Xenocentrism and Consumer Buying Behavior: A Comparative Analysis of Malaysian vs. Nigerian Consumers
Abstract
:1. Introduction
2. Literature Review
2.1. Conceptualization of Xenocentrism
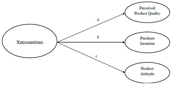
2.2. Perceived Product Quality
2.3. Product Attitude
2.4. Purchase Intention
3. Materials and Method
4. Results
4.1. Assessing the Measurement Model
4.2. Summary of PLS Results
5. Discussion
6. Conclusions
Author Contributions
Funding
Institutional Review Board Statement
Informed Consent Statement
Data Availability Statement
Conflicts of Interest
References
- Aaker, David A., and Erich Joachimsthaler. 2000. The Brand Relationship Spectrum: The Key to the Brand Architecture Challenge. California Management Review 42: 8–23. [Google Scholar] [CrossRef]
- Aaker, Jennifer L. 1997. Dimensions of brand personality. Journal of Marketing Research 34: 347–56. [Google Scholar] [CrossRef]
- Addis, Rachel A., and Marko Grünhagen. 2014. The influence of social identity on rural consumers’ intent to shop locally. New England Journal of Entrepreneurship 17: 7–14. [Google Scholar] [CrossRef]
- Ajitha, Soundararaj, and V. J. Sivakumar. 2017. Understanding the effect of personal and social value on attitude and usage behavior of luxury cosmetic brands. Journal of Retailing and Consumer Services 39: 103–13. [Google Scholar] [CrossRef]
- Ajzen, Icek, and Martin Fishbein. 2005. The influence of attitudes on behavior. In The Handbook of Attitudes. East Sussex: Psychology Press, vol. 173, pp. 173–222. [Google Scholar]
- Alden, Dana L., Jan-Benedict E. M. Steenkamp, and Rajeev Batra. 1999. Brand positioning through advertising in Asia, North America, and Europe: The role of global consumer culture. Journal of Marketing 63: 75–87. [Google Scholar] [CrossRef]
- Babin, Barry J., and Laurie Babin. 2001. Seeking something different? A model of schema typicality, consumer effect, purchase intentions, and perceived shopping value. Journal of Business Research 54: 89–96. [Google Scholar] [CrossRef]
- Badaoui, Khafid, Anne-Marie Lebrun, Che-Jen Su, and Patrick Bouchet. 2018. The influence of personal and social identity on the clothing consumption of adolescents. Canadian Journal of Administrative Science 35: 65–78. [Google Scholar] [CrossRef]
- Balabanis, George, and Adamantios Diamantopoulos. 2016. Consumer Xenocentrism as Determinant of Foreign Product Preference: A System Justification Perspective. Journal of International Marketing 24: 58–77. [Google Scholar] [CrossRef]
- Batra, Rajeev, Venkatram Ramaswamy, Dana L. Alden, Jan-Benedict E. M. Steenkamp, and Shivaramaiah Ramachander. 2000. Effects of brand local and nonlocal origin on consumer attitudes in developing countries. Journal of Consumer Psychology 9: 83–95. [Google Scholar] [CrossRef]
- Belk, Russell W. 1988. Possessions and the Extended Self. Journal of Consumer Research 15: 139–68. [Google Scholar] [CrossRef] [Green Version]
- Camacho, Luis J., Cristian Salazar-Concha, and Patricio Ramírez-Correa. 2020. The Influence of Xenocentrism on Purchase Intentions of the Consumer: The Mediating Role of Product Attitudes. Sustainability 12: 1647. [Google Scholar] [CrossRef] [Green Version]
- Cepeda, Carrión Gabriel, Christian Nitzl, and José L. Roldán. 2017. Mediation analyses in partial least squares structural equation modeling: Guidelines and empirical examples. In Partial Least Squares Path Modeling: Basic Concepts, Methodological Issues, and Applications. Cham: Springer International, pp. 173–95. [Google Scholar]
- Chapa, Sindy, Michael S. Minor, and Cecilia Maldonado. 2006. Product category and origin effects on consumer responses to counterfeits: Comparing Mexico and the US. Journal of International Consumer Marketing 18: 79–99. [Google Scholar] [CrossRef]
- Chung, Jae-Eun, and Dawn Thorndike Pysarchik. 2000. A model of behavioral intention to buy domestic versus imported products in Confucian culture. Marketing Intelligence and Planning 8: 281–91. [Google Scholar] [CrossRef]
- Cleveland, Mark, Michel Laroche, and Nicolas Papadopoulos. 2009. Cosmopolitanism, Consumer Ethnocentrism, and Materialism: An Eight-Country Study of Antecedents and Outcomes. Journal of International Marketing 17: 116–46. [Google Scholar] [CrossRef]
- Craigh, C. Samuel, William H. Greene, and Susan P. Douglas. 2005. Culture matters consumer acceptance of US films in foreign markets. Journal of International Marketing 13: 80–103. [Google Scholar] [CrossRef]
- De Mooij, Marieke. 2004. Consumer Behavior and Culture: Consequences for Global Marketing and Advertising. Thousand Oaks: Sage Publications. [Google Scholar]
- De Mooij, Marieke. 2013. Global Marketing and Advertising: Understanding Cultural Paradoxes. Thousand Oaks: Sage Publications. [Google Scholar]
- Diamantopoulos, Adamantios, Olga Davydova, and Maja Arslanagic-Kalajdzic. 2019. Modeling the role of consumer xenocentrism in impacting preferences for domestic and foreign brands: A mediation analysis. Journal of Business Research 104: 587–96. [Google Scholar] [CrossRef]
- Dunk, Alan S. 2002. Product quality, environmental accounting, and quality performance. Accounting, Auditing & Accountability Journal 15: 719–32. [Google Scholar] [CrossRef]
- Firat, A. Fuat. 1995. Consumer Culture or Culture Consumed? In Marketing in a Multicultural World. Edited by J. A. Costa and G. J. Bamossy. Thousand Oaks: Sage Publications, pp. 105–23. [Google Scholar]
- Fishbein, Martin, and Icek Ajzen. 2011. Predicting and Changing Behavior: The Reasoned Action Approach. New York: Psychology Press. [Google Scholar] [CrossRef]
- Ger, Güliz. 1999. Localizing in the Global Village: Local firms Competing in Global Markets. California Management Review 41: 64–83. [Google Scholar] [CrossRef] [Green Version]
- Hair, Joe F., Marko Sarstedt, and Christian M. Ringle & Jeannette A. Mena. 2012. An assessment of the use of partial least squares structural equation modeling in marketing research. Journal of the Academy of Marketing Science 40: 414–33. [Google Scholar] [CrossRef]
- Hair, Joseph F., Jr., G. Tomas M. Hult, Christian M. Ringle, and Marko Sarstedt. 2017. A Primer on Partial Least Squares Structural Equation Modeling (PLS-SEM). Thousand Oaks: Sage. [Google Scholar]
- Hannerz, Ulf. 1990. Cosmopolitans and locals in world culture. Theory, Culture, and Society 7: 237–51. [Google Scholar] [CrossRef]
- Irianto, Heru. 2015. Consumers’ attitude and intention towards organic food purchase: An extension of the theory of planned behavior from a gender perspective. International Journal of Management, Economics and Social Science 4: 17–31. [Google Scholar]
- Kent, Donald P., and Robert G. Burnight. 1951. Group Centrism in Complex Societies. The American Journal of Sociology 57: 256–59. [Google Scholar] [CrossRef]
- Kim, Soyoung, and Dawn Thorndike Pysarchik. 2000. Predicting purchase intentions for uni-national and bi-national products. International Journal of Retail & Distribution Management 28: 280–91. [Google Scholar] [CrossRef]
- Lantz, Garold, and Sandra Loeb. 1998. An Examination of the Community Identity and Purchase Preferences Using The Social Identity Approach. Advances in Consumer Research 25: 486–91. [Google Scholar]
- Laroche, Michel, Nicolas Papadopoulos, Louise A. Heslop, and Mehdi Mourali. 2005. The influence of country image structure on consumer evaluations of foreign products. International Marketing Review 22: 96–115. [Google Scholar] [CrossRef]
- Lawrence, Steven J. 2012. Consumer Xenocentrism and Consumer Cosmopolitanism: The Development and Validation of Scales of Constructs Influencing Attitudes towards Foreign Product Consumption. Ann Arbor: Proquest LLC. [Google Scholar]
- Lee, Jin Kyun, and Wei-Na Lee. 2009. Country-of-origin effects on consumer product evaluation and purchase intention: The role of objective versus subjective knowledge. Journal of International Consumer Marketing 21: 137–51. [Google Scholar] [CrossRef]
- MacKenzie, Scott B., Richard J. Lutz, and George E. Belch. 1986. The Role of Attitude toward the Ad as a Mediator of Advertising Effectiveness: A Test of Competing Explanations. Journal of Marketing Research 23: 130. [Google Scholar] [CrossRef]
- Makri, Katerina, Karolos-Konstantinos Papadas, and Bodo B. Schlegelmilch. 2019. Global-local consumer identities as drivers of global digital brand usage. International Marketing Review 36: 702. [Google Scholar] [CrossRef]
- Nitzl, Christian, Jose L. Roldan, and Gabriel Cepeda. 2016. Mediation analysis in partial least squares path modeling. Industrial Management & Data Systems 116: 1849–64. [Google Scholar] [CrossRef]
- Prince, Melvin, Mark A. P. Davies, Mark Cleveland, and Dayananda Palihawadana. 2016. Here, there and everywhere: A study of consumer centrism. International Marketing Review 33: 715–54. [Google Scholar] [CrossRef]
- Rao, S. Subba, T. S. Raghunathan, and Luis E. Solis. 1997. A comparative study of quality practices and results in India, China, and Mexico. Journal of Quality Management 2: 235–50. [Google Scholar] [CrossRef]
- Rojas-Méndez, José I., and Sindy Chapa. 2019. X-Scale: A new scale to measure consumer xenocentrism. Marketing Intelligence and Planning 38: 354–68. [Google Scholar] [CrossRef]
- Rondán-Cataluña, Francisco Javier, Jorge Arenas-Gaitán, and Patricio Ramírez-Correa. 2015. Travel buying behavior in social network site users: To buy online vs. offline. Journal of Theoretical and Applied Electronic Commerce Research 10: 49–62. [Google Scholar] [CrossRef] [Green Version]
- Saleem, Asma, Abdul Ghafar, Muhammad Ibrahim, Muhammad Yousuf, and Naveed Ahmed. 2015. Product Perceived Quality and Purchase Intention with consumer Satisfaction. Global Journal of Management Research 15: 21–28. [Google Scholar]
- Steenkamp, Jan-Benedict E. M. 2001. The Role of National Culture in International Marketing Research. International Marketing Review 18: 30–44. [Google Scholar] [CrossRef]
- Stier, Jonas. 2010. The Blindspots and biases of intercultural communication studies: A discussion on episteme and doxa in a field. Journal of Intercultural Communication. Available online: https://www.immi.se/intercultural/nr24/stier-24.htm (accessed on 1 December 2021).
- Stylidis, Kostas, Casper Wickman, and Rikard Söderberg. 2019. Perceived quality of products: A framework and attributes ranking method. Journal of Engineering Design 31: 37–67. [Google Scholar] [CrossRef] [Green Version]
- Ter Hofstede, Frenkel, Jan-Benedict EM Steenkamp, and Michel Wedel. 1990. International Market Segmentation Based on Consumer-Product Relations. Journal of Marketing Research 36: 1–17. [Google Scholar] [CrossRef]
- Yeniyurt, Sengun, and Janell D. Townsend. 2003. Does culture explain the acceptance of new products in a country? An empirical investigation. International Marketing Review 20: 377–96. [Google Scholar] [CrossRef]
- Zeithaml, Valarie A. 1988. Consumer Perceptions of Price, Quality, and Value: A Means-End Model and Synthesis of Evidence. Journal of Marketing 52: 2. [Google Scholar] [CrossRef]


| Demographic Variables | Malaysia | Nigeria | ||
|---|---|---|---|---|
| Gender | Frequency | Percentage | Frequency | Percentage |
| Female | 240 | 60.0 | 254 | 56.1 |
| Male | 160 | 40.0 | 199 | 43.9 |
| Age | ||||
| 17 or younger | 32 | 8.0 | 32 | 7.1 |
| 18–20 | 76 | 19.0 | 76 | 16.8 |
| 21–30 | 116 | 29.0 | 126 | 27.8 |
| 31–40 | 96 | 24.0 | 120 | 26.5 |
| 41–50 | 52 | 13.0 | 65 | 14.3 |
| 51–60 | 12 | 3.0 | 15 | 3.3 |
| 60 or above | 16 | 4.0 | 19 | 4.2 |
| Education | ||||
| Less than high school | 32 | 8.0 | 32 | 7.1 |
| High school | 56 | 14.0 | 56 | 12.4 |
| Certificate/Diploma | 104 | 26.0 | 106 | 23.4 |
| Degree | 156 | 39.0 | 195 | 43.0 |
| Masters | 36 | 9.0 | 45 | 9.9 |
| Doctorate | 16 | 4.0 | 19 | 4.2 |
| How often do you buy foreign products | ||||
| Seldom | 40 | 10.0 | 40 | 8.8 |
| At least once per week | 168 | 42.0 | 174 | 38.4 |
| At least once per month | 152 | 38.0 | 190 | 41.9 |
| At least once per year | 40 | 10.0 | 49 | 10.8 |
| Fit Criteria | Value | |
|---|---|---|
| Malaysia | Nigeria | |
| SRMR | 0.100 | 0.100 |
| dULS | 0.899 | 0.903 |
| dG | 0.280 | 0.279 |
| Indicator | PPQ | PI | PA | XEN | ||||
|---|---|---|---|---|---|---|---|---|
| Malaysia | Nigeria | Malaysia | Nigeria | Malaysia | Nigeria | Malaysia | Nigeria | |
| PPQ1 | 0.788 | 0.690 | 0.430 | 0.439 | 0.343 | 0.464 | 0.411 | 0.328 |
| PPQ2 | 0.778 | 0.790 | 0.202 | 0.484 | 0.428 | 0.438 | 0.417 | 0.494 |
| PPQ3 | 0.732 | 0.754 | 0.448 | 0.457 | 0.345 | 0.472 | 0.492 | 0.327 |
| PPQ4 | 0.779 | 0.701 | 0.315 | 0.334 | 0.381 | 0.345 | 0.436 | 0.478 |
| PI1 | 0.420 | 0.411 | 0.738 | 0.790 | 0.346 | 0.439 | 0.344 | 0.354 |
| PI2 | 0.236 | 0.448 | 0.770 | 0.713 | 0.428 | 0.460 | 0.420 | 0.392 |
| PI3 | 0.435 | 0.467 | 0.532 | 0.745 | 0.464 | 0.426 | 0.307 | 0.338 |
| PI4 | 0.313 | 0.374 | 0.669 | 0.601 | 0.353 | 0.372 | 0.451 | 0.317 |
| PA1 | 0.337 | 0.432 | 0.371 | 0.421 | 0.504 | 0.711 | 0.379 | 0.362 |
| PA2 | 0.419 | 0.416 | 0.444 | 0.412 | 0.714 | 0.728 | 0.343 | 0.397 |
| PA3 | 0.390 | 0.472 | 0.480 | 0.499 | 0.767 | 0.672 | 0.352 | 0.458 |
| PA4 | 0.341 | 0.300 | 0.318 | 0.348 | 0.782 | 0.771 | 0.411 | 0.466 |
| XEN1 | 0.445 | 0.318 | 0.387 | 0.349 | 0.346 | 0.473 | 0.589 | 0.799 |
| XEN2 | 0.459 | 0.492 | 0.453 | 0.347 | 0.401 | 0.482 | 0.678 | 0.781 |
| Latent Variable | CR | AVE | ||
|---|---|---|---|---|
| Malaysia | Nigeria | Malaysia | Nigeria | |
| PPQ | 0.802 | 0.845 | 0.577 | 0.515 |
| PI | 0.837 | 0.801 | 0.503 | 0.548 |
| PA | 0.819 | 0.838 | 0.594 | 0.532 |
| XEN | 0.846 | 0.899 | 0.693 | 0.519 |
| PPQ | PI | PA | XEN | |||||
|---|---|---|---|---|---|---|---|---|
| Malaysia | Nigeria | Malaysia | Nigeria | Malaysia | Nigeria | Malaysia | Nigeria | |
| PPQ | 0.795 | 0.783 | 0.442 | 0.487 | 0.530 | 0.454 | 0.488 | 0.593 |
| PI | 0.480 | 0.435 | 0.741 | 0.724 | 0.454 | 0.533 | 0.531 | 0.599 |
| PA | 0.536 | 0.498 | 0.543 | 0.558 | 0.763 | 0.750 | 0.527 | 0.404 |
| XEN | 0.483 | 0.532 | 0.505 | 0.627 | 0.540 | 0.491 | 0.777 | 0.738 |
| PPQ | PI | PA | XEN | |||||
|---|---|---|---|---|---|---|---|---|
| Malaysia | Nigeria | Malaysia | Nigeria | Malaysia | Nigeria | Malaysia | Nigeria | |
| PPQ | ||||||||
| PI | 0.756 | 0.683 | ||||||
| PA | 0.817 | 0.779 | 0.540 | 0.638 | ||||
| XEN | 0.788 | 0.801 | 0.799 | 0.758 | 0.742 | 0.689 | ||
Publisher’s Note: MDPI stays neutral with regard to jurisdictional claims in published maps and institutional affiliations. |
© 2022 by the authors. Licensee MDPI, Basel, Switzerland. This article is an open access article distributed under the terms and conditions of the Creative Commons Attribution (CC BY) license (https://creativecommons.org/licenses/by/4.0/).
Share and Cite
Venugopal, V.; Mata, M.N.; Iloka, C.B.; Dantas, R.D.; Batista, A.; Rita, J.X.; Martins, J.M. Xenocentrism and Consumer Buying Behavior: A Comparative Analysis of Malaysian vs. Nigerian Consumers. J. Risk Financial Manag. 2022, 15, 58. https://doi.org/10.3390/jrfm15020058
Venugopal V, Mata MN, Iloka CB, Dantas RD, Batista A, Rita JX, Martins JM. Xenocentrism and Consumer Buying Behavior: A Comparative Analysis of Malaysian vs. Nigerian Consumers. Journal of Risk and Financial Management. 2022; 15(2):58. https://doi.org/10.3390/jrfm15020058
Chicago/Turabian StyleVenugopal, Vimala, Mário Nuno Mata, Chiemelie Benneth Iloka, Rui D. Dantas, Anabela Batista, João Xavier Rita, and José Moleiro Martins. 2022. "Xenocentrism and Consumer Buying Behavior: A Comparative Analysis of Malaysian vs. Nigerian Consumers" Journal of Risk and Financial Management 15, no. 2: 58. https://doi.org/10.3390/jrfm15020058
APA StyleVenugopal, V., Mata, M. N., Iloka, C. B., Dantas, R. D., Batista, A., Rita, J. X., & Martins, J. M. (2022). Xenocentrism and Consumer Buying Behavior: A Comparative Analysis of Malaysian vs. Nigerian Consumers. Journal of Risk and Financial Management, 15(2), 58. https://doi.org/10.3390/jrfm15020058

