Urinary Transthyretin as a Biomarker in ATTRv Val50Met Amyloidosis
Abstract
:1. Introduction
2. Patients and Methods
2.1. Patients
2.2. Analysis of TTR Concentrations in Urine Samples
2.3. Analysis of Urine Samples by Using Matrix-Assisted Laser Desorption/Ionization–Time-of-Flight Mass Spectrometry (MALDI-TOF MS)
2.4. Analysis of Serum Samples by Using MALDI-TOF MS
2.5. Immunoblot Analysis
2.6. Statistics
3. Results
3.1. Urinary TTR in Patients with ATTRv V50M Amyloidosis
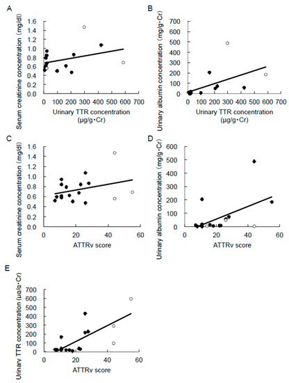
3.2. Correlation between Urinary TTR Concentrations and Kidney Function Markers
3.3. Biochemical Analyses for Urinary TTR
Western Blotting Analyses for Urinary TTR
3.4. Quantitative MS Analyses for Urinary TTR
4. Discussion
5. Conclusions
Author Contributions
Funding
Institutional Review Board Statement
Informed Consent Statement
Data Availability Statement
Acknowledgments
Conflicts of Interest
References
- Benson, M.D.; Buxbaum, J.N.; Eisenberg, D.S.; Merlini, G.; Saraiva, M.J.M.; Sekijima, Y.; Sipe, J.D.; Westermark, P. Amyloid nomenclature 2018: Recommendations by the International Society of Amyloidosis (ISA) nomenclature committee. Amyloid 2018, 25, 215–219. [Google Scholar] [CrossRef] [PubMed] [Green Version]
- Ando, Y.; Nakamura, M.; Araki, S. Transthyretin-related familial amyloidotic polyneuropathy. Arch. Neurol. 2005, 62, 1057–1062. [Google Scholar] [CrossRef] [PubMed] [Green Version]
- Ando, Y.; Coelho, T.; Berk, J.L.; Cruz, M.W.; Ericzon, B.-G.; Ikeda, S.-I.; Lewis, W.D.; Obici, L. Guideline of transthyretin-related hereditary amyloidosis for clinicians. Orphanet J. Rare Dis. 2013, 8, 31. [Google Scholar] [CrossRef] [Green Version]
- Ueda, M.; Ando, Y. Recent advances in transthyretin amyloidosis therapy. Transl. Neurodegener. 2014, 3, 19. [Google Scholar] [CrossRef] [PubMed] [Green Version]
- Hawkins, P.N.; Ando, Y.; Dispenzeri, A.; Gonzalez-Duarte, A.; Adams, D.; Suhr, O.B. Evolving landscape in the management of transthyretin amyloidosis. Ann. Med. 2015, 47, 625–638. [Google Scholar] [CrossRef] [PubMed] [Green Version]
- Galant, N.J.; Westermark, P.; Higaki, J.N.; Chakrabartty AGalant, N.J. Transthyretin amyloidosis: An under-recognized neuropathy and cardiomyopathy. Clin. Sci. 2017, 131, 395–409. [Google Scholar] [CrossRef] [PubMed]
- Tanskanen, M.; Peuralinna, T.; Polvikoski, T.; Notkola, I.-L.; Sulkava, R.; Hardy, J.; Singleton, A.; Kiuru-Enari, S.; Paetau, A.; Tienari, P.J.; et al. Senile systemic amyloidosis affects 25% of the very aged and associates with genetic variation in alpha2-macroglobulin and tau: A population-based autopsy study. Ann. Med. 2008, 40, 232–239. [Google Scholar] [CrossRef]
- González-López, E.; Gallego-Delgado, M.; Guzzo-Merello, G.; de Haro-Del Moral, F.J.; Cobo-Marcos, M.; Robles, C.; Bornstein, B.; Salas, C.; Lara-Pezzi, E.; Alonso-Pulpon, L.; et al. Wild-type transthyretin amyloidosis as a cause of heart failure with preserved ejection fraction. Eur. Heart J. 2015, 36, 2585–2594. [Google Scholar] [CrossRef] [Green Version]
- Sueyoshi, T.; Ueda, M.; Jono, H.; Irie, H.; Sei, A.; Ide, J.; Ando, Y.; Mizuta, H. Wild-type transthyretin-derived amyloidosis in various ligaments and tendons. Hum. Pathol. 2011, 42, 1259–1264. [Google Scholar] [CrossRef]
- Sekijima, Y.; Uchiyama, S.; Tojo, K.; Sano, K.; Shimizu, Y.; Imaeda, T.; Hoshii, Y.; Kato, H.; Ikeda, S.-I. High prevalence of wild-type transthyretin deposition in patients with idiopathic carpal tunnel syndrome: A common cause of carpal tunnel syndrome in the elderly. Hum. Pathol. 2011, 42, 1785–1791. [Google Scholar] [CrossRef] [Green Version]
- Siddiqi, O.K.; Ruberg, F.L. Cardiac Amyloidosis: An Update on Pathophysiology, Diagnosis, and Treatment. Trends Cardiovasc. Med. 2018, 28, 10–21. [Google Scholar] [CrossRef] [PubMed]
- Pitkänen, P.; Westermark, P.; Cornwell, G.G., 3rd. Senile systemic amyloidosis. Am. J. Pathol. 1984, 117, 391–399. [Google Scholar] [PubMed]
- Martone, R.L.; Schon, E.A.; Goodman, D.S.; Soprano, D.R.; Herbert, J. Retinol-binding protein is synthesized in the mammalian eye. Biochem. Biophys. Res. Commun. 1988, 157, 1078–1084. [Google Scholar] [CrossRef]
- Sekijima, Y. Transthyretin (ATTR) amyloidosis: Clinical spectrum, molecular pathogenesis and disease-modifying treatments. J. Neurol. Neurosurg. Psychiatry 2015, 86, 1036–1043. [Google Scholar] [CrossRef]
- Tashima, K.; Ando, Y.; Ando, E.; Tanaka, Y.; Ando, M.; Uchino, M. Heterogeneity of clinical symptoms in patients with familial amyloidotic polyneuropathy (FAP) (Met30). Amyloid 1997, 4, 108–111. [Google Scholar] [CrossRef]
- Araki, S.; Ando, Y. Transthyretin-related familial amyloidotic polyneuropathy—Progress in Kumamoto, Japan (1967–2010). Proc. Jpn. Acad. Ser. B Phys. Biol. Sci. 2010, 86, 694–706. [Google Scholar] [CrossRef] [Green Version]
- Sirohi, D.; Gandhi, J.; Amin, M.B.; Luthringer, D.J. Amyloidosis of the bladder and association with urothelial carcinoma: Report of 29 cases. Hum. Pathol. 2019, 93, 48–53. [Google Scholar] [CrossRef]
- Terazaki, H.; Ando, Y.; Misumi, S.; Nakamura, M.; Ando, E.; Matsunaga, N.; Shoji, S.; Okuyama, M.; Ideta, H.; Nakagawa, K.; et al. A novel compound heterozygote (FAP ATTR Arg104His/ATTR Val30Met) with high serum transthyretin (TTR) and retinol binding protein (RBP) levels. Biochem. Biophys. Res. Commun. 1999, 264, 365–370. [Google Scholar] [CrossRef]
- Tojo, K.; Sekijima, Y.; Kelly, J.W.; Ikeda, S.-I. Diflunisal stabilizes familial amyloid polyneuropathy-associated transthyretin variant tetramers in serum against dissociation required for amyloidogenesis. Neurosci. Res. 2006, 56, 441–449. [Google Scholar] [CrossRef]
- Takahashi, K.; Sakashita, N.; Ando, Y.; Suga, M.; Ando, M. Late onset type I familial amyloidotic polyneuropathy: Presentation of three autopsy cases in comparison with 19 autopsy cases of the ordinary type. Pathol. Int. 1997, 47, 353–359. [Google Scholar] [CrossRef]
- Koike, H.; Hashimoto, R.; Tomita, M.; Kawagashira, Y.; Iijima, M.; Tanaka, F.; Sobue, G. Diagnosis of sporadic transthyretin Val30Met familial amyloid polyneuropathy: A practical analysis. Amyloid 2011, 18, 53–62. [Google Scholar] [CrossRef] [PubMed]
- Lobato, L.; Rocha, A. Transthyretin amyloidosis and the kidney. Clin. J. Am. Soc. Nephrol. 2012, 7, 1337–1346. [Google Scholar] [CrossRef] [PubMed] [Green Version]
- Ando, Y.; Suhr, O.; Yamashita, T.; Ohlsson, P.-I.; Holmgren, G.; Obayashi, K.; Terazaki, H.; Mambule, C.; Uchino, M.; Ando, M. Detection of different forms of variant transthyretin (Met30) in cerebrospinal fluid. Neurosci. Lett. 1997, 238, 123–126. [Google Scholar] [CrossRef]
- Ando, Y.; Nyhlin, N.; Suhr, O.; Holmgren, G.; Uchida, K.; El Sahly, M.; Yamashita, T.; Terasaki, H.; Nakamura, M.; Uchino, M.; et al. Oxidative stress is found in amyloid deposits in systemic amyloidosis. Biochem. Biophys. Res. Commun. 1997, 232, 497–502. [Google Scholar] [CrossRef]
- Suhr, O.B.; Ando, Y.; Ohlsson, P.I.; Olofsson, A.; Andersson, K.; Lundgren, E.; Ando, M.; Holmgren, G. Investigation into thiol conjugation of transthyretin in hereditary transthyretin amyloidosis. Eur. J. Clin. Investig. 1998, 28, 687–692. [Google Scholar] [CrossRef]
- Suhr, O.B.; Svendsen, I.H.; Ohlsson, P.I.; Lendoire, J.; Trigo, P.; Tashima, K.; Ranløv, P.J.; Ando, Y. Impact of age and amyloidosis on thiol conjugation of transthyretin in hereditary transthyretin amyloidosis. Amyloid 1999, 6, 187–191. [Google Scholar] [CrossRef]
- Makover, A.; Moriwaki, H.; Ramakrishnan, R.; Saraiva, M.J.; Blaner, W.S.; Goodman, D.S. Plasma transthyretin. Tissue sites of degradation and turnover in the rat. J. Biol. Chem. 1988, 263, 8598–8603. [Google Scholar] [CrossRef]
- Quintas, A.; Vaz, D.C.; Cardoso, I.; Saraiva, M.J.M.; Brito, R.M.M. Tetramer dissociation and monomer partial unfolding precedes protofibril formation in amyloidogenic transthyretin variants. J. Biol. Chem. 2001, 276, 27207–27213. [Google Scholar] [CrossRef] [Green Version]




| Healthy Subjects | |||||||||||||||
| No. | Age (Years) | Gender | Serum TTR (mg/g Cr) | Serum Creatinine (mg/dL) | Urinary Albumin (mg/g Cr) | β2M (mg/g Cr) | NAG (IU/g Cr) | ||||||||
| 1 | 22 | F | 35.3 | 0.46 | 2.2 | 0.031 | 0.0 | ||||||||
| 2 | 22 | M | 22.8 | 0.58 | 3.1 | 0.054 | 1.871 | ||||||||
| 3 | 31 | M | 19.6 | 0.58 | 3.5 | 0.039 | 1.561 | ||||||||
| 4 | 24 | F | 24.3 | 0.59 | 4.1 | 0.063 | 1.532 | ||||||||
| 5 | 37 | F | 23.2 | 0.63 | 4.9 | 0.089 | 1.692 | ||||||||
| 6 | 28 | M | 28.4 | 0.70 | 5.4 | 0.031 | 3.043 | ||||||||
| 7 | 25 | M | 22.1 | 0.73 | 2.8 | 0.049 | 1.008 | ||||||||
| 8 | 26 | F | 19.3 | 0.76 | 5.9 | 0.030 | 1.492 | ||||||||
| 9 | 27 | M | 28.4 | 0.80 | 3.0 | 0.163 | 1.031 | ||||||||
| 10 | 27 | F | 25.6 | 0.80 | 8.0 | 0.073 | 2.793 | ||||||||
| 11 | 24 | F | 23.2 | 0.81 | 1.2 | 0.040 | 0.476 | ||||||||
| 12 | 34 | F | 24.9 | 0.89 | 4.1 | 0.057 | 1.131 | ||||||||
| 13 | 22 | M | 25.7 | 0.95 | 3.2 | 0.037 | 0.757 | ||||||||
| 14 | 34 | M | 29.3 | 0.95 | 6.6 | 0.058 | 2.623 | ||||||||
| 15 | 22 | M | 31.5 | 0.97 | 3.6 | 0.073 | 0.687 | ||||||||
| ATTRv V50M Amyloidosis Patients and Asymptomatic Carriers | |||||||||||||||
| No. | Age (Years) | Gender | Serum TTR (mg/g Cr) | Serum Creatinine (mg/dL) | Urinary Albumin (mg/g Cr) | β2M (mg/g Cr) | NAG (IU/g Cr) | Liver- Transplant | ATTRv Score | Age at Disease Onset | Duration of Disease | Age at Liver- Transplant | Cardiac | Neurologic | L/E |
| 1 | 31 | F | 19.4 | 0.52 | 10.5 | 0.211 | 3.2 | Yes | 7 | 30 | 1 | 31 | - | + | E |
| 2 | 41 | F | 21.2 | 0.59 | 0.0 | 0.213 | 0.8 | Yes | 8 | 34 | 1 | 35 | + | ++ | E |
| 3 | 39 | F | 18.3 | 0.58 | 4.0 | 0.080 | 6.5 | Yes | 11 | 34 | 1 | 35 | + | + | E |
| 4 | 39 | M | 14.2 | 0.94 | 18.3 | 0.182 | 5.1 | Yes | 11 | 25 | 3 | 28 | ++ | +++ | E |
| 5 | 28 | M | 24.3 | 0.84 | 0.0 | 0.139 | 5.9 | Yes | 11 | 27 | 1 | 28 | - | + | E |
| 6 | 50 | F | 15.3 | 0.61 | 204.0 | 0.248 | 2.6 | No | 11 | 37 | 4 | 41 | +++ | +++ | E |
| 7 | 42 | M | 14.1 | 0.62 | 13.5 | 0.127 | 2.3 | Yes | 16 | 28 | 4 | 32 | +++ | +++ | E |
| 8 | 37 | F | 18.1 | 0.5 | 6.7 | 0.225 | 2.5 | Yes | 18 | 29 | 2 | 31 | + | ++ | E |
| 9 | 37 | F | 19.2 | 0.67 | 6.8 | 0.254 | 3.6 | Yes | 22 | 30 | 3 | 33 | + | ++ | E |
| 10 | 36 | M | 17.3 | 0.84 | 9.1 | 0.112 | 2.2 | Yes | 23 | 28 | 2 | 30 | ++ | ++ | E |
| 11 | 36 | M | 15.8 | 1.07 | 57.6 | 0.203 | 5.8 | Yes | 26 | 28 | 2 | 30 | + | ++ | E |
| 12 | 42 | M | 16.1 | 0.47 | 49.0 | 0.062 | 1.6 | Yes | 26 | 38 | 3 | 41 | + | + | E |
| 13 | 50 | F | 13.2 | 0.79 | 4.8 | 0.164 | 4.1 | Yes | 14 | 37 | 4 | 41 | +++ | +++ | E |
| 14 | 72 | M | 17.7 | 0.69 | 183.7 | 0.241 | 2.9 | No | 55 | 65 | - | - | + | ++ | L |
| 15 | 63 | F | 16.9 | 0.56 | 3.9 | 0.216 | 4.2 | No | 44 | 59 | - | - | +- | + | L |
| 16 | 46 | F | 18.5 | 0.86 | 72.4 | 0.149 | 4.7 | No | 28 | 46 | - | - | - | + | E |
| 17 | 59 | F | 22.1 | 1.47 | 487.8 | 0.173 | 5.6 | No | 44 | 51 | - | - | + | ++ | L |
| 18 | 26 | F | 25.4 | 0.53 | 5.7 | 0.220 | 5.6 | Carrier | - | - | - | - | |||
| 19 | 28 | M | 26.3 | 0.67 | 0.0 | 0.081 | 4.8 | Carrier | - | - | - | - | |||
| 20 | 23 | M | 21.3 | 0.71 | 3.3 | 0.163 | 5.2 | Carrier | - | - | - | - | |||
| 21 | 39 | M | 28.5 | 0.85 | 17.3 | 0.184 | 3.3 | Carrier | - | - | - | - | |||
Publisher’s Note: MDPI stays neutral with regard to jurisdictional claims in published maps and institutional affiliations. |
© 2022 by the authors. Licensee MDPI, Basel, Switzerland. This article is an open access article distributed under the terms and conditions of the Creative Commons Attribution (CC BY) license (https://creativecommons.org/licenses/by/4.0/).
Share and Cite
Matsushita, H.; Misumi, Y.; Masuda, T.; Okada, M.; Inoue, F.; Ueda, M.; Ando, Y. Urinary Transthyretin as a Biomarker in ATTRv Val50Met Amyloidosis. Pathophysiology 2022, 29, 333-343. https://doi.org/10.3390/pathophysiology29030025
Matsushita H, Misumi Y, Masuda T, Okada M, Inoue F, Ueda M, Ando Y. Urinary Transthyretin as a Biomarker in ATTRv Val50Met Amyloidosis. Pathophysiology. 2022; 29(3):333-343. https://doi.org/10.3390/pathophysiology29030025
Chicago/Turabian StyleMatsushita, Hiroaki, Yohei Misumi, Teruaki Masuda, Masamitsu Okada, Fumika Inoue, Mitsuharu Ueda, and Yukio Ando. 2022. "Urinary Transthyretin as a Biomarker in ATTRv Val50Met Amyloidosis" Pathophysiology 29, no. 3: 333-343. https://doi.org/10.3390/pathophysiology29030025
APA StyleMatsushita, H., Misumi, Y., Masuda, T., Okada, M., Inoue, F., Ueda, M., & Ando, Y. (2022). Urinary Transthyretin as a Biomarker in ATTRv Val50Met Amyloidosis. Pathophysiology, 29(3), 333-343. https://doi.org/10.3390/pathophysiology29030025

