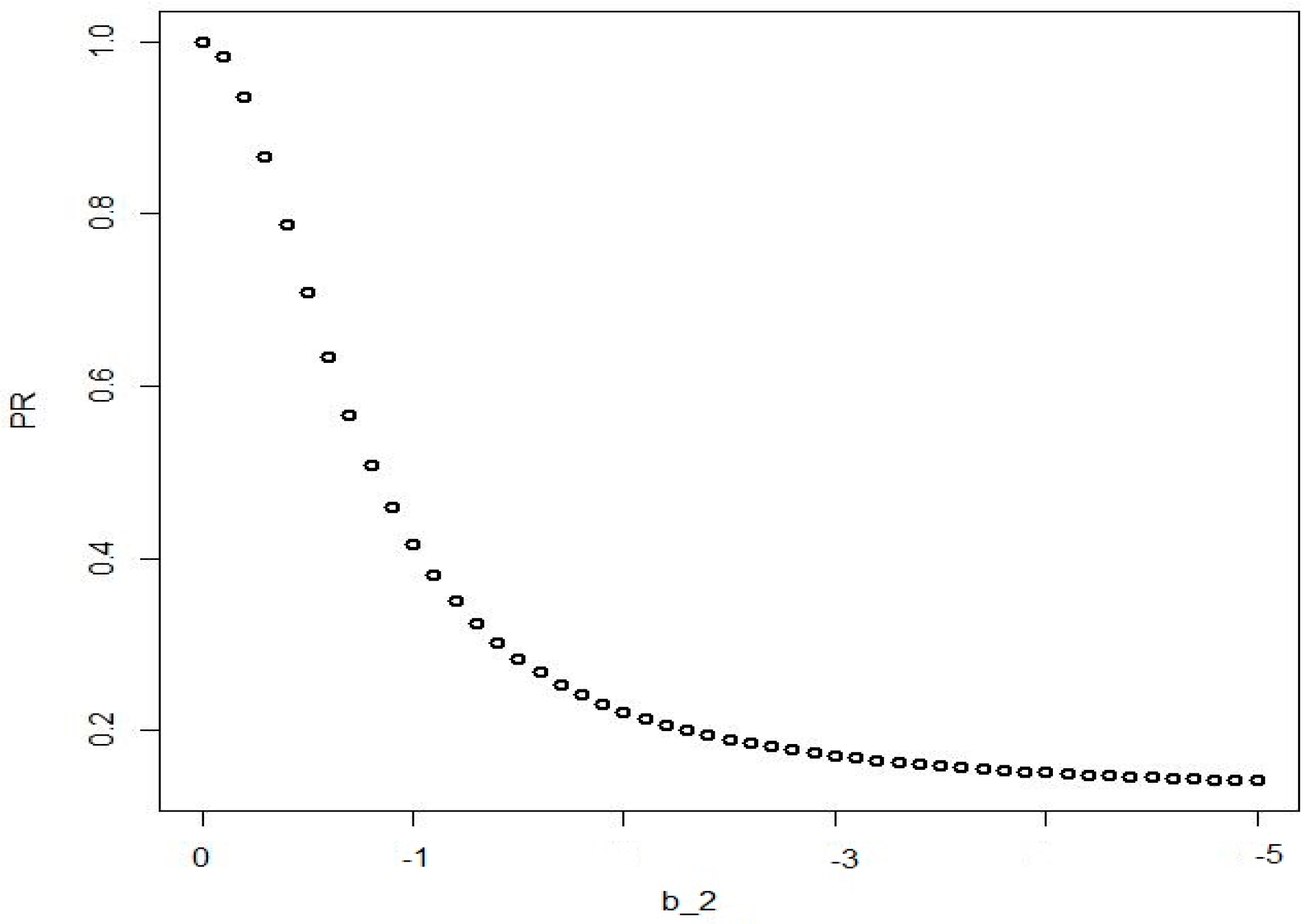
4.1. Stabilization Policy under the Monetary Authority’s Coordination and Asymmetric Shocks of Aggregate Demand
4.2. Stabilization Policy without Coordination of Monetary Authorities and Asymmetric Shocks of Aggregate Demand
5. Conclusions
Author Contributions
Funding
Data Availability Statement
Conflicts of Interest
References
- An, Sungbae, and Frank Schorfheide. 2007. Bayesian Analysis of DSGE Models. Econometric Reviews 26: 113–72. [Google Scholar] [CrossRef]
- Auray, Stéphane, Michael B. Devereux, and Aurélien Eyquem. 2024. Trade Wars and the Optimal Design of Monetary Rules. Working Paper 32451. Cambridge: National Bureau of Economic Research, pp. 1–37. [Google Scholar]
- Bacchetta, Philippe, and Eric van Wincoop. 2006. Can information heterogeneity explain the exchange rate determination puzzle? American Economic Review 96: 552–76. [Google Scholar] [CrossRef]
- Bacchetta, Philippe, and Eric van Wincoop. 2013. On the unstable relationship between exchange rates and macroeconomic fundamentals. Journal of International Economics 91: 18–26. [Google Scholar] [CrossRef]
- Ball, Laurence, and N. Gregory Mankiw. 1994. Asymmetric Price Adjustment and Economic Fluctuations. Economic Journal 104: 247–61. [Google Scholar] [CrossRef]
- Basu, Susanto, and Brent Bundick. 2012. Uncertainty shocks in a model of effective demand. NBER Working Paper 18420: 1–39. [Google Scholar]
- Benigno, Pierpaolo. 2002. A Simple Approach to International Monetary Policy Coordination. Journal of International Economics 57: 177–96. [Google Scholar] [CrossRef]
- Bergin, Paul R., and Giancarlo Corsetti. 2023. The macroeconomic stabilization of tariff shocks: What is the optimal monetary response? Journal of International Economics 143: 103758. [Google Scholar] [CrossRef]
- Caldara, Dario, Francesco Ferrante, Matteo Iacoviello, Andrea Prestipino, and Albert Queralto. 2024. The international spillovers of synchronous monetary tightening. Journal of Monetary Economics 141: 127–52. [Google Scholar] [CrossRef]
- Canzoneri, Matthew B., and Dale W. Henderson. 1992. Monetary Policy in Interdependent Economies: A Game-Theoretic Approach. Cambridge: MIT Press, p. 180. [Google Scholar]
- Canzoneri, Matthew B., Robert E. Cumby, and Behzad T. Diba. 2005. The need for international policy coordination: What’s old, what’s new, what’s yet to come? Journal of International Economics 66: 363–84. [Google Scholar] [CrossRef]
- Carriere-Swallow, Yan, and Luis Felipe Céspedes. 2013. The impact of uncertainty shocks in emerging economies. Journal of International Economics 90: 316–25. [Google Scholar] [CrossRef]
- Cavallo, Antonella, and Antonio Ribba. 2015. Common macroeconomic shocks and business cycle fluctuations in Euro area countries. International Review of Economics & Finance 38: 377–92. [Google Scholar]
- Chari, Varadarajan V., and Patrick J. Kehoe. 1990. International coordination of fiscal policy in limiting Economies. Journal of Political Economy 98: 617–36. [Google Scholar] [CrossRef]
- Coenen, Günter, Giovanni Lombardo, Frank Smets, and Roland Straub. 2008. International Transmission and Monetary Policy Cooperation. Working Paper Series. Chicago: University of Chicago Press, vol. 46. [Google Scholar]
- Corsetti, Giancarlo, Luca Dedola, and Sylvain Leduc. 2011. Optimal monetary policy in open economies. Handbook of Monetary Economics 3: 861–933. [Google Scholar]
- Corsetti, Giancarlo, and Paolo Pesenti. 2005. The International dimension of optimal monetary policy. Journal of Monetary Economics 52: 281–305. [Google Scholar] [CrossRef]
- Das, Sonali, and Wenting Song. 2022. Monetary Policy Transmission and Policy Coordination in China. Working Paper No. 2022/07. Washington, DC: International Monetary Fund, pp. 1–40. [Google Scholar]
- Dedola, Luca, Peter Karadi, and Giovanni Lombardo. 2013. Global implications of national unconventional policies. Journal of Monetary Economics 60: 66–85. [Google Scholar] [CrossRef]
- Fedajev, Aleksandra, Danijela Pantović, Isidora Milošević, Tamara Vesić, Aleksandra Jovanović, Magdalena Radulescu, and Maria Cristina Stefan. 2023. Evaluating the Outcomes of Monetary and Fiscal Policies in the EU in Times of Crisis: A PLS-SEM Approach. Sustainability 15: 8466. [Google Scholar] [CrossRef]
- Fornaro, Luca, and Federica Romei. 2023. Monetary Policy during Unbalanced Global Recoveries. Economics Working Paper Series Working Paper 1814. Barcelona: Universitat Pompeu Fabra, pp. 1–38. [Google Scholar]
- Frieden, Jeffry A., and J. Lawrence Broz. 2012. The Political Economy of International Monetary Policy Coordination. In Handbook of Safeguarding Global Financial Stability. Amsterdam: Elsevier, Chapter 8. pp. 1–35. [Google Scholar]
- Haizhen, Yang, and Wang Kaiyang. 2019. The Effect of International Monetary Policy Coordination and Information Sharing. Management Review 31: 49–57. [Google Scholar]
- Imisiker, Serkan, and Bedri Kamil Onur Tas. 2019. International monetary policy coordination through communication: Chasing the loch ness monster. International Journal of Central Banking 15: 301–21. [Google Scholar] [CrossRef][Green Version]
- Jeanne, Olivier. 2014. Macroprudential policies in a global perspective. NBER Working Paper 19967: 1–41. [Google Scholar]
- Jiang, Ying, Chong Li, Jizhou Zhang, and Xiaoyi Zhou. 2019. Financial Stability and Sustainability under the Coordination of Monetary Policy and Macroprudential Policy: New Evidence from China. Sustainability 11: 1616. [Google Scholar] [CrossRef]
- Kontorovich, Victor. 2001. The relationship between the real exchange rate of the ruble and the dynamics of industrial production in Russia. HSE Economic Journal 3: 363–74. [Google Scholar]
- Kudrin, Alexei. 2006. Real effective exchange rate of the ruble: Problems of growth. Economic Issues 9: 4–18. [Google Scholar]
- Kydland, Finn E., and Edward C. Prescott. 1982. Time to build and aggregate fluctuations. Econometrica 50: 1345–70. [Google Scholar] [CrossRef]
- Leduc, Sylvain, and Zheng Liu. 2015. Uncertainty Shocks Are Aggregate Demand Shocks. Working Paper 2012-10. San Francisco: Federal Reserve Bank of San Francisco, pp. 1–33. [Google Scholar]
- Liu, Zheng, and Evi Pappa. 2005. Gains from international monetary Policy Coordination. Does it pay to be different? Working Paper Series, European Central Bank 514: 512. [Google Scholar] [CrossRef]
- McKibbin, Warwick J. 1997. Empirical Evidence on International Economic Policy Coordination. Handbook of Comparative Economic Policies 5: 148–76. [Google Scholar]
- Mundell, Robert A. 1961. A theory of optimum currency areas. American Economic Review 51: 657–75. [Google Scholar] [CrossRef][Green Version]
- Nyati, Malibongwe Cyprian, Paul-Francois Muzindutsi, and Christian Kakese Tipoy. 2023. Macroprudential and Monetary Policy Interactions and Coordination in South Africa: Evidence from Business and Financial Cycle Synchronisation. Economies 11: 272. [Google Scholar] [CrossRef]
- Obstfeld, Maurice, and Kenneth S. Rogoff. 2000. Do We Really Need a New International Monetary Compact? NBER Working Paper 7864. Cambridge: National Bureau of Economic Research. [Google Scholar]
- Obstfeld, Maurice, and Kenneth S. Rogoff. 2002. Global implications of self-oriented national monetary rules. Quarterly Journal of Economics 117: 503–36. [Google Scholar] [CrossRef]
- Oudiz, Gilles, Jeffrey Sachs, Olivier J. Blanchard, Stephen N. Marris, and Wing T. Woo. 1984. Macroeconomic Policy Coordination among the Industrial Economies. Brookings Papers on Economic Activity 1: 1–75. [Google Scholar] [CrossRef]
- Saleh, Essa, Mdanat, Metri, and Anas Ratib Alsoud. 2023. Sustainability of Fiscal and Monetary Policies under Fixed Exchange Rate Regime in Jordan. Sustainability 15: 14625. [Google Scholar] [CrossRef]
- Shumba, Theron, and Sophia Mukorera. 2023. Monetary Policy Implications on Macroeconomic Performance in the Common Monetary Area: A Panel-SVAR Framework. Economies 11: 144. [Google Scholar] [CrossRef]
- Sims, Christopher A. 2002. Solving rational expectations models. Computational Economics 20: 1–20. [Google Scholar] [CrossRef]
- Smets, Frank, and Rafael Wouters. 2007. Shocks and Frictions in US Business Cycles: A Bayesian DSGE Approach. American Economic Review 97: 586–606. [Google Scholar] [CrossRef]
- Sugandi, Eric Alexander. 2020. Is International Monetary Policy Coordination Feasible for the ASEAN-5 + 3 Countries? Working Paper No. 1135. Tokyo: Asian Development Bank Institute, pp. 1–41. Available online: https://www.adb.org/sites/default/files/publication/606521/adbi-wp1135.pdf (accessed on 25 May 2024).
- Walsh, Carl E. 2003. Monetary Theory and Policy. Cambridge: The MIT Press, p. 611. [Google Scholar]


Disclaimer/Publisher’s Note: The statements, opinions and data contained in all publications are solely those of the individual author(s) and contributor(s) and not of MDPI and/or the editor(s). MDPI and/or the editor(s) disclaim responsibility for any injury to people or property resulting from any ideas, methods, instructions or products referred to in the content. |
© 2024 by the authors. Licensee MDPI, Basel, Switzerland. This article is an open access article distributed under the terms and conditions of the Creative Commons Attribution (CC BY) license (https://creativecommons.org/licenses/by/4.0/).
Share and Cite
Serkov, L.; Krasnykh, S.; Dubrovskaya, J.; Kozonogova, E. The Feasibility of Coordinating International Monetary Policy Strategies in the Context of Asymmetric Demand Shocks. J. Risk Financial Manag. 2024, 17, 259. https://doi.org/10.3390/jrfm17070259
Serkov L, Krasnykh S, Dubrovskaya J, Kozonogova E. The Feasibility of Coordinating International Monetary Policy Strategies in the Context of Asymmetric Demand Shocks. Journal of Risk and Financial Management. 2024; 17(7):259. https://doi.org/10.3390/jrfm17070259
Chicago/Turabian StyleSerkov, Leonid, Sergey Krasnykh, Julia Dubrovskaya, and Elena Kozonogova. 2024. "The Feasibility of Coordinating International Monetary Policy Strategies in the Context of Asymmetric Demand Shocks" Journal of Risk and Financial Management 17, no. 7: 259. https://doi.org/10.3390/jrfm17070259
APA StyleSerkov, L., Krasnykh, S., Dubrovskaya, J., & Kozonogova, E. (2024). The Feasibility of Coordinating International Monetary Policy Strategies in the Context of Asymmetric Demand Shocks. Journal of Risk and Financial Management, 17(7), 259. https://doi.org/10.3390/jrfm17070259

