Laser Interstitial Thermal Therapy in Grade 2/3 IDH1/2 Mutant Gliomas: A Preliminary Report and Literature Review
Abstract
:1. Introduction
2. Materials and Methods
3. Results
3.1. Baseline Characteristics and Presentation
3.2. Tumor Pathology
3.3. LITT Treatment
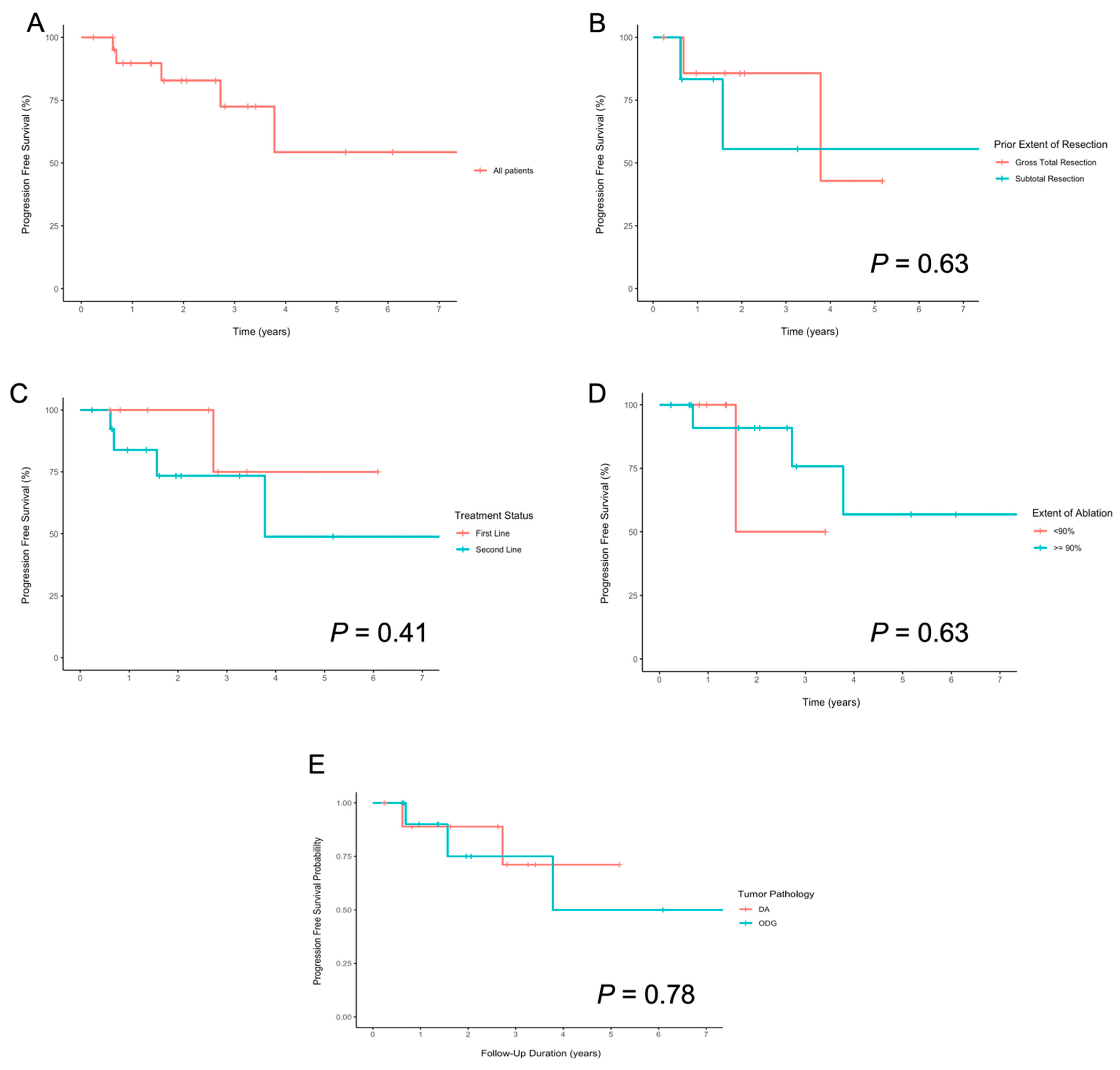
3.4. Progression-Free Survival
4. Discussion
5. Conclusions
Supplementary Materials
Author Contributions
Funding
Institutional Review Board Statement
Informed Consent Statement
Data Availability Statement
Conflicts of Interest
References
- Bown, S.G. Phototherapy of Tumors. World J. Surg. 1983, 7, 700–709. [Google Scholar] [CrossRef]
- Sugiyama, K.; Sakai, T.; Fujishima, I.; Ryu, H.; Uemura, K.; Yokoyama, T. Stereotactic Interstitial Laser-Hyperthermia Using Nd-YAG Laser. Stereotact. Funct. Neurosurg. 1990, 54, 501–505. [Google Scholar] [CrossRef]
- Karampelas, I.; Sloan, A.E. Laser-Induced Interstitial Thermotherapy of Gliomas. Prog. Neurol. Surg. 2018, 32, 14–26. [Google Scholar] [CrossRef]
- Chen, C.; Lee, I.; Tatsui, C.; Elder, T.; Sloan, A.E. Laser Interstitial Thermotherapy (LITT) for the Treatment of Tumors of the Brain and Spine: A Brief Review. J. Neuro-Oncol. 2021, 151, 429–442. [Google Scholar] [CrossRef]
- Rahmathulla, G.; Recinos, P.F.; Kamian, K.; Mohammadi, A.M.; Ahluwalia, M.S.; Barnett, G.H. MRI-Guided Laser Interstitial Thermal Therapy in Neuro-Oncology: A Review of Its Current Clinical Applications. Oncology 2014, 87, 67–82. [Google Scholar] [CrossRef]
- Ashraf, O.; Patel, N.V.; Hanft, S.; Danish, S.F. Laser-Induced Thermal Therapy in Neuro-Oncology: A Review. World Neurosurg. 2018, 112, 166–177. [Google Scholar] [CrossRef]
- Hong, C.S.; Deng, D.; Vera, A.; Chiang, V.L. Laser-Interstitial Thermal Therapy Compared to Craniotomy for Treatment of Radiation Necrosis or Recurrent Tumor in Brain Metastases Failing Radiosurgery. J. Neuro-Oncol. 2019, 142, 309–317. [Google Scholar] [CrossRef]
- Carpentier, A.; McNichols, R.J.; Stafford, R.J.; Guichard, J.-P.; Reizine, D.; Delaloge, S.; Vicaut, E.; Payen, D.; Gowda, A.; George, B. Laser Thermal Therapy: Real-Time MRI-Guided and Computer-Controlled Procedures for Metastatic Brain Tumors. Lasers Surg. Med. 2011, 43, 943–950. [Google Scholar] [CrossRef]
- Rao, M.S.; Hargreaves, E.L.; Khan, A.J.; Haffty, B.G.; Danish, S.F. Magnetic Resonance-Guided Laser Ablation Improves Local Control for Postradiosurgery Recurrence and/or Radiation Necrosis. Neurosurgery 2014, 74, 658–667. [Google Scholar] [CrossRef]
- Rahmathulla, G.; Recinos, P.F.; Valerio, J.E.; Chao, S.; Barnett, G.H. Laser Interstitial Thermal Therapy for Focal Cerebral Radiation Necrosis: A Case Report and Literature Review. Stereotact. Funct. Neurosurg. 2012, 90, 192–200. [Google Scholar] [CrossRef]
- Miller, B.A.; Salehi, A.; Limbrick, D.D.; Smyth, M.D. Applications of a Robotic Stereotactic Arm for Pediatric Epilepsy and Neurooncology Surgery. J. Neurosurg. Pediatrics 2017, 20, 364–370. [Google Scholar] [CrossRef]
- Tovar-Spinoza, Z.; Carter, D.; Ferrone, D.; Eksioglu, Y.; Huckins, S. The Use of MRI-Guided Laser-Induced Thermal Ablation for Epilepsy. Child’s Nerv. Syst. 2013, 29, 2089–2094. [Google Scholar] [CrossRef]
- Buckley, R.T.; Wang, A.C.; Miller, J.W.; Novotny, E.J.; Ojemann, J.G. Stereotactic Laser Ablation for Hypothalamic and Deep Intraventricular Lesions. Neurosurg. Focus 2016, 41, E10. [Google Scholar] [CrossRef] [Green Version]
- Barnett, G.H.; Voigt, J.D.; Alhuwalia, M.S. A Systematic Review and Meta-Analysis of Studies Examining the Use of Brain Laser Interstitial Thermal Therapy versus Craniotomy for the Treatment of High-Grade Tumors in or near Areas of Eloquence: An Examination of the Extent of Resection and Major Complication Rates Associated with Each Type of Surgery. Stereotact. Funct. Neurosurg. 2016, 94, 164–173. [Google Scholar] [CrossRef]
- Parsons, D.W.; Jones, S.; Zhang, X.; Lin, J.C.-H.; Leary, R.J.; Angenendt, P.; Mankoo, P.; Carter, H.; Siu, I.-M.; Gallia, G.L.; et al. An Integrated Genomic Analysis of Human Glioblastoma Multiforme. Science 2008, 321, 1807–1812. [Google Scholar] [CrossRef] [Green Version]
- Miller, J.J.; Shih, H.A.; Andronesi, O.C.; Cahill, D.P. Isocitrate Dehydrogenase-Mutant Glioma: Evolving Clinical and Therapeutic Implications. Cancer 2017, 123, 4535–4546. [Google Scholar] [CrossRef]
- Yan, H.; Parsons, D.W.; Jin, G.; McLendon, R.; Rasheed, B.A.; Yuan, W.; Kos, I.; Batinic-Haberle, I.; Jones, S.; Riggins, G.J.; et al. IDH1 and IDH2 Mutations in Gliomas. N. Engl. J. Med. 2009, 360, 765–773. [Google Scholar] [CrossRef]
- Miller, J.J.; Loebel, F.; Juratli, T.A.; Tummala, S.S.; Williams, E.A.; Batchelor, T.T.; Arrillaga-Romany, I.; Cahill, D.P. Accelerated Progression of IDH Mutant Glioma after First Recurrence. Neuro-Oncology 2019, 21, 669–677. [Google Scholar] [CrossRef]
- Olar, A.; Wani, K.M.; Alfaro-Munoz, K.D.; Heathcock, L.E.; van Thuijl, H.F.; Gilbert, M.R.; Armstrong, T.S.; Sulman, E.P.; Cahill, D.P.; Vera-Bolanos, E.; et al. IDH Mutation Status and Role of WHO Grade and Mitotic Index in Overall Survival in Grade II–III Diffuse Gliomas. Acta Neuropathol. 2015, 129, 585–596. [Google Scholar] [CrossRef] [Green Version]
- Reuss, D.E.; Mamatjan, Y.; Schrimpf, D.; Capper, D.; Hovestadt, V.; Kratz, A.; Sahm, F.; Koelsche, C.; Korshunov, A.; Olar, A.; et al. IDH Mutant Diffuse and Anaplastic Astrocytomas Have Similar Age at Presentation and Little Difference in Survival: A Grading Problem for WHO. Acta Neuropathol. 2015, 129, 867–873. [Google Scholar] [CrossRef] [Green Version]
- Weller, M.; van den Bent, M.; Preusser, M.; le Rhun, E.; Tonn, J.C.; Minniti, G.; Bendszus, M.; Balana, C.; Chinot, O.; Dirven, L.; et al. EANO Guidelines on the Diagnosis and Treatment of Diffuse Gliomas of Adulthood. Nat. Rev. Clin. Oncol. 2021, 18, 170–186. [Google Scholar] [CrossRef]
- Natsume, K.; Sakakima, H.; Kawamura, K.; Yoshida, A.; Akihiro, S.; Yonezawa, H.; Yoshimoto, K.; Shimodozono, M. Factors Influencing the Improvement of Activities of Daily Living during Inpatient Rehabilitation in Newly Diagnosed Patients with Glioblastoma Multiforme. J. Clin. Med. 2022, 11, 417. [Google Scholar] [CrossRef]
- Montemurro, N.; Fanelli, G.N.; Scatena, C.; Ortenzi, V.; Pasqualetti, F.; Mazzanti, C.M.; Morganti, R.; Paiar, F.; Naccarato, A.G.; Perrini, P. Surgical Outcome and Molecular Pattern Characterization of Recurrent Glioblastoma Multiforme: A Single-Center Retrospective Series. Clin. Neurol. Neurosurg. 2021, 207, 106735. [Google Scholar] [CrossRef]
- Easwaran, T.; Lion, A.; Vortmeyer, A.; Kingery, K.; Bc, M.D.; Raskin, J. Seizure Freedom from Recurrent Insular Low-Grade Glioma Following Laser Interstitial Thermal Therapy. Child’s Nerv. Syst. 2020, 36, 1055–1059. [Google Scholar] [CrossRef]
- Hafez, D.M.; Liekweg, C.; Leuthardt, E.C. Staged Laser Interstitial Thermal Therapy (LITT) Treatments to Left Insular Low-Grade Glioma. Clin. Neurosurg. 2020, 86, E337–E342. [Google Scholar] [CrossRef] [Green Version]
- Avecillas-Chasin, J.M.; Atik, A.; Mohammadi, A.M.; Barnett, G.H. Laser Thermal Therapy in the Management of High-Grade Gliomas. Int. J. Hyperth. 2020, 37, 44–52. [Google Scholar] [CrossRef]
- Hawasli, A.H.; Kim, A.H.; Dunn, G.P.; Tran, D.D.; Leuthardt, E.C. Stereotactic Laser Ablation of High-Grade Gliomas. Neurosurg. Focus 2014, 37, E1. [Google Scholar] [CrossRef]
- Louis, D.N.; Perry, A.; Wesseling, P.; Brat, D.J.; Cree, I.A.; Figarella-Branger, D.; Hawkins, C.; Ng, H.K.; Pfister, S.M.; Reifenberger, G.; et al. The 2021 WHO Classification of Tumors of the Central Nervous System: A Summary. Neuro-Oncology 2021, 23, 1231–1251. [Google Scholar] [CrossRef]
- Lee, I.; Kalkanis, S.; Hadjipanayis, C.G. Stereotactic Laser Interstitial Thermal Therapy for Recurrent High-Grade Gliomas. Neurosurgery 2016, 79, S24–S34. [Google Scholar] [CrossRef] [Green Version]
- Paľa, A.; Coburger, J.; Scherer, M.; Ahmeti, H.; Roder, C.; Gessler, F.; Jungk, C.; Scheuerle, A.; Senft, C.; Tatagiba, M.; et al. To Treat or Not to Treat? A Retrospective Multicenter Assessment of Survival in Patients with IDH-Mutant Low-Grade Glioma Based on Adjuvant Treatment. J. Neurosurg. 2020, 133, 273–280. [Google Scholar] [CrossRef]
- Choi, J.; Kim, S.H.; Ahn, S.S.; Choi, H.J.; Yoon, H.I.; Cho, J.H.; Roh, T.H.; Kang, S.G.; Chang, J.H.; Suh, C.O. Extent of Resection and Molecular Pathologic Subtype Are Potent Prognostic Factors of Adult WHO Grade II Glioma. Sci. Rep. 2020, 10, 2086. [Google Scholar] [CrossRef] [Green Version]
- Thon, N.; Eigenbrod, S.; Kreth, S.; Lutz, J.; Tonn, J.C.; Kretzschmar, H.; Peraud, A.; Kreth, F.W. IDH1 Mutations in Grade II Astrocytomas Are Associated with Unfavorable Progression-Free Survival and Prolonged Postrecurrence Survival. Cancer 2012, 118, 452–460. [Google Scholar] [CrossRef]
- Idbaih, A.; Carvalho Silva, R.; Crinière, E.; Marie, Y.; Carpentier, C.; Boisselier, B.; Taillibert, S.; Rousseau, A.; Mokhtari, K.; Ducray, F.; et al. Genomic Changes in Progression of Low-Grade Gliomas. J. Neuro-Oncol. 2008, 90, 133–140. [Google Scholar] [CrossRef]
- Murayi, R.; Borghei-Razavi, H.; Barnett, G.H.; Mohammadi, A.M. Laser Interstitial Thermal Therapy in the Treatment of Thalamic Brain Tumors: A Case Series. Oper. Neurosurg. 2020, 19, 641–650. [Google Scholar] [CrossRef]
- Reimer, P.; Bremer, C.; Horch, C.; Morgenroth, C.; Allkemper, T.; Schuierer, G. MR-Monitored LITT as a Palliative Concept in Patients with High Grade Gliomas: Preliminary Clinical Experience. J. Magn. Reson. Imaging 1998, 8, 240–244. [Google Scholar] [CrossRef]
- Mohammadi, A.M.; Hawasli, A.H.; Rodriguez, A.; Schroeder, J.L.; Laxton, A.W.; Elson, P.; Tatter, S.B.; Barnett, G.H.; Leuthardt, E.C. The Role of Laser Interstitial Thermal Therapy in Enhancing Progression-free Survival of Difficult-to-access High-grade Gliomas: A Multicenter Study. Cancer Med. 2014, 3, 971–979. [Google Scholar] [CrossRef]
- Leonardi, M.A.; Lumenta, C.B. Stereotactic Guided Laser-Induced Interstitial Thermotherapy (SLITT) in Gliomas with Intraoperative Morphologic Monitoring in an Open MR: Clinical Expierence. MIN Minim. Invasive Neurosurg. 2002, 45, 201–207. [Google Scholar] [CrossRef]
- Navarria, P.; Pessina, F.; Clerici, E.; Rossini, Z.; Franceschini, D.; D’Agostino, G.; Franzese, C.; Comito, T.; Loi, M.; Simonelli, M.; et al. Is IDH Status the Only Factor Predicting Prognosis in Newly Diagnosed Anaplastic Glioma Patients? Outcome Evaluation and Prognostic Factor Analysis in a Single-Institution Large Series. J. Neurosurg. 2021, 135, 64–77. [Google Scholar] [CrossRef]
- Patel, T.; Bander, E.D.; Venn, R.A.; Powell, T.; Cederquist, G.Y.M.; Schaefer, P.M.; Puchi, L.A.; Akhmerov, A.; Ogilvie, S.; Reiner, A.S.; et al. The Role of Extent of Resection in IDH1 Wild-Type or Mutant Low-Grade Gliomas. Neurosurgery 2018, 82, 808–814. [Google Scholar] [CrossRef]
- Tom, M.C.; Varra, V.; Leyrer, C.M.; Park, D.Y.; Chao, S.T.; Yu, J.S.; Suh, J.H.; Reddy, C.A.; Balagamwala, E.H.; Broughman, J.R.; et al. Risk Factors for Progression Among Low-Grade Gliomas After Gross Total Resection and Initial Observation in the Molecular Era. Int. J. Radiat. Oncol. Biol. Phys. 2019, 104, 1099–1105. [Google Scholar] [CrossRef]
- Kavouridis, V.K.; Boaro, A.; Dorr, J.; Cho, E.Y.; Iorgulescu, J.B.; Reardon, D.A.; Arnaout, O.; Smith, T.R. Contemporary Assessment of Extent of Resection in Molecularly Defined Categories of Diffuse Low-Grade Glioma: A Volumetric Analysis. J. Neurosurg. 2020, 133, 1291–1301. [Google Scholar] [CrossRef]



| Case | Age | Sex | Presenting Symptoms | Pre-LITT KPS | Pre-LITT Treatment | Lesion Location | Tumor Volume (cm3) |
|---|---|---|---|---|---|---|---|
| 1 | 43.8 | F | Sensory changes, headache, syncopal episodes, fatigue, change in taste/smell | 90 | None | L frontotemporal, insula | 21.39 |
| 2 | 44.0 | M | Seizures | 80 | None | R frontoparietal, cingulate gyrus | 2.42 |
| 3 | 65.9 | M | Seizures | 90 | None | L parietooccipital | 0.84 |
| 4 | 35.0 | F | Headache, vision problems, neurocognitive deficits, behavioral changes | 70 | None | R parietooccipital | 10.35 |
| 5 | 67.3 | F | Seizures, neurocognitive deficits, tremor | 70 | Bx | L frontotemporal, basal ganglia, insula | 37.02 |
| 6 | 60.7 | M | Seizures | 80 | GTR ×2, RT, C | R frontal | 10.67 |
| 7 | 49.8 | M | Seizures, speech difficulties | 80 | STR, RT, C | L occipital | 5.95 |
| 8 | 46.9 | F | None | 100 | GTR, RT, | R frontal | 15.75 |
| 9 | 56.9 | M | Muscle weakness/paralysis, speech difficulties | 70 | GTR ×2, RT, Bx | L frontoparietal | 1.69 |
| 10 | 46.4 | F | None | 100 | GTR | L frontal | 1.08 |
| 11 | 53.3 | M | None | 100 | STR, RT, C | R temporal, insula | 22.28 |
| 12 | 60.0 | M | Muscle weakness/paralysis, headache | 80 | STR, C, | R frontoparietal | 10.01 |
| 13 | 21.8 | M | Seizures | 80 | Bx | L frontotemporal, insula | 48.38 |
| 14 | 47.4 | F | None | 100 | STR, RT, | R temporal | 10.29 |
| 15 | 36.0 | M | Seizures | 80 | STR ×2, RT, C, GK | L temporal | 3.02 |
| 16 | 45.4 | M | None | 100 | GTR, RT, C, Bx | L frontal | 0.38 |
| 17 | 31.3 | M | Headache | 90 | None | L insula | 15.91 |
| 18 | 48.5 | M | Muscle weakness/paralysis, headache, speech difficulties | 60 | STR ×2, RT, C | L frontoparietal | 0.18 |
| 19 | 44.2 | F | Seizures | 100 | GTR, RT, C | R frontal | 1.05 |
| 20 | 41.9 | M | Earaches | 90 | None | L insula | 3.15 |
| 21 | 34.3 | M | None | 100 | GTR, RT, C | L insula | 3.78, 1.46 * |
| 22 | 44.8 | F | Seizures | 80 | STR, RT, C | R temporal | 5.30 |
| Case | Tumor Type | WHO Grade | Mutations | Ki-67 Index | Tumor Mutational Burden |
|---|---|---|---|---|---|
| 1 | Diffuse astrocytoma | 2 | IDH1, TP53, ATRX | ≈4 | 1 |
| 2 | Oligodendroglioma | 2 | IDH2, TERTp, CIC, 1p/19q co-deletion | 17 | 0 |
| 3 | Oligodendroglioma | 2 | IDH1, TERTp, CIC, 1p/19q co-deletion | 6 | 3 |
| 4 | Diffuse astrocytoma | 2 | IDH1, TP53, ATRX | 2.5 | 6 |
| 5 | Oligodendroglioma | 2 | IDH1, 1p/19q co-deletion | NT | NT |
| 6 | Diffuse astrocytoma | 2 | IDH1, TP53, ATRX | <10 | NT |
| 7 | Diffuse astrocytoma | 2 | IDH1 | 5.7 | NT |
| 8 | Diffuse astrocytoma | 2 | IDH1, TP53, ATRX | 2.3 | 3 |
| 9 | Oligodendroglioma | 2 | IDH1, 1p/19q co-deletion | 8.2 | NT |
| 10 | Oligodendroglioma | 2 | IDH1, 1p/19q co-deletion | 2.1 | NT |
| 11 | Oligodendroglioma | 2 | IDH1, TERTp, CIC, 1p/19q co-deletion | 3.7 | 0 |
| 12 | Oligodendroglioma | 2 | IDH1, TERTp, CIC, 1p/19q co-deletion | NT | 42 |
| 13 | Diffuse astrocytoma | 2 | IDH1 | <5 | NT |
| 14 | Diffuse astrocytoma | 3 | IDH1, TP53, ATRX | 1.4 | 1 |
| 15 | Oligodendroglioma | 3 | IDH1, TERTp, CIC, 1p/19q co-deletion | 40 | 16 |
| 16 | Oligodendroglioma | 3 | IDH1, TERTp, 1p/19q co-deletion | 9.9 | 13 |
| 17 | Diffuse astrocytoma | 3 | IDH1, TP53, ATRX | NT | NT |
| 18 | Oligodendroglioma | 3 | IDH1, 1p/19q co-deletion | 24 | NT |
| 19 | Oligodendroglioma | 3 | IDH1, TERTp, CIC, 1p/19q co-deletion | 20 | NT |
| 20 | Diffuse astrocytoma | 3 | IDH1, TP53, ATRX | 5–10 | 4 |
| 21 | Diffuse astrocytoma | 3 | IDH1, TP53, ATRX | 31.5 | 1 |
| 22 | Oligodendroglioma | 3 | IDH1, TERTp, 1p/19q co-deletion | 50 | 3 |
| Case | First Line vs. Salvage | Indication for LITT | EOA (%) | Perioperative Complications | Adjuvant Tx | Repeat LITT | Time to Progression (Months) | Follow-Up (Months) |
|---|---|---|---|---|---|---|---|---|
| 1 | First line | Tumor location | 80 | Severe edema, new FND | RT, C | Yes | No progression | 9.85 |
| 2 | First line | Tumor location | 95 | None | RT, C | No | No progression | 7.36 |
| 3 | First line | Unknown | 85 | None | RT, C | No | No progression | 16.52 |
| 4 | First line | Tumor location | 95 | None | RT, C | No | No progression | 33.80 |
| 5 | First line | Shorter LOS | 65 | None | RT, C | No | No progression | 73.13 |
| 6 | Salvage | Refractory to Tx | 95 | None | None | No | No progression | 62.12 |
| 7 | Salvage | Recurrence | NR | None | STR, RT, C | No | 7.42 | 70.14 |
| 8 | Salvage | Recurrence | 95 | None | RT, C | No | No progression | 19.48 |
| 9 | Salvage | Recurrence | 98 | None | C | No | 45.34 | 88.50 |
| 10 | Salvage | Recurrence | 100 | None | None | No | No progression | 23.55 |
| 11 | Salvage | Recurrence | 80 | None | C | No | 18.82 | 18.82 |
| 12 | Salvage | Recurrence | 80 | Seizure | None | No | No progression | 16.29 |
| 13 | First line | Aborted craniotomy | 70 | None | None | Yes | 32.69 | 85.32 |
| 14 | Salvage | Recurrence | NR | None | RT, C | No | No progression | 39.13 |
| 15 | Salvage | Recurrence | 99 | None | RT, C | No | 8.25 | 15.01 |
| 16 | Salvage | Recurrence | 80 | None | C, GK | No | No progression | 11.66 |
| 17 | First line | Lower percieved risk | 95 | None | C | No | No progression | 31.57 |
| 18 | Salvage | Recurrence | 100 | None | RT | No | No progression | 89.82 |
| 19 | Salvage | Recurrence | 100 | DVT | None | No | No progression | 24.77 |
| 20 | First line | Favorable safety profile | 80 | None | None | No | No progression | 40.97 |
| 21 | Salvage | Recurrence | 99 | None | RT, C | No | No progression | 2.89 |
| 22 | Salvage | Recurrence | 95 | None | C x2 | No | No progression | 7.78 |
| Variable | Mean (SE) PFS, Years | Median (SE) PFS, Years | Three-Year PFS (SE) Estimate | Five-year PFS (SE) Estimate |
|---|---|---|---|---|
| Prior extent of resection | ||||
| Gross total resection | 3.9 (0.7) | 3.8 (NC) | 85.7% (13.2%) | 42.9% (31.0%) |
| Subtotal resection | 4.7 (1.5) | Not reached | 55.6% (24.8%) | 55.6% (24.8%) |
| Treatment status | ||||
| First line | 5.3 (0.7) | Not reached | 75.0% (21.7%) | 75.0% (21.7%) |
| Salvage | 4.9 (1.0) | 3.8 (NC) | 73.4% (13.4%) | 49.0% (21.9%) |
| Extent of ablation | ||||
| <90% | 2.5 (0.7) | 1.6 (NC) | 50.0% (35.4%) | 50.0% (35.4%) |
| ≥90% | 5.4 (0.9) | Not reached | 75.8% (15.6%) | 56.8% (20.1%) |
| Pathology | ||||
| DA | 4.2 (0.6) | Not reached | 71.1% (18.0%) | 71.1% (18.0%) |
| ODG | 5.0 (1.1) | 3.8 (NC) | 75.0% (15.8%) | 50.0% (23.0%) |
| Study (Year) | WHO Grade | Median (Range) Follow-Up, Months | Pathology | Median (95% CI) PFS, months | Three-Year PFS Estimate (95% CI) | Five-Year PFS Estimate (95% CI) | Ten-Year PFS Estimate (95% CI) | Complication Rates a | Notes |
|---|---|---|---|---|---|---|---|---|---|
| Our study | II, III | 24.1 (2.9–89.8) | ODG + DA (n = 22) | Median not reached | 72.5% (57.8–97.2) | 54.4% (18.5–90.3) | NR | Perioperative: 14% | Mean (SE) PFS: ODG + DA: 62.4 (10.0) ODG: 59.9 (13.2) DA: 50.76 (6.96) |
| ODG (n = 12) | 45.6 | 75.0% (44.1–100) | 50.0% (27.0–73.0) | NR | |||||
| DA (n = 10) | Median not reached | 71.1% (35.8–100) | 71.1% (35.8–100) | NR | |||||
| Craniotomy Cohorts | |||||||||
| Navarria et al. (2020) | III | 40 (16–146) | ODG + DA (n = 96) | 69 (51–89) | 62.4% (61.3–63.5) | 53.0% (51.6–54.4) | NR | Perioperative: 16% Worsening of preoperative deficits: 14% | |
| ODG (n = 42) | 76 (32–89) | 63.4% (60.9–65.9) | 63.4% (60.9–65.9) | NR | |||||
| DA (n = 54) | 52 (34–57) | 59.9% (57.8–62.0) | 38.8% (35.8–41.8) | NR | |||||
| Patel et al. (2018) | II | 44.4 (0.6–187.2) | ODG + DA (n = 52) | 78 (NR) | 88.8% (79.6–98.1) | NR | Malignant PFS only | ||
| Kavouridis et al. (2019) | II | 64.8 (NR) | ODG (n = 140) | NR | NR | 38.5% (27.6–49.4) | 24.1% (12.8–37.4) | NR | |
| DA (n = 154) | NR | NR | 19.3% (12.2–27.7) | 3.2% (0.6–9.6) | |||||
| Tom et al. (2019) | II | NR | ODG (n = 18) | 113 (NR) | NR | NR | NR | All patients with GTR | |
| DA (n = 30) | 56 (NR) | NR | NR | ||||||
| Choi et al. (2020) | II | 66.9 (5.3–171.3) | ODG (n = 45) | NR | NR | NR | 73.6% (NR) | NR | |
| DA (n = 80) | NR | NR | NR | 32.5% (NR) | |||||
| Pal’a et al. (2019) | II | 72 (95% CI 57.6–75.6) | ODG + DA (n = 144) | 46.8 (NR) | NR | NR | NR | NR | |
| Miller et al. (2019) | II, III | 76.8 (NR) | ODG + DA (n = 275) | PFS1: 68.4 (56.4–76.8) PFS2: 37.2 (25.2–49.2) | NR | NR | NR | NR | PFS1: resection to first recurrence PFS2: first recurrence to second recurrence |
| DA (n = 180) | 68.2 (NR) | NR | NR | NR | |||||
| ODG (n = 95) | 67.9 (NR) | NR | NR | NR | |||||
| Thon et al. (2012) | II | 173 (36–306) | DA (n = 89) | 47 (range 35–60) | NR | 37.8% (NR) | 10.5% (NR) | NR | Supratentorial only |
| LITT Cohorts | |||||||||
| Mohommadi et al. (2014) * | III | 7.2 (0.1–23.0) | DA (n = 6) ODG (n = 4) | 5.6 (NR) | NR | NR | NR | Any complication: 37% Worsening of preoperative deficits: 20% Seizure: 3% Infection: 6% | |
| Leonardi and Lumeta (2002) * | II, III | NR | Low-grade DA (n = 7) | Mean: 16 (9–233) | NR | NR | NR | Neurologic deterioration: 17% Seizure: 4% Infection: 8% | |
| Anaplastic ODG + DA (n = 11) | Mean: 10 (6–14) | NR | NR | NR | |||||
| Reimer et al. (1998) * | III | 12 (NR) | DA (n = 3) | 6 (range 6–12) | NR | NR | NR | Transient aphasia: 25% | |
| Murayi et al. (2020) * | III | NR | DA (n = 2) | Pt 1: 2.9 Pt 2: death POD3 | NR | NR | NR | Permanent morbidity: 46% Perioperative mortality: 15% | |
Publisher’s Note: MDPI stays neutral with regard to jurisdictional claims in published maps and institutional affiliations. |
© 2022 by the authors. Licensee MDPI, Basel, Switzerland. This article is an open access article distributed under the terms and conditions of the Creative Commons Attribution (CC BY) license (https://creativecommons.org/licenses/by/4.0/).
Share and Cite
Johnson, G.W.; Han, R.H.; Smyth, M.D.; Leuthardt, E.C.; Kim, A.H. Laser Interstitial Thermal Therapy in Grade 2/3 IDH1/2 Mutant Gliomas: A Preliminary Report and Literature Review. Curr. Oncol. 2022, 29, 2550-2563. https://doi.org/10.3390/curroncol29040209
Johnson GW, Han RH, Smyth MD, Leuthardt EC, Kim AH. Laser Interstitial Thermal Therapy in Grade 2/3 IDH1/2 Mutant Gliomas: A Preliminary Report and Literature Review. Current Oncology. 2022; 29(4):2550-2563. https://doi.org/10.3390/curroncol29040209
Chicago/Turabian StyleJohnson, Gabrielle W., Rowland H. Han, Matthew D. Smyth, Eric C. Leuthardt, and Albert H. Kim. 2022. "Laser Interstitial Thermal Therapy in Grade 2/3 IDH1/2 Mutant Gliomas: A Preliminary Report and Literature Review" Current Oncology 29, no. 4: 2550-2563. https://doi.org/10.3390/curroncol29040209
APA StyleJohnson, G. W., Han, R. H., Smyth, M. D., Leuthardt, E. C., & Kim, A. H. (2022). Laser Interstitial Thermal Therapy in Grade 2/3 IDH1/2 Mutant Gliomas: A Preliminary Report and Literature Review. Current Oncology, 29(4), 2550-2563. https://doi.org/10.3390/curroncol29040209

