Workforce Trends Among Canadian Medical Oncologists and Medical Oncology Trainees over Two Decades
Abstract
1. Introduction
2. Materials and Methods
2.1. Study Design
2.2. Databases for MO Workforce
2.3. Database for MO Trainees
2.4. Regional Analyses
2.5. Cancer Incidence
3. Results
3.1. National Demographic Trends for MO
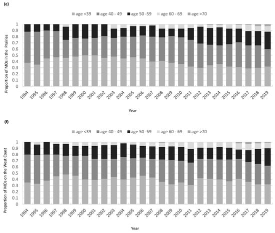
3.2. Regional Demographic Trends for MO
3.3. Medical Oncologist Trainees
4. Discussion
5. Conclusions
Author Contributions
Funding
Institutional Review Board Statement
Informed Consent Statement
Data Availability Statement
Conflicts of Interest
References
- Canada, S. Deaths, by Cause, Chapter II: Neoplasms. Statistics Canada. 2023. Available online: https://www150.statcan.gc.ca/t1/tbl1/en/tv.action?pid=1310014201#tables (accessed on 8 January 2024).
- Brenner, D.; Poirier, A.; Smith, L.; Aziz, L.; Ellison, L.; Fitzgerald, N. Canadian Cancer Statistics Advisory Committee in Collaboration with the Canadian Cancer Society, Statistics Canada and the Public Health Agency of Canada. Can. Cancer Stat. 2023. Available online: https://cdn.cancer.ca/-/media/files/research/cancer-statistics/2023-statistics/2023_PDF_EN.pdf (accessed on 22 January 2025).
- Wilson, B.E.; Jacob, S.; Yap, M.L.; Ferlay, J.; Bray, F.; Barton, M.B. Estimates of global chemotherapy demands and corresponding physician workforce requirements for 2018 and 2040: A population-based study. Lancet Oncol. 2019, 20, 769–780. [Google Scholar] [CrossRef]
- De Azambuja, E.; Ameye, L.; Paesmans, M.; Zielinski, C.; Piccart-Gebhart, M.; Preusser, M. The landscape of medical oncology in Europe by 2020. Ann. Oncol. 2014, 25, 525–528. [Google Scholar] [CrossRef]
- Koczwara, B.; Barton, M.B.; Walpole, E.T.; Grimison, P.; Blinman, P.L.; Crossing, S.; Francis, K. Workforce shortages in medical oncology: A looming threat to quality cancer care. Med. J. Aust. 2012, 196, 32–33. [Google Scholar] [CrossRef] [PubMed]
- Rivera, F.; Andres, R.; Felip, E.; Garcia-Campelo, R.; Lianes, P.; Llombart, A.; Piera, J.M.; Puente, J.; Rodriguez, C.A.; Vera, R.; et al. Medical oncology future plan of the Spanish Society of Medical Oncology: Challenges and future needs of the Spanish oncologists. Clin. Transl. Oncol. 2017, 19, 508–518. [Google Scholar] [CrossRef] [PubMed]
- Erikson, C.; Salsberg, E.; Forte, G.; Bruinooge, S.; Goldstein, M. Future supply and demand for oncologists: Challenges to assuring access to oncology services. J. Oncol. Pract. 2007, 3, 79–86. [Google Scholar] [CrossRef] [PubMed]
- Loewen, S.K.; Doll, C.M.; Halperin, R.; Parliament, M.; Pearcey, R.G.; Milosevic, M.F.; Bezjak, A.; Vigneault, E.; Brundage, M. National Trends and Dynamic Responses in the Canadian Radiation Oncology Workforce From 1990 to 2018. Int. J. Radiat Oncol. Biol Phys 2019, 105, 31–41. [Google Scholar] [CrossRef]
- Canadian Medical Association. Statistical Information on Canadian Physicians; CMA: Ottawa, ON, Canada, 2019. [Google Scholar]
- Yip, S.M.; Loewen, S.K.; Li, H.; Hao, D.; Easaw, J.C. Management of Medical Oncology Services in Canada: Redefined Workload With a Novel Supply-and-Demand Workforce Projection Model. J. Oncol. Pract. 2018, 14, e438–e445. [Google Scholar] [CrossRef] [PubMed]
- Canadian Institute for Health Information. Scott’s Medical Database—Supply, Distribution and Migration of Physicians in Canada, 2018-Methodological Notes. CIHI. 2019. Available online: https://www.cihi.ca/sites/default/files/document/smdb-methodology-notes-2018.pdf (accessed on 31 May 2020).
- Individual Specialty Reports; CAPER, Ed.; Ottawa, ON, Canada, 1990–2019. Available online: https://caper.ca/postgraduate-medical-education/individual-specialty-reports (accessed on 20 July 2020).
- Statistics Canada. Surveys and Statistical Programs-Canadian Cancer Registry (CCR). Available online: https://www23.statcan.gc.ca/imdb/p2SV.pl?Function=getSurvey&Id=1535368 (accessed on 24 August 2024).
- Government of Canada. Discover Canada-Canada’s Regions. Available online: https://www.canada.ca/en/immigration-refugees-citizenship/corporate/publications-manuals/discover-canada/read-online/canadas-regions.html (accessed on 8 August 2020).
- Demers, A.; Qiu, Z.; Dewar, R.; Shaw, A. Validation of Canproj for projecting Canadian cancer incidence data. Health Promot. Chronic Dis. Prev. Can. 2020, 40, 267–280. [Google Scholar] [CrossRef] [PubMed]
- Brenner, D.R.; Weir, H.K.; Demers, A.A.; Ellison, L.F.; Louzado, C.; Shaw, A.; Turner, D.; Woods, R.R.; Smith, L.M.; Canadian Cancer Statistics Advisory, C. Projected estimates of cancer in Canada in 2020. CMAJ 2020, 192, E199–E205. [Google Scholar] [CrossRef]
- Mathew, A. Global Survey of Clinical Oncology Workforce. J. Glob. Oncol. 2018, 4, 1–12. [Google Scholar] [CrossRef] [PubMed]
- Collins, I.M.; Blum, R.; Segelov, E.; Parente, P.; Underhill, C. Workforce challenges across Victorian medical oncology services. Intern. Med. J. 2023, 53, 946–950. [Google Scholar] [CrossRef] [PubMed]
- Carmichael, J. Wait Times Even Longer for Cancer Patients: Cancer Care Alberta report. In Edmonton Journal Online 2024. Available online: https://edmontonjournal.com/news/wait-times-even-longer-for-cancer-patients-cancer-care-alberta-report (accessed on 22 January 2025).
- Dickson, C. Cancer Patients in B.C. Waiting Months Rather Than Weeks for Treatment; CBC, Ed.; CBC Online: Ottawa, OT, Canada, 2022; Available online: https://www.cbc.ca/news/canada/british-columbia/cancer-patient-treatment-delays-1.6497961 (accessed on 22 January 2025).
- Medisauskaite, A.; Kamau, C. Prevalence of oncologists in distress: Systematic review and meta-analysis. Psychooncology 2017, 26, 1732–1740. [Google Scholar] [CrossRef] [PubMed]
- Cancer Care Ontario, Systemic Therapy Task Force. Systemic Therapy Task Force Report. Toronto: Cancer Care Ontario; 2000. Available online: https://www.cancercare.on.ca/common/pages/UserFile.aspx?fileId=14436 (accessed on 22 June 2016).
- Hedden, L.; Lavergne, M.R.; McGrail, K.M.; Law, M.R.; Cheng, L.; Ahuja, M.A.; Barer, M.L. Patterns of physician retirement and pre-retirement activity: A populationbased cohort study. Can. Med. Assoc. J. 2017, 189, E1517–E1523. [Google Scholar] [CrossRef] [PubMed]
- Lwin, Z.; Broom, A.; Sibbritt, D.; Francis, K.; Karapetis, C.S.; Karikios, D.; Harrup, R. The Australian Medical Oncologist Workforce Survey: The profile and challenges of medical oncology. Semin. Oncol. 2018, 45, 284–290. [Google Scholar] [CrossRef] [PubMed]
- Broom, A.; Wong, W.K.T.; Kirby, E.; Sibbritt, D.; Karikios, D.; Harrup, R.; Lwin, Z. A Qualitative Study of Medical Oncologists’ Experiences of Their Profession and Workforce Sustainability. PLoS ONE 2016, 11, e0166302. [Google Scholar] [CrossRef] [PubMed][Green Version]
- Barer, M.L.; Lomas, J.; Sanmartin, C. Re-minding our Ps and Qs: Medical cost controls in Canada. Health Aff. 1996, 15, 216–234. [Google Scholar] [CrossRef] [PubMed][Green Version]
- CARMS. Unfilled Positions After the First Iteration of the 2025 Medicine Subspecialty Match. 2025. Available online: https://www.carms.ca/pdfs/8cPhgRp93ub_MSM_1_OverviewByUniversity_EN.pdf (accessed on 8 January 2024).










| Data Source | Acronym | Brief Description | Website |
|---|---|---|---|
| Canadian Institute for Health Information [11] | CIHI-SMDB | Contains information purchased from Scott’s Medical Database yearly. Demographic data collected from jurisdictional registrars, medical schools, the royal college of Canada and the college of family physicians of Canada. Each physician is uniquely identified over time. Data are for 1 January–31 December of the year of report | https://www.cihi.ca/en/scotts-medical-database-metadata (accessed on 16 November 2020) |
| Canadian Medical Association [9] | CMA-PDC | Draws information from members of the Canadian Medical Association using registration data. However, also contains data from the Royal College of Physicians and surgeons of Canada as well as the Collège des médecins du Québec. Actively audited data source. Data supplied are of 1 January of corresponding year. | https://www.cma.ca/physician-data-centre (accessed on 16 November 2020) |
| Canadian Post-M.D Education Registry [12] | CAPER | Supplied by the post-graduate medical education office of all training programs within the country on an annual basis. Includes residents and fellows training in Canada.Each year is the academic year Starting September of the listed year and running to the next year. | https://caper.ca/postgraduate-medical-education/annual-census (accessed on 16 November 2020) |
| Canadian Cancer Registry [13] | CCR | Government database on cancer incidence from all provincial and territorial cancer registries in Canada. Established in 1992 but contains data from the National Cancer Incidence Reporting system dating back to 1969. | https://www23.statcan.gc.ca/imdb/p2SV.pl?Function=getSurvey&Id=1535368 (accessed on 16 November 2020) |
| Statistics Canada | Federally run statistics organization. | https://www.statcan.gc.ca/ (accessed 22 January 2025) |
| Country | Annual Incident Cancers per MO Provider |
|---|---|
| Austria a | 77 |
| Hungary a | 79 |
| Sweden a | 108 |
| Italy a | 114 |
| Finland a | 123 |
| United States b | 137 |
| Germany a | 146 |
| Portugal a | 175 |
| The Netherlands a | 229 |
| Australia b | 272 |
| Bulgaria a | 284 |
| Belgium a | 304 |
| Canada a | 354 |
| France a | 416 |
| United Kingdom a | 569 |
Disclaimer/Publisher’s Note: The statements, opinions and data contained in all publications are solely those of the individual author(s) and contributor(s) and not of MDPI and/or the editor(s). MDPI and/or the editor(s) disclaim responsibility for any injury to people or property resulting from any ideas, methods, instructions or products referred to in the content. |
© 2025 by the authors. Licensee MDPI, Basel, Switzerland. This article is an open access article distributed under the terms and conditions of the Creative Commons Attribution (CC BY) license (https://creativecommons.org/licenses/by/4.0/).
Share and Cite
Fundytus, A.; Cook, S.; Yip, S.M.; Loewen, S.K.; Hao, D. Workforce Trends Among Canadian Medical Oncologists and Medical Oncology Trainees over Two Decades. Curr. Oncol. 2025, 32, 70. https://doi.org/10.3390/curroncol32020070
Fundytus A, Cook S, Yip SM, Loewen SK, Hao D. Workforce Trends Among Canadian Medical Oncologists and Medical Oncology Trainees over Two Decades. Current Oncology. 2025; 32(2):70. https://doi.org/10.3390/curroncol32020070
Chicago/Turabian StyleFundytus, Adam, Sarah Cook, Steven M. Yip, Shaun K. Loewen, and Desiree Hao. 2025. "Workforce Trends Among Canadian Medical Oncologists and Medical Oncology Trainees over Two Decades" Current Oncology 32, no. 2: 70. https://doi.org/10.3390/curroncol32020070
APA StyleFundytus, A., Cook, S., Yip, S. M., Loewen, S. K., & Hao, D. (2025). Workforce Trends Among Canadian Medical Oncologists and Medical Oncology Trainees over Two Decades. Current Oncology, 32(2), 70. https://doi.org/10.3390/curroncol32020070

