Pharmaceutical Coating and Its Different Approaches, a Review
Abstract
:1. Introduction
1.1. Development of Coating Processes
1.2. Definition and Scope of Pharmaceutical Coating
1.3. Objective of Coating
1.4. Benefits of Coating
1.5. Drawbacks of FC
2. Film Coating
2.1. Organic Film Coating
2.2. Aqueous Film Coating
3. The Present Trend of Aqueous FC in Pharmaceutical Oral Solid Dose Forms
3.1. Polymers Used in Pharmaceutical Coating
3.1.1. CAP
3.1.2. Cellulose Acetate Trimellitate (CAT)
3.1.3. Methylcellulose (MC)
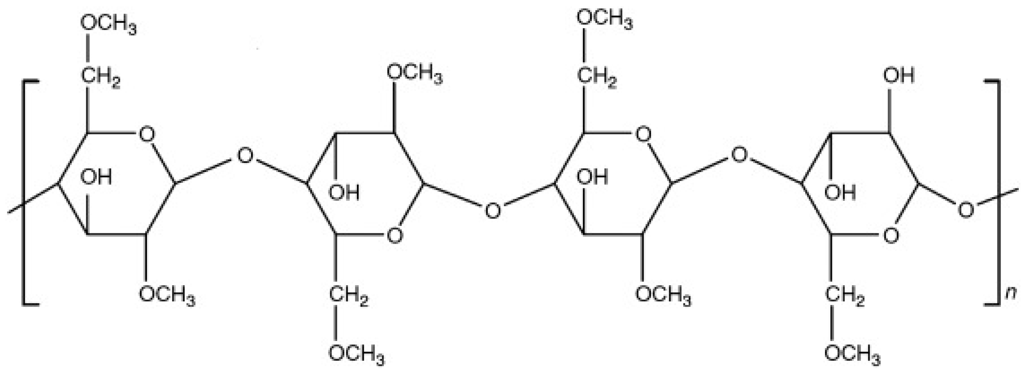
3.1.4. Ethylcellulose (EC)

3.1.5. Hydroxyethyl Cellulose (HEC)

3.1.6. Hydroxypropyl Methylcellulose (HPMC)
3.1.7. Polyvinyl Pyrrolidone (PVP)

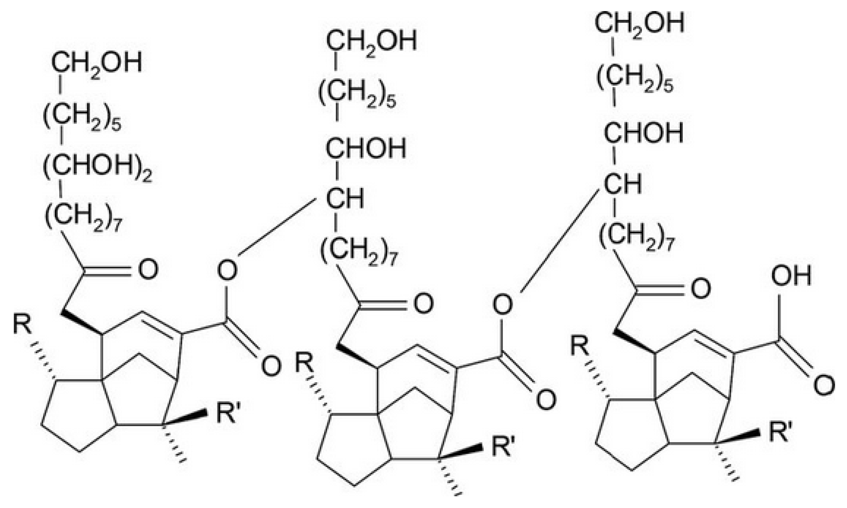
3.1.8. Shellac

3.1.9. Sodium Carboxymethylcellulose (SCMC)

3.1.10. Zein

3.1.11. Eudragit L-100-55

3.1.12. Other Additives
Plasticizer
Colorants and Opacifiers
3.2. Issues Related to Aqueous Film Coating
3.3. Equipment Used for Tablet Coating
3.4. Configuration of Coating Material
3.4.1. Capacity of Air
3.4.2. Efficiency of the Equipment Used
3.4.3. Surface Area of the Tablets
Standard Coating Pan
Immersion Sword
Immersion Tube System
Baffled Diffuser and Pan
3.4.4. Perforated Coating Pan
AccelaCota System
Dria Coater Pan
Glatt Coater
Fluidized-Bed Coater
High-Pressure Airless Systems
Low-Pressure Air-Atomized System
Evaluation Parameters of FC Tablets
3.5. Pharmaceutical Application of Film Coating
3.5.1. Modified Drug Release
3.5.2. Delayed Drug Release
3.5.3. Colon-Targeted Drug Release
3.5.4. Chronotherapeutic Drug Release
3.5.5. Sustained Drug Release
3.5.6. Taste Masking
3.5.7. Active Film Coating
3.5.8. FC in the Field of Nanotechnology
3.5.9. Marketed Available Products
4. Conclusions
5. Current Limitations and Potential Challenges in the Field of FC
- Due to the coating of the dosage forms, the processing time could be increased. The issue could be minimized by using a solid aqueous coating method.
- Water, used as a universal solvent, if not removed effectively, may initiate chemical reactions. However, some modern formulation procedures use solid coating methods to resolve such issues effectively.
- It is also possible that if the harsher process for coating or removal of water contents were used, they might affect the dissolution rate of the formulated dosage form. Thus, specialized coating formulations with specific pressure and temperature requirements were used to minimize such issues [110].
Funding
Informed Consent Statement
Data Availability Statement
Conflicts of Interest
References
- Advankar, A.; Maheshwari, R.; Tambe, V.; Todke, P.; Raval, N.; Kapoor, D.; Tekade, R.K. Specialized Tablets: Ancient History to Modern Developments; Drug Delivery Systems; Elsevier: Amsterdam, The Netherlands, 2019; pp. 615–664. [Google Scholar]
- Park, K. Drug delivery of the future: Chasing the invisible gorilla. J. Control. Release 2016, 240, 2–8. [Google Scholar] [CrossRef] [PubMed]
- Maurya, R.; Sharma, P.K.; Malviya, R. A review on controlled drug release formulation: Spansules. Int. J. Pharm. Sci. Res. 2014, 5, 78–81. [Google Scholar]
- Trucillo, P. Drug carriers: Classification, administration, release profiles, and industrial approach. Processes 2021, 9, 470. [Google Scholar] [CrossRef]
- Alazzawi, H.F.; Salih, I.K.; Albayati, T.M. Drug delivery of amoxicillin molecule as a suggested treatment for COVID-19 implementing functionalized mesoporous SBA-15 with aminopropyl groups. Drug Deliv. 2021, 28, 856–864. [Google Scholar] [CrossRef] [PubMed]
- Vavsari, V.F.; Ziarani, G.M.; Badiei, A. The role of SBA-15 in drug delivery. RSC Adv. 2015, 5, 91686–91707. [Google Scholar] [CrossRef]
- Popova, T.; Tzankov, B.; Voycheva, C.; Spassova, I.; Kovacheva, D.; Tzankov, S.; Aluani, D.; Tzankova, V.; Lambov, N. Mesoporous silica MCM-41 and HMS as advanced drug delivery carriers for bicalutamide. J. Drug Deliv. Sci. Technol. 2021, 62, 102340. [Google Scholar] [CrossRef]
- Kalash, K.R.; Albayati, T.M. Remediation of oil refinery wastewater implementing functionalized mesoporous materials MCM-41 in batch and continuous adsorption process. Desalin. Water Treat. 2021, 220, 130–141. [Google Scholar] [CrossRef]
- Porter, S.C. Coating of Pharmaceutical Dosage Forms; Remington: Madison, NC, USA; Elsevier: Amsterdam, The Netherlands, 2021; pp. 551–564. [Google Scholar]
- Reddy, B.V.; Navaneetha, K.; Reddy, B.R. Tablet coating industry point view-a comprehensive review. Int. J. Pharm. Biol. Sci. 2013, 3, 248–261. [Google Scholar]
- Saikh, M. Pharmaceutical’s Granulation; LAP Lambert Academic Publishing: Saarbrucken, Germany, 2016. [Google Scholar]
- Saikh, M.A.A. Aqueous film coating the current trend. J. Drug Deliv. Ther. 2021, 11, 212–224. [Google Scholar] [CrossRef]
- Saikh, M.A.A. Coating Processes of Pharmaceutical Applicability: A Glimpse. J. Drug Deliv. Ther. 2022, 12, 126–138. [Google Scholar] [CrossRef]
- Arora, R.; Rathore, K.S.; Bharakatiya, M. An Overview on Tablet Coating. Asian J. Pharm. Res. Dev. 2019, 7, 89–92. [Google Scholar] [CrossRef]
- Saikh, M.A.A. A technical note on granulation technology: A way to optimise granules. Int. J. Pharm. Sci. Res. 2013, 4, 55. [Google Scholar]
- Ahmed, S.; Patil, S.; Khan, M.; Khan, M. Tablet coating techniques: Concept and recent trends. Int. J. Pharm. Sci. Rev. Res. 2021, 66, 43–53. [Google Scholar]
- Bharadia, P.; Pandya, V.M. A Review on Aqueous Film Coating Technology; Innovative Publication: Delhi, India, 2014. [Google Scholar]
- Zaid, A.N. A Comprehensive review on pharmaceutical film coating: Past, present, and future. Drug Des. Dev. Ther. 2020, 14, 4613. [Google Scholar] [CrossRef]
- Silva, J.P.S.e.; Sousa, S.C.; Costa, P.; Cerdeira, E.; Amaral, M.H.; Lobo, J.S.; Gomes, A.M.; Pintado, M.M.; Rodrigues, D.; Rocha-Santos, T.; et al. Development of probiotic tablets using microparticles: Viability studies and stability studies. AAPS Pharmscitech. 2013, 14, 121–127. [Google Scholar] [CrossRef] [PubMed]
- Khode, A.; Jambhorkar, S. A literature review on patent information retrieval techniques. Indian J. Sci. Technol. 2017, 10, 1–13. [Google Scholar] [CrossRef]
- Felton, L.A.; Porter, S.C. An update on pharmaceutical film coating for drug delivery. Expert Opin. Drug Deliv. 2013, 10, 421–435. [Google Scholar] [CrossRef]
- Maheshwari, R.; Sharma, P.; Tekade, M.; Atneriya, U.; Dua, K.; Hansbro, P.M.; Tekade, R.K. Microsponge embedded tablets for sustained delivery of nifedipine. Pharm. Nanotechnol. 2017, 5, 192–202. [Google Scholar] [CrossRef] [PubMed]
- Tekade, R.K.; Maheshwari, R.; Tekade, M. Biopolymer-Based Nanocomposites for Transdermal Drug Delivery. Biopolymer-Based Composites; Elsevier: Amsterdam, The Netherlands, 2017; pp. 81–106. [Google Scholar]
- Desai, D.S.; Li, B.V. Coated Tablet Formulation and Method. European Patent EP1753406A1, 20 April 2016. [Google Scholar]
- Augsburger, L.L.; Hoag, S.W. Pharmaceutical Dosage Forms-Tablets; CRC Press: Boca Raton, FL, USA, 2016. [Google Scholar]
- Knop, K.; Kleinebudde, P. PAT-tools for process control in pharmaceutical film coating applications. Int. J. Pharm. 2013, 457, 527–536. [Google Scholar] [CrossRef]
- Ganguly, D.; Ghosh, S.; Chakraborty, P.; Mitra, S.; Chatterjee, S.; Panja, S.; Choudhury, A. A brief review on recent advancement of tablet coating technology. J. Appl. Pharm. Res. 2022, 10, 7–14. [Google Scholar] [CrossRef]
- Grekov, M.; Kostyrko, S. A multilayer film coating with slightly curved boundary. Int. J. Eng. Sci. 2015, 89, 61–74. [Google Scholar] [CrossRef]
- Ulman, A. An Introduction to Ultrathin Organic Films: From Langmuir—Blodgett to Self—Assembly; Academic Press: Cambridge, MA, USA, 2013. [Google Scholar]
- Han, J.H. Edible Films and Coatings: A review. In Innovations in Food Packaging; Pepsico Inc.: Plano, TX, USA, 2014; pp. 213–255. [Google Scholar]
- Kapoor, D.; Maheshwari, R.; Verma, K.; Sharma, S.; Ghode, P.; Tekade, R.K. Coating Technologies in Pharmaceutical Product Development. In Drug Delivery Systems; Elsevier: Amsterdam, The Netherlands, 2020; pp. 665–719. [Google Scholar]
- Qiu, Y.; Chen, Y.; Zhang, G.G.; Yu, L.; Mantri, R.V. Developing Solid Oral Dosage Forms: Pharmaceutical Theory and Practice; Academic Press: Cambridge, MA, USA, 2016. [Google Scholar]
- Miller, D.A.; McGinity, J.W. Aqueous Polymeric Film Coating. In Pharmaceutical Dosage Forms-Tablets; CRC Press: Boca Raton, FL, USA, 2008; pp. 415–454. [Google Scholar]
- Gupta, V.K.; Beckert, T.E.; Deusch, N.J.; Hariharan, M.; Price, J.C. Investigation of potential ionic interactions between anionic and cationic polymethacrylates of multiple coatings of novel colonic delivery system. Drug Dev. Ind. Pharm. 2002, 28, 207–215. [Google Scholar] [CrossRef] [PubMed]
- Ahmed, A.R.; Mota, J.P.; Shahba, A.A.-W.; Irfan, M. Aqueous Polymeric Coatings: New Opportunities in Drug Delivery Systems. In Drug Delivery Aspects; Elsevier: Amsterdam, The Netherlands, 2020; pp. 33–56. [Google Scholar]
- Kumar, N. Polysaccharide-based component and their relevance in edible film/coating: A review. Nutr. Food Sci. 2019, 49, 793–823. [Google Scholar] [CrossRef]
- Shokri, J.; Adibkia, K. Application of Cellulose and Cellulose Derivatives in Pharmaceutical Industries; IntechOpen: London, UK, 2013. [Google Scholar]
- Mehta, P.P.; Pawar, V.S. Electrospun Nanofiber Scaffolds: Technology and Applications. In Applications of Nanocomposite Materials in Drug Delivery; Elsevier: Amsterdam, The Netherlands, 2018; pp. 509–573. [Google Scholar]
- Ahuja, N.; Bhandari, A. Review on development of HPMCP based aqueous enteric coating polymer. Int. J. Res. Pharm. Chem. 2012, 2, 570–574. [Google Scholar]
- Grenier, P.; Taillemite, J.; Serreau, S.; Nhamias, A. Pharmaceutical Composition Containing Coated, Floating Particles. US Patent US8927028B2, 6 January 2015. [Google Scholar]
- Jamard, M.; Sheardown, H. Effect of methylcellulose molecular weight on the properties of self-assembling MC-g-PNtBAm nanogels. Bioengineering 2018, 5, 39. [Google Scholar] [CrossRef] [PubMed]
- Brady, J.; Dürig, T.; Lee, P.; Li, J. Developing Solid Oral Dosage Forms; Qiu, Y., Chen, Y., Zhang, G., Yu, L., Mantri, R.V., Eds.; Elsevier: Amsterdam, The Netherlands, 2017; p. 270. [Google Scholar]
- Dürig, T.; Karan, K. Binders in Wet Granulation. In Handbook of Pharmaceutical Wet Granulation; Elsevier: Amsterdam, The Netherlands, 2019; pp. 317–349. [Google Scholar]
- Hosseini, A.; Körber, M.; Bodmeier, R. Direct compression of cushion-layered ethyl cellulose-coated extended release pellets into rapidly disintegrating tablets without changes in the release profile. Int. J. Pharm. 2013, 457, 503–509. [Google Scholar] [CrossRef] [PubMed]
- Kumbhar, D.M.; Mali, K.K.; Dias, R.J.; Havaldar, V.D.; Ghorpade, V.S.; Salunkhe, N.H. Formulation and development of ethyl cellulose coated pectin based capecitabine loaded microspheres for colorectal cancer. Res. J. Pharm. Dos. Technol. 2016, 8, 261–268. [Google Scholar] [CrossRef]
- Khan, S.A.; Ahmad, M.; Murtaza, G.; Aamir, M.; Rasool, F.; Akhtar, M. Study of nimesulide release from ethylcellulose microparticles and drug-polymer compatibility analysis. Lat. Am. J. Pharm. 2010, 29, 554–561. [Google Scholar]
- Ciekot, J.; Psurski, M.; Jurec, K.; Boratyński, J. Hydroxyethylcellulose as a methotrexate carrier in anticancer therapy. Investig. New Drugs 2021, 39, 15–23. [Google Scholar] [CrossRef] [PubMed]
- Chowdary, K.S.; Napoleon, A. Bilayer Tablets of Paliperidone for Extended Release Osmotic Drug Delivery. In IOP Conference Series: Materials Science and Engineering; IOP Publishing: Bristol, UK, 2017. [Google Scholar]
- Cano-Barrita, P.d.J.; León-Martínez, F. Biopolymers with Viscosity-Enhancing Properties for Concrete. In Biopolymers and Biotech Admixtures for Eco-Efficient Construction Materials; Elsevier: Amsterdam, The Netherlands, 2016; pp. 221–252. [Google Scholar]
- Kamel, S.; Ali, N.; Jahangir, K.; Shah, S.; El-Gendy, A. Pharmaceutical significance of cellulose: A review. Express Polym. Lett. 2008, 2, 758–778. [Google Scholar] [CrossRef]
- Fagundes, C.; Palou, L.; Monteiro, A.R.; Pérez-Gago, M.B. Effect of antifungal hydroxypropyl methylcellulose-beeswax edible coatings on gray mold development and quality attributes of cold-stored cherry tomato fruit. Postharvest Biol. Technol. 2014, 92, 1–8. [Google Scholar] [CrossRef]
- Zong, Y.; Xu, P.; Yue, H.; Li, X. Synthesis and gelation properties of HPMC-g-poly (AM/AA/APEG2400) quaternary copolymer. J. Mol. Liq. 2022, 353, 118789. [Google Scholar] [CrossRef]
- Waleka, E.; Stojek, Z.; Karbarz, M. Activity of Povidone in Recent Biomedical Applications with Emphasis on Micro-and Nano Drug Delivery Systems. Pharmaceutics 2021, 13, 654. [Google Scholar] [CrossRef] [PubMed]
- Yang, M.; Xie, S.; Li, Q.; Wang, Y.; Chang, X.; Shan, L.; Sun, L.; Huang, X.; Gao, C. Effects of polyvinylpyrrolidone both as a binder and pore-former on the release of sparingly water-soluble topiramate from ethylcellulose coated pellets. Int. J. Pharm. 2014, 465, 187–196. [Google Scholar] [CrossRef] [PubMed]
- Tang, Y.; Teng, H.; Shi, Y.; He, H.; Zhang, Y.; Yin, T.; Cai, C.; Tang, X. Tablets of paliperidone using compression-coated technology for controlled ascending release. Asian J. Pharm. Sci. 2018, 13, 143–154. [Google Scholar] [CrossRef]
- Nadal-Gratacós, N.; Lleixà, E.; Gibert-Serramià, M.; Estrada-Tejedor, R.; Berzosa, X.; Batllori, X.; Pubill, D.; Camarasa, J.; Escubedo, E.; López-Arnau, R. Neuropsychopharmacology of Emerging Drugs of Abuse: Meta-and para-Halogen-Ring-Substituted α-PVP (“flakka”) Derivatives. Int. J. Mol. Sci. 2022, 23, 2226. [Google Scholar] [CrossRef] [PubMed]
- Al-Gousous, J.; Penning, M.; Langguth, P. Molecular insights into shellac film coats from different aqueous shellac salt solutions and effect on disintegration of enteric-coated soft gelatin capsules. Int. J. Pharm. 2015, 484, 283–291. [Google Scholar] [CrossRef] [PubMed]
- Atiyah, N.A.; Albayati, T.M.; Atiya, M.A. Interaction behavior of curcumin encapsulated onto functionalized SBA-15 as an efficient carrier and release in drug delivery. J. Mol. Struct. 2022, 1260, 132879. [Google Scholar] [CrossRef]
- Ma, K.; Qiu, Y.; Fu, Y.; Ni, Q.-Q. Improved shellac mediated nanoscale application drug release effect in a gastric-site drug delivery system. RSC Adv. 2017, 7, 53401–53406. [Google Scholar] [CrossRef]
- Yadav, M.; Rhee, K.; Jung, I.; Park, S. Eco-friendly synthesis, characterization and properties of a sodium carboxymethyl cellulose/graphene oxide nanocomposite film. Cellulose 2013, 20, 687–698. [Google Scholar] [CrossRef]
- Shinde, A.J. Formulation and optimization of expandable gastroretentive tablet of diltiazem hydrochloride using factorial design. Asian J. Pharm. 2017, 11, 1–13. [Google Scholar]
- Chytil, M.; Lišková, K.; Janeček, J. The influence of counterions of different valency on carboxymethylcellulose viscoelastic behavior. In Rheology: Theory, Properties and Practical Applications, 1st ed.; Nova Science Publishers: Hauppauge, NY, USA, 2014. [Google Scholar]
- Labib, G. Overview on zein protein: A promising pharmaceutical excipient in drug delivery systems and tissue engineering. Expert Opin. Drug Deliv. 2018, 15, 65–75. [Google Scholar] [CrossRef] [PubMed]
- Nguyen, M.N.-U.; Van, T.V.; Tran, P.H.-L.; Tran, T.T.-D. Development of a Zein-Based System for Colon Specific Delivery. In IFMBE Proceedings: International Conference on the Development of Biomedical Engineering in Vietnam, Ho Chi Minh, Vietnam, 27–29 June 2017; Springer: Berlin/Heidelberg, Germany, 2017. [Google Scholar]
- Ali, S.; Khatri, Z.; Oh, K.W.; Kim, I.-S.; Kim, S.H. Zein/cellulose acetate hybrid nanofibers: Electrospinning and characterization. Macromol. Res. 2014, 22, 971–977. [Google Scholar] [CrossRef]
- Hao, S.; Wang, B.; Wang, Y.; Zhu, L.; Wang, B.; Guo, T. Preparation of Eudragit L 100-55 enteric nanoparticles by a novel emulsion diffusion method. Colloids Surf. B Biointerfaces 2013, 108, 127–133. [Google Scholar] [CrossRef] [PubMed]
- Franco, P.; De Marco, I. Eudragit: A novel carrier for controlled drug delivery in supercritical antisolvent coprecipitation. Polymers 2020, 12, 234. [Google Scholar] [CrossRef]
- Alsulays, B.B.; Kulkarni, V.; AlShehri, S.M.; Almutairy, B.K.; Ashour, E.A.; Morott, J.T.; Alshetaili, A.S.; Park, J.-B.; Tiwari, R.V.; Repka, M.A. Preparation and evaluation of enteric coated tablets of hot-melt extruded lansoprazole. Drug Dev. Ind. Pharm. 2017, 43, 789–796. [Google Scholar] [CrossRef] [PubMed]
- Hamman, J.H. Chitosan based polyelectrolyte complexes as potential carrier materials in drug delivery systems. Mar. Drugs 2010, 8, 1305–1322. [Google Scholar] [CrossRef]
- Chaudhary, R.S.; Patel, T.; Kumar, J.R.; Chan, M. Effect of substitution of plasticizer dibutyl phthalate with dibutyl sebacate on Eudragit® RS30D drug release rate control. Pharm. Dev. Technol. 2019, 24, 276–282. [Google Scholar] [CrossRef]
- Haaser, M.; Naelapää, K.; Gordon, K.; Pepper, M.; Rantanen, J.; Strachan, C.; Taday, P.F.; Zeitler, A.; Rades, T. Evaluating the effect of coating equipment on tablet film quality using terahertz pulsed imaging. Eur. J. Pharm. Biopharm. 2013, 85, 1095–1102. [Google Scholar] [CrossRef]
- Rathod, H.; Khinchi, M.; Agrawal, D.; Gupta, M. Recent advancement in tablet technology: A review. Int. J. Pharm. Res. Dev. 2012, 4, 21–30. [Google Scholar]
- Dreu, R.; Luštrik, M.; Perpar, M.; Žun, I.; Srčič, S. Fluid-bed coater modifications and study of their influence on the coating process of pellets. Drug Dev. Ind. Pharm. 2012, 38, 501–511. [Google Scholar] [CrossRef] [PubMed]
- da Silva, C.A.M.; Butzge, J.J.; Nitz, M.; Taranto, O.P. Monitoring and control of coating and granulation processes in fluidized beds—A review. Adv. Powder Technol. 2014, 25, 195–210. [Google Scholar] [CrossRef]
- Lefebvre, A.H.; McDonell, V.G. Atomization and Sprays; CRC Press: Boca Raton, FL, USA, 2017. [Google Scholar]
- Shukla, A.K.; Yadav, A.; Vishwakarma, R.; Mishra, S. Applications, isolation and characterization of fenugreek seed gum as pharmaceutical excipient. J. Med. Pharm. Allied Sci. 2020, 9, 920. [Google Scholar] [CrossRef]
- Ngwuluka, N.; Idiakhoa, B.; Nep, E.; Ogaji, I.; Okafor, I. Formulation and evaluation of paracetamol tablets manufactured using the dried fruit of Phoenix dactylifera Linn as an excipient. Res. Pharm. Biotechnol. 2010, 2, 25–32. [Google Scholar]
- Shukla, A.K.; Bishnoi, R.S.; Kumar, M.; Jain, C. Isolation and characterization of natural and modified seed gum. Asian J. Pharm. Pharmacol. 2019, 5, 409–418. [Google Scholar] [CrossRef]
- Shah, H.P.; Prajapati, S.T. Quality by design based development and optimization of novel gastroretentive floating osmotic capsules of clopidogrel bisulfate. J. Pharm. Investig. 2019, 49, 295–311. [Google Scholar] [CrossRef]
- Gobinath, T. Formulation and Evaluation of Enteric Coated Tablets of Pantoprazole; JKK Nattraja College of Pharmacy: Komarapalayam, India, 2014. [Google Scholar]
- Tirpude, R.N.; Puranik, P.K. Rabeprazole sodium delayed-release multiparticulates: Effect of enteric coating layers on product performance. J. Adv. Pharm. Technol. Res. 2011, 2, 184. [Google Scholar] [CrossRef]
- Grady, H.; Murakawa, Y.; Mulford, D.; Kukulka, M. Development of Dexlansoprazole Delayed-Release Capsules, a Dual Delayed-Release Proton Pump Inhibitor. J. Pharm. Sci. 2019, 108, 3496–3501. [Google Scholar] [CrossRef]
- Moroz, E.; Matoori, S.; Leroux, J.-C. Oral delivery of macromolecular drugs: Where we are after almost 100 years of attempts. Adv. Drug Deliv. Rev. 2016, 101, 108–121. [Google Scholar] [CrossRef]
- Wong, C.Y.; Martinez, J.; Carnagarin, R.; Dass, C.R. In-vitro evaluation of enteric coated insulin tablets containing absorption enhancer and enzyme inhibitor. J. Pharm. Pharmacol. 2017, 69, 285–294. [Google Scholar] [CrossRef]
- Fuhrmann, G.; Leroux, J.-C. Improving the stability and activity of oral therapeutic enzymes—Recent advances and perspectives. Pharm. Res. 2014, 31, 1099–1105. [Google Scholar] [CrossRef] [PubMed]
- Patole, V.C.; Pandit, A.P. Mesalamine-loaded alginate microspheres filled in enteric coated HPMC capsules for local treatment of ulcerative colitis: In vitro and in vivo characterization. J. Pharm. Investig. 2018, 48, 257–267. [Google Scholar] [CrossRef]
- Pawar, P.K.; Gautam, C. Design, optimization and evaluation of mesalamine matrix tablet for colon drug delivery system. J. Pharm. Investig. 2016, 46, 67–78. [Google Scholar] [CrossRef]
- Lee, S.H.; Bajracharya, R.; Min, J.Y.; Han, J.-W.; Park, B.J.; Han, H.-K. Strategic approaches for colon targeted drug delivery: An overview of recent advancements. Pharmaceutics 2020, 12, 68. [Google Scholar] [CrossRef] [PubMed]
- Maroni, A.; Del Curto, M.D.; Zema, L.; Foppoli, A.; Gazzaniga, A. Film coatings for oral colon delivery. Int. J. Pharm. 2013, 457, 372–394. [Google Scholar] [CrossRef]
- Seo, K.-S.; Bajracharya, R.; Lee, S.H.; Han, H.-K. Pharmaceutical application of tablet film coating. Pharmaceutics 2020, 12, 853. [Google Scholar] [CrossRef]
- Ranmal, S.; Yadav, V.; Basit, A. Targeting the end goal: Opportunities & innovations in colonic drug delivery. ON Drug Delivery Mag. 2017, 77, 22–26. [Google Scholar]
- Dodoo, C.C.; Wang, J.; Basit, A.W.; Stapleton, P.; Gaisford, S. Targeted delivery of probiotics to enhance gastrointestinal stability and intestinal colonisation. Int. J. Pharm. 2017, 530, 224–229. [Google Scholar] [CrossRef]
- Goyanes, A.; Chang, H.; Sedough, D.; Hatton, G.B.; Wang, J.; Buanz, A.; Gaisford, S.; Basit, A.W. Fabrication of controlled-release budesonide tablets via desktop (FDM) 3D printing. Int. J. Pharm. 2015, 496, 414–420. [Google Scholar] [CrossRef]
- Khan, Z.; Govender, M.; Indermun, S.; Kumar, P.; Choonara, Y.E.; du Toit, L.C.; Meyer, L.C.; Pillay, V. In vitro and in vivo evaluation of an oral multi-layered multi-disk tablet for specialized chronotherapeutic drug delivery. J. Drug Deliv. Sci. Technol. 2018, 45, 39–44. [Google Scholar] [CrossRef]
- Thapaliya, R.; Shrestha, K.; Sharma, A.; Dhakal, N.; Manandhar, P.; Shrestha, S.; Bhattarai, R. Physicochemical characterization of naproxen microcrystals for colon specific pulsatile drug delivery designed using pulsincap technique. J. Pharm. Investig. 2019, 49, 553–564. [Google Scholar] [CrossRef]
- Jain, A.; Chauhan, R.; Singh, S.; Kulkarni, S.; Jain, S. Optimization of coating material for sustained release venlafaxine hydrochloride tablet. Int. J. Life Sci. Pharma. Res. 2015, 5, 1–12. [Google Scholar]
- Wan, D.; Zhao, M.; Zhang, J.; Luan, L. Development and in vitro-in vivo evaluation of a novel sustained-release loxoprofen pellet with double coating layer. Pharmaceutics 2019, 11, 260. [Google Scholar] [CrossRef] [PubMed]
- Joshi, S.; Petereit, H.-U. Film coatings for taste masking and moisture protection. Int. J. Pharm. 2013, 457, 395–406. [Google Scholar] [CrossRef] [PubMed]
- Almukainzi, M.; Araujo, G.L.; Löbenberg, R. Orally disintegrating dosage forms. J. Pharm. Investig. 2019, 49, 229–243. [Google Scholar] [CrossRef]
- Faisal, W.; Farag, F.; Abdellatif, A.A.; Abbas, A. Taste masking approaches for medicines. Curr. Drug Deliv. 2018, 15, 167–185. [Google Scholar] [CrossRef]
- Nishiyama, T.; Ogata, T.; Ozeki, T. Preparation of bitter taste-masking granules of lafutidine for orally disintegrating tablets using water-insoluble/soluble polymer combinations. J. Drug Deliv. Sci. Technol. 2016, 32, 38–42. [Google Scholar] [CrossRef]
- Chen, W.; Wang, J.; Desai, D.; Chang, S.Y.; Kiang, S.; Lyngberg, O. A Strategy for Tablet Active Film Coating Formulation Development Using a Content Uniformity Model and Quality by Design Principles. In Comprehensive Quality by Design for Pharmaceutical Product Development and Manufacture; Reklaitis, G.V., Seymour, C., García-Munoz, S., Eds.; Chemical Engineering Progress: New York, NY, USA, 2017; pp. 193–233. [Google Scholar]
- Moon, C.; Oh, E. Rationale and strategies for formulation development of oral fixed dose combination drug products. J. Pharm. Investig. 2016, 46, 615–631. [Google Scholar] [CrossRef]
- Mittal, B. How to Develop Robust Solid Oral Dosage Forms: From Conception to Post-Approval; Academic Press: Cambridge, MA, USA, 2016. [Google Scholar]
- Yang, S.; Wang, X.; Jia, J.; Li, P. Release property study on the novel divalproex sodium enteric-coated capsules. Saudi Pharm. J. 2016, 24, 245–249. [Google Scholar] [CrossRef]
- Gaur, P.K.; Mishra, S.; Gautam, R.; Singh, A.P.; Yasir, M. Film coating technology: Past, present and future. J. Pharm. Sci. Pharmacol. 2014, 1, 57–67. [Google Scholar] [CrossRef]
- Wang, J.; Hemenway, J.; Chen, W.; Desai, D.; Early, W.; Paruchuri, S.; Chang, S.-Y.; Stamato, H.; Varia, S. An evaluation of process parameters to improve coating efficiency of an active tablet film-coating process. Int. J. Pharm. 2012, 427, 163–169. [Google Scholar] [CrossRef] [PubMed]
- Ansari, M.J.; Kadhim, M.M.; Hussein, B.A.; Lafta, H.A.; Kianfar, E. Synthesis and stability of magnetic nanoparticles. BioNanoScience 2022, 12, 627–638. [Google Scholar] [CrossRef]
- Patil, P.R.; Bobade, V.D.; Sawant, P.L.; Marathe, R.P. Emerging trends in compression coated tablet dosage forms: A review. Int. J. Pharm. Sci. Res. 2016, 7, 930. [Google Scholar]
- Porter, S.; Sackett, G.; Liu, L. Development, Optimization, and Scale-up of Process Parameters: Pan Coating. In Developing Solid Oral Dosage Forms; Elsevier: Amsterdam, The Netherlands, 2017; pp. 953–996. [Google Scholar]







| Serial No | Patent Name | Patent No |
|---|---|---|
| 1 | Film coating composition | JP-5936732-B1 |
| 2 | Film coatings and film coating compositions based on polyvinyl alcohol | EP1208143B1 |
| 3 | Film coatings and film coating compositions based on dextrin | US6348090B1 |
| Flaw | Definition | Possible Reason | Treatment |
|---|---|---|---|
| Blistering | Blistering refers to the detachment of film from the surface of the object (like a tablet) and results in the formation of blisters. | The possible reason for this defect could be the entrapment of gases in the layer of the film during the process of spraying (mainly when the process is overheated) | That defect could be treated by designing the drying conditions to be mild. |
| Chipping | Chipping states a condition where the film becomes dented, chipped from the edges. | Possibly due to a decreased rotation of the drum or flow of fluidizing air in the coating pan. | The operator must be careful at the pre-heating stage and not over-dry the tablets. Otherwise, the tablets encourage the defect by becoming brittle. |
| Picking | It is defined as the adhered film on the tablet’s surface that may be torn away, resulting in the sticking of tablets. | The main cause of such defect is the production of wet tablets, which may stick together. | The condition may be treated by reducing the volume of applied liquid or by increasing the temperature of dry air. |
| Pitting | In this type of defect, specific pits have appeared on the surface of the dosage form without any visual disappearance of the FC. | The reason for such a problem appeared due to the melting point of the materials used is less than the temperature of the tablet core used in the tablet formulation. | Adjusting the temperature during the process of tablet core results in the removal of such defects. |
| Roughness/Orange peel | It is a surface defect in which the film appeared to be non-glossy and resembled an orange | Insufficient dispersion of the coating solution before drying | The problem may be corrected by an additional solvent which causes the thinning of the solution |
| Color variation | By definition, color variation is a defect that results in the variation of color of the film | Duration of tablet appearance and variation in the spray zone’s frequency and the spray zone’s shape and size were responsible for such defects. | To solve such instability caused by the ingredients, a reformation with different additives and plasticizers is the best way to solve the problem. |
| Type | Properties | FC | SC |
|---|---|---|---|
| Process | Need for the training of the operator | The process is automated in nature, requiring the operator’s training | Substantial |
| Conformity with Good Manufacturing Practices (GMP). | High | Difficulties may arise | |
| Process levels | It is a single-stage process | Multiple steps process | |
| Functional Coatings | Easily adjusted for modified release | Nil | |
| Tablet | Appearance | They retain their original core | Usually round in shape. |
| Change in weight after coating | Approximately 2–3% increase in weight appeared; they are not as shiny as SC | The weight increased from 30 to 50% | |
| Logos or break lines | Feasible | Not feasible |
| Factors Affecting the Quality of Film Coating | Factors that Affect the Coating with the Interaction of Substrate |
|---|---|
| Drying process | The viscosity of the coating liquid influences the coalescence of droplets |
| Interaction between core and coating material | There exists an influence of solid contact on the viscosity of the coating and the roughness of dry coating. |
| Uniform distribution of coating | There appeared a great influence of surface tension on the spreading of coating material across the surface of coated material, wetting the surface of the substrate, and evenly distributing the liquid in the form of thin film over the substrate |
| Polymer | Purpose | Reference |
|---|---|---|
| Ethyl Cellulose | Sustained release | [33,34] |
| Eudragit RS 30 D alone and in combination with ammonia methacrylate | Sustained release | |
| Eudragit NM 30 D and Eudragit NE 30 D in combination with ethyl acrylate methyl methacrylate in 1:2 | Sustained release | |
| Kollicoat SR 30 D | Sustained release | |
| HPMC acetate succinate | Enteric coating | [35] |
| Cellulose acetate phthalate (CAP) | Enteric coating | |
| Eudragit L 30 D 55 | Enteric coating | |
| Eudragit FS 30 D | Enteric coating | |
| Chitosan | Coating | [36] |
| EC, Shellac, Cellulose Acetate Trimellate | Film forming unit | [18] |
| Class | Examples |
|---|---|
| Natural colorants | Beta-carotene, riboflavin, carmine lake |
| Water soluble dyes | FD&C yellow no 5 lake, FD&C blue no 2 lakes |
| Inorganic Pigments | Titanium dioxide, iron oxides |
| D&C lakes | D&C red no 30 lake, D&C yellow no 10 lake |
| FD&C lakes | FD&C yellow no 5 lake. FD&C blue no 2 lakes |
| Properties of the Films | Impact of Increased Concentration | |
|---|---|---|
| Plasticizer | Pigment | |
| Elastic modulus | Reduced | Increased |
| Tensile strength | Reduced | Reduced |
| Film Permeability | It depends on the physicochemical properties of the plasticizer used. | Decreased. The pigment volume reaches a critical concentration. |
| Hiding power | Little or no effect | Increased, but is dependent upon the refractive index and light absorption characters of the pigment |
| Viscous nature of coating material | Increases, but is directly related to plasticizer molecular weight. | Increased |
| Tg temperature | Reduced | Slight or no effect |
| Adhesion of the films | Generally, increases under ideal conditions | Slightly affected |
| Type of Tablet | Example | Brand Name | Manufacturer |
|---|---|---|---|
| Enteric-coated tablet | Naproxen | Naprosyn | Roche Palo |
| SC tablet | Conjugated estrogen | Premarin | Wyeth Ltd. |
| FC tablet | Diclofenac | Voltaren | Novartis P’ceuticals [109] |
| SC | mebeverine hydrochloride | Colofac | Mylan |
| Enteric-coated | Misoprostol | Cytotec | Pfizer Medical Information—the US |
| Enteric-coated | Rabeprazole | Rabecid | Highnoon |
Publisher’s Note: MDPI stays neutral with regard to jurisdictional claims in published maps and institutional affiliations. |
© 2022 by the author. Licensee MDPI, Basel, Switzerland. This article is an open access article distributed under the terms and conditions of the Creative Commons Attribution (CC BY) license (https://creativecommons.org/licenses/by/4.0/).
Share and Cite
Salawi, A. Pharmaceutical Coating and Its Different Approaches, a Review. Polymers 2022, 14, 3318. https://doi.org/10.3390/polym14163318
Salawi A. Pharmaceutical Coating and Its Different Approaches, a Review. Polymers. 2022; 14(16):3318. https://doi.org/10.3390/polym14163318
Chicago/Turabian StyleSalawi, Ahmad. 2022. "Pharmaceutical Coating and Its Different Approaches, a Review" Polymers 14, no. 16: 3318. https://doi.org/10.3390/polym14163318
APA StyleSalawi, A. (2022). Pharmaceutical Coating and Its Different Approaches, a Review. Polymers, 14(16), 3318. https://doi.org/10.3390/polym14163318
