Next Article in Journal
In Memoriam: Prof. Dr. Fritz R. Bühler
Previous Article in Journal
Remotely Navigated Ablation of RVOT Tachycardia
 
 
Cardiovascular Medicine is published by MDPI from Volume 28 Issue 1 (2025). Previous articles were published by another publisher in Open Access under a CC-BY (or CC-BY-NC-ND) licence, and they are hosted by MDPI on mdpi.com as a courtesy and upon agreement with Editores Medicorum Helveticorum (EMH).
Font Type:
Arial Georgia Verdana
Font Size:
Aa Aa Aa
Line Spacing:
Column Width:
Background:
Editorial

Gibt es Dogmen in der Medizin?

by
Thomas F. Lüscher
Zurich Heart House–Foundation for Cardiovascular Research, Zürich, Switzerland
Cardiovasc. Med. 2017, 20(5), 111; https://doi.org/10.4414/cvm.2017.00484
Submission received: 17 February 2017 / Revised: 17 March 2017 / Accepted: 17 April 2017 / Published: 17 May 2017

Was ist ein Dogma?

Wenn wir unseren Freund Wikipedia konsultieren, so versteht man unter einem Dogma, altgriechisch δόγμα, eine Meinung, einen Lehrsatz, Beschluss oder eine Verordnung, eine grundlegende Aussage also, deren Wahrheitsanspruch als unumstösslich gilt – man denkt sogleich an religiöse Aussagen. Und gewiss: In der christlichen Theologie wird der Begriff «Dogma» für einen Lehrsatz gebraucht, der – unter Berufung auf die göttliche Offenbarung, die Autorität der kirchlichen Gemeinschaft oder des Lehramts als solchen – als absolut wahr und verbindlich gilt. Die katholische Kirche ging in dieser Sache, sinnigerweise gerade in einer Zeit, als die Naturwissenschaft ätzende Zweifel an der Unumstösslichkeit ihrer Lehrsätze säte, mit gewohnter Konsequenz vor und erklärte 1870, dass der römische Bischof, damals Papst Pius IX. (1792–1878), wenn er als «Lehrer aller Christen» ex cathedra über eine Glaubens- oder Sittenfrage entscheide, unfehlbar sei.
Doch Dogmen sind nicht auf Religionen beschränkt: Der Marxismus, insbesondere in seiner Geschichtsund Klassentheorie, ist eine Ideologie, die sich auf Dogmen, also auf nicht hinterfragbare Aussagen über die Gesetze und Entwicklung der Geschichte, stützt [1]. Was diese Geschichtstheorie dogmatisch macht, ist ihre Resistenz gegen jede Widerlegung. Schon Hegel selbst, den Marx offenbar auf die Füsse stellte, meinte auf die Frage, warum sich die Geschichte nicht immer an seine Philosophie halte: «Umso schlimmer für die Wirklichkeit» – und schlimm wurde es denn auch mit der materialistischen Variante seiner Gedanken.

Dogmen und Wissenschaft

Gibt es grundlegende Annahmen in der Wissenschaft, die unter eine solche Definition fallen könnten? Gewiss, unter einem anderen Namen, dem Begriff des Axioms, gibt es auch in der Wissenschaft Grundsätze als Grundlage eines Systems wie der Mathematik, die aus sich selbst nicht begründet oder deduktiv abgeleitet werden können. So gelten beispielsweise die Grundsätze der Mathematik wie 2 × 2 = 4 unhinterfragbar. Doch haben sich diese Axiome ihre Legitimation durch ihre erfolgreiche Anwendung in Alltag und Forschung erworben.
In der Naturwissenschaft gilt die Wahrnehmung, sei es mit den eigenen Augen, einem Mikroskop oder einer bildgebenden Technik, als unhinterfragbare Tatsache, frei nach Ludwig Wittgensteins Satz: «Die Welt besteht aus Tatsachen» [2]. In der Naturwissenschaft lassen sich keine Engel oder Geister untersuchen und auch keine Diskussionen über die Dreieinigkeit führen. Nur was sichtbar ist, ist wirklich – auch das gewiss ein Axiom. Nur was sichtbar gemacht werden kann, ist relevant, einzig das Messbare ist wissenschaftlich und schliesslich: Nur was wiederholbar und durch andere nachvollziehbar ist, kann untersucht werden. Eine Erleuchtung eines Einzelnen, wie in religiösen Erweckungen, hat in dieser Welt keinen Platz.
Paradigmatisch führten in der Medizin im Paris des Jahres 1837 zwei Kontrahenten, Pierre Charles Alexandre Louis und Risueno d’Amador, eine historisch bedeutende Debatte [3]: Sind es Zahlen, also Resultate objektiver Messungen, die uns weiterbringen, wie Louis anhand seiner epidemiologischen Untersuchungen zur Tuberkulose, Typhus und Lungenentzündungen zu belegen suchte, oder ist der einzelne Patient das Entscheidende, wie d’Amador meinte? Louis bereicherte die Medizin durch die, wie er es nannte, «numerische Methode», einer Vorläuferin von Epidemiologie und medizinischer Statistik. In seinen Untersuchungen wies er als erster auf die Unwirksamkeit des Aderlasses bei der Behandlung der Lungenentzündung hin, daher sein Motto: «Sans l’aide de la statistique, rien qui ressemble à une véritable science médicale n’est possible!» Anders sein Widersacher d’Amador, ein Vertreter der Homöpathie, der ihm die Unvergleichbarkeit des individuellen Patienten entgegenhielt: «L’homme moyen n’existe pas!» Auch wenn man die mittlere Schuhgrösse aller Franzosen wüsste, könne man nicht für jeden den passenden Schuh finden. Dass mit Mittelwerten für den einzelnen Patienten nicht immer viel zu gewinnen ist, ist nicht abzustreiten – dennoch brachte die numerische Medizin die Heilkunst viel weiter als die im Einzelfall verharrende Sicht d’Amadors, eine Haltung, in welcher homöpathische Ärzte allen Erkenntnissen zum Trotz noch heute leben

Was ist Wissenschaft?

Somit: Wissenschaft, beobachtet, beschreibt, misst, zählt und kommt zu begründeten Schlüssen. Dabei ist ihr Weg beschwerlich und lang: Nur The long and winding road führt zu Erkenntnis. Auf diesem Weg sind folgende Schritte auszumachen: (1) Induktion: Vom Einzelfall zur Generalisierung; (2) Konfirmation: Bestätigung von ersten Erkenntnissen durch wiederholte Beobachtung; (3) Theoriebildung: Konzepte von natürlichen Prozessen; (4) praktische Anwendung wie beispielsweise die Nutzung der Aerodynamik zum Fliegen, der Bakteriologie für Hygiene und Antibiotika und (5) laufende Überprüfung. Und gerade letztere trennt Forschung von Ideologie. Deshalb mussten und müssen Forscher Enttäuschungen hinnehmen, denen sich Ideologen entziehen: Nur die wenigsten Theorien überleben den Test der Zeit, denn – wie es Thomas Huxley, «Darwins Bulldog», fasste: «The tragedy of scientific inquiry is that a beautiful hypothesis may be slain by an ugly fact.» Und ohne Zweifel: Die Widerlegbarkeit von Aussagen, macht diese wissenschaftlich.

Von der Verifikation zur Falsifikation

Einen Durchbruch in der Wissenschaftstheorie brachte Sir Karl R. Poppers «Logik der Forschung» im Jahre 1934 [4]. Dass eine scheinbar längst bestätigte Aussage dennoch falsch sein kann, veranschaulichte er an einem Beispiel: Die Aussage «Alle Schwäne sind weiss»wurde falsifiziert, als man erstmals in Australien schwarze Schwäne fand. Poppers Theorie schliesst sich in der Erkenntnistheorie den Gedanken von Charles Darwin an. «Survival of the fittest» gilt auch hier [5]; nur die wenigsten Theorien überleben den Test der Zeit, die meisten werden durch neue Erkenntnisse falsifiziert. «Survival of the fittest» meint im eigentllchen Sinne Überleben des Bestangepassten, in diesem Zusammenhang Überleben derjenigen Theorie, die der Wirklichkeit am nächsten kommt, die zu ihr am Besten passt («to fit»). In diesem Sinne ist der Test der Zeit das beste Mass der Wahrheit.

Gibt es Dogmen in der Wissenschaft?

Gibt es nun doch Dogmen in der Wissenschaft und Medizin? Sicher gibt es Dogmen in der Alternativmedizin, so beispielsweise die im Organon von Samuel Hahnemann (1755–1843) beschriebenen Grundprinzipien der Homöopathie [6]: (1) Das Ähnlichkeitsprinzip, lateinisch Similia simulilantibus curantur. Dieses Dogma, das sich der Widerlegung entzieht, sagt, dass was krank macht, in hohen Verdünnungsreihen heilt. (2) Potenzierung: Da in über 30-fachen Verdünnungsreihen nach den Erkenntnissen der Chemie nach aller Wahrscheinlichkeit kein Molekül mehr zu finden ist, wurde der Begriff der Potenzierung eingeführt. Dieser geht davon aus, dass «das Wasser Gedächnis hat», sich also durch Schütteln bei jeder Verdünnung an die ursprünglich zugegebene Substanz erinnert und entsprechend sanft wirkt. (3) Schliesslich die nicht hinterfragbare Annahme, dass jeder Patient seine eigene Erkrankung hat (Individualisierung), womit sich die Homöopathie einer klassischen Prüfung in randomisierten Untersuchungen entzieht. Die homöopathischen Dogmen haben, gerade weil sie erfahrungsresistent sind, wirklichen Fortschritt seit Hahnemanns fundamentalem Werk verhindert [7].
Gibt es Dogmen in der wissenschaftlichen Medizin? Dogmen vielleicht nicht, aber doch starke Lehrmeinungen. Etwa diejenige von Theodor Billroth (1829–1994): «Ein Chirurg, der versucht, eine Wunde am Herzen zu nähen, wird die Achtung seiner Kollegen für immer verlieren.» Immerhin hat ihn die Herzchirurgie überzeugend widerlegt – kein Dogma, aber immerhin eine Meinung eines berühmten Mannes, die den Fortschritt gewiss nicht gefördert hat. Vor Werner Forssmanns heroischem Selbstversuch 1929 [8], als er sich ohne Nachwirkungen selbst einen Urinkatheter in den rechten Vorhof schob, galt auch hier: «Noli me tangere» – entsprechend warf ihn sein Chef Ferdinand Sauerbruch (1875–1951) nach der Publikation seiner Tat aus der Charité [9]. Ähnliche Befürchtungen wurden widerlegt, als Mason Soanes and der Cleveland Clinic aus Versehen erstmals Kontrastmittel in eine Koronararterie injizierte und sowohl Kammerflimmern als auch Herzstillstand ausgeblieben waren. Auch während Andreas Grüntzigs epochaler Balloonerweiterung einer verengten Koronararterie [10], die sich am 15. September zum 40. Male jährt, kam es entgegen allgemeiner Lehrmeinung weder zu Kammerflimmern noch Infarkt [11].

Paradigmen und normale Wissenschaft

In seinem 1972 veröffentlichten Werk «The Structure of Scientific Revolutions» führte Thomas S. Kuhn den Begriff des Paradigmas in die Wissenschaftstheorie ein [12]. Paradigma leitet sich aus dem griechischen Wort παράδειγμα oder parádeigma, zusammengesetzt aus παρὰ parà «neben» sowie δεíκνυμι deiknymi «zeigen», «begreiflich machen» ab. Begreiflich macht man Dinge mit einem Modell oder Beispiel oder in der Wissenschaft einem zentralen Experiment, einem originellen Ansatz oder weiter gefasst einer bestimmten Weltsicht. Paradigmatisch waren in der Medizin William Harveys Experimente an seinem Unterarm und an lebenden Tieren anstatt an Leichen [13]. Anders als sein Lehrer Vesalius untersuchte er lebende Organismen und gelangte zu Einsichten zur Funktion des Kreislaufs, die bis heute Gültigkeit haben und Grundlage zahlloser Untersuchungen und Erkenntnissen sind und waren.
Vergleichbar bedeutend war und ist das Paradigma, dass von Auge unsichtbare Mikroorganismen für die Seuchen des Menschen verantwortlich sind. Beobachtungen von Louis Pasteur (1822–1895) und Robert Koch (1843–1910) [14] waren Grundlage dieses Konzepts. Ja, die Koch’schen Postulate waren leitend für die naturwissenschaftliche Beweisführung: Danach muss ein Erreger im erkrankten Organismus nachweisbar sein, dann muss sich die Krankheit durch eine Reinkultur des Erregers in einem empfänglichen Organismus ausbilden und der Erreger muss sich schliesslich aus Gewebe des experimentell infizierten Organismus in Reinkultur züchten lassen (Figure 1). Diese Strenge der Beweisführung wissenschaftlichen Forschens war paradigmatisch nicht nur für die Mikrobiologie, sondern schliesslich für die naturwissenschaftliche Medizin insgesamt.
Als paradigmatisch – somit über Jahrzehnte für die Forschung leitend – erwies sich auch die CholesterinHypothese, die an anderer Stelle eingehend besprochen wird [15]. Was mit Edward Jenners Autopsiebefund, Rudolf Virchows Pathologie und Nikolai Nikolajewitsch Anitschkows (1885–1964) epochemachendem Versuch an Kaninchen begann und in der Framingham-Studie ihre Fortsetzung fand, wurde zum bedeutendsten Paradigma der kardiovaskulären Medizin. Mit der Entdeckung von Statinen durch Akiro Endo in den 70er Jahren wurde eine Prüfung der Cholesterinhypothese in der 4S-Studie möglich. Diese wurde entsprechend dem paradigmatischen Versuch von Sir Austin Bradford Hill (1897–1991), damals mit Streptomycin gegen Liegekuren bei Tuberkulose [16], randomisiert doppelblind durchgeführt (Figure 2). Die nach 5.4 Jahren beobachtete Senkung der koronaren Mortalität um 30% bestätigte die Hypothese weiter [17]. Es war somit Pierre Charles Alexander Louis’ Sichtweise, welche die Medizin weiterbrachte.
Ein weiterhin sehr umstrittenes Paradigma, das von einigen Medizinern geradezu dogmatisch vertreten wird, ist das Salz in der Ernährung und seine Bedeutung für Blutdruck, Hirnschlag und Herztod. Und gewiss, die Naturmenschen kannten kein Salz – ausser der Menge Natrium, die sich in ihrer Nahrung fand. Entsprechend scheiden Yanamono-Indianer nur geringe Mengen an Natrium im Urin aus. Auch ihr Blutdruck ist sehr tief, im Mittel 100/70 mmHg, während bei uns 130/80 noch als normal gilt. Also scheint Salz doch an der Epidemie von Hochdruckpatienten schuld?
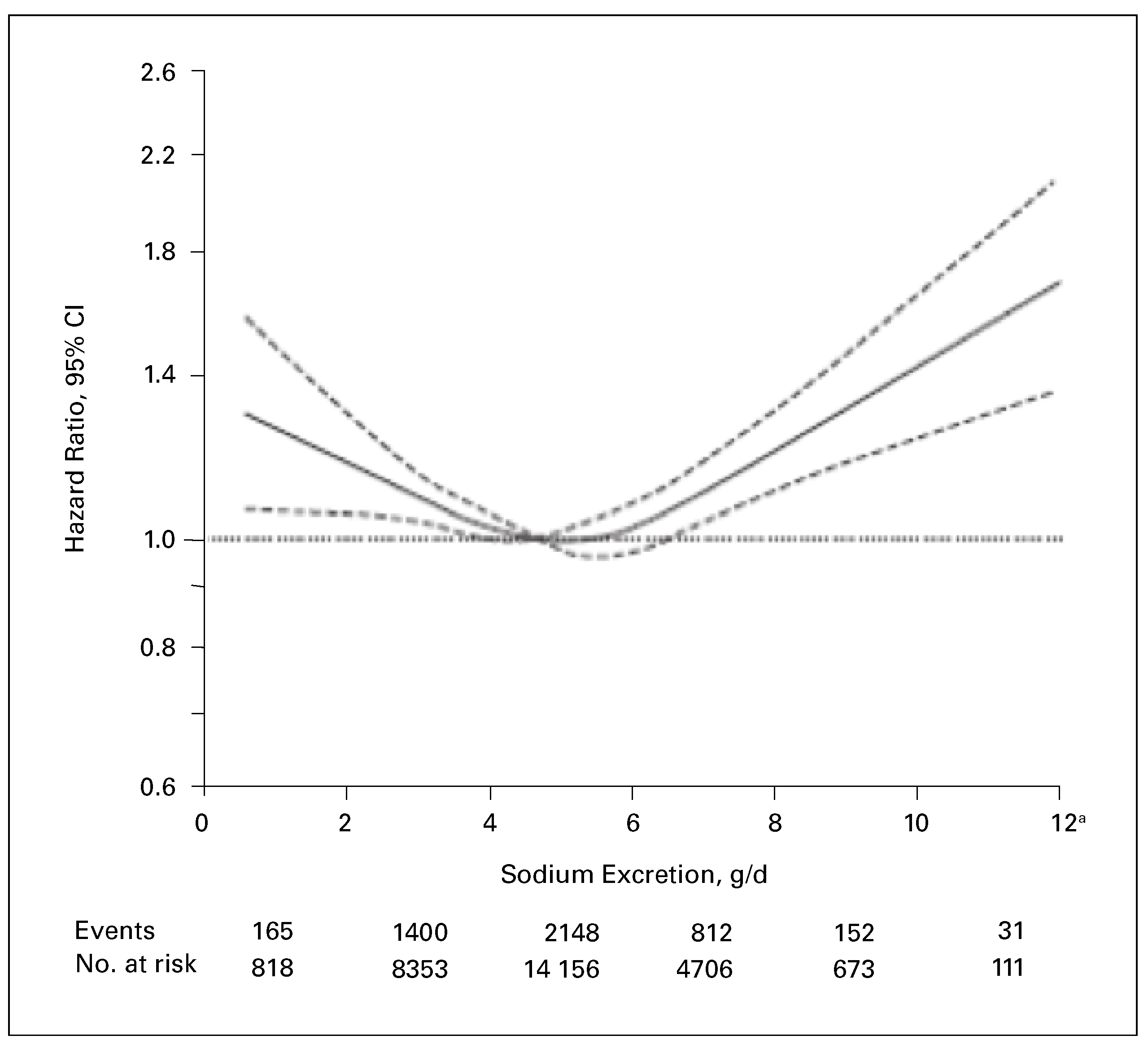
Gewiss ist Salz ein Kulturprodukt – in römischen Zeiten war die Meersalzgewinnung eine wichtige Industrie. Salz hatte einen hohen Wert: Die römischen Legionäre erhielten eine Zuteilung von Salz als Teil ihres Soldes, das so genannte «salarium» (von lateinisch «sal» für Salz). Daraus wurde später das «Salär» als Besoldung der Offiziere, und noch heute ist der Ausdruck für Gehalt oder Lohn in Gebrauch. Und seither streuen wir Salz in die Suppe und alles, was wir sonst noch zu uns nehmen. Wie schädlich ist nun das Salzen? Wenn man den Vertretern der Salz-Hypothese – und selbst das Schweizerische Bundesamt für Gesundheit gehört dazu – glaubt, so ist Salz für hohen Blutdruck, Hirnschlag und Tod verantwortlich. Neuere Analysen grosser Register legen dagegen nahe, dass zu wenig ge-nauso schädlich ist wie zu viel – es gibt also einen «sweet spot», der am ehesten bei 4–5 g pro Tag oder zwei Teelöffeln liegt (Figure 3) [18,19]. Was der Salz-Hypothese fehlt, ist eine randomisierte kontrollierte Studie mit den Endpunkten Blutdruck, Infarkt, Hirnschlag und Tod – ein wahrscheinlich nicht zu realisierendes Unterfangen. Bis dahin weist die Evidenz, einigen Dogmatikern zum Trotz, darauf hin, dass ein moderater Konsum wohl das Beste ist.

Behindern Paradigmen den Fortschritt?

Können Paradigmata den Fortschritt auch behindern? Diese Frage ist berechtigt. Und gewiss, Forscher geben – entgegen Poppers Konzept – ihre Hypothesen nicht gerne auf; sie hängen an ihren Paradigmata. Bei widersprüchlichen Ergebnissen suchen sie nach Erklärungen, wiederholen Experimente und suchen nach neuen Messmethoden – und das mit Recht: Es gibt viele und gute Gründe, Paradigmen bei Unstimmigkeiten nicht gleich aufzugeben, zu viele technische Probleme, Zufälligkeiten und anderes mehr können dahinterstehen. Viele Theorien hatten zunächst eine Reihe von Ungereimtheiten zu lösen. Kopernikus’ kreisförmige Bahnen der Planeten um die Sonne waren revolutionär, kamen der Wirklichkeit aber nicht wirklich nahe; erst Keplers Ellipsen beschrieben den Lauf der Sterne genauer. Die Kräfte, die ihrem Lauf zugrundelagen, wurden schliesslich erst durch Newton entdeckt.
Auch William Harveys Theorie des Kreislaufs war anfangs experimentell ungenügend belegt. Die Verbindungen zwischen Arterien und Venen, die Kapillaren, eine zwingende Annahme der Kreislauftheorie, wurden erst Jahrzehnte nach der Veröffentlichung von «De Motu Cordis» durch Marcello Malpighi (1628–1694) entdeckt. Den Blutdruck, eine weitere zwingende Annahme von Harveys Theorie, mass über ein Jahrhundert später der englische Landpfarrer Stephen Hales (1677–1761) [20].
Somit: Wissenschafltiche Theorien sind von Beginn an immer unvollständig, nähern sich über die Zeit aber stetig der Wirklichkeit – oder werden wieder verlassen. Dennoch können Lehrmeinungen, wie dargestellt, die Forschung behindern, bis sie durch mutige und visionäre Forscher widerlegt werden – doch widerlegt werden können sie in der Wissenschaft; das unterscheidet sie ja eben von der Ideologie.

The Bumpy Road to Evidence

Der Weg zur Erkenntnis ist lang und hindernisreich; dogmatisch ist er aber gerade nicht, denn nur deshalb kann die Wissenschaft voranschreiten. Sie bewegt sich normalerweise innerhalb leitender Paradigmen (Thomas Kuhns «Normal Science») und geht gelegentlich im Rahmen wissenschaftlicher Revolutionen neue Wege. Zuletzt sind es die praktischen Folgen einer Theorie, die überzeugen: die Mikroorganismen-Hypothese, die zur Hygiene und Heilung der Tuberkulose führte, die Immunologie, welche die Ausrottung von Polio und Pocken ermöglichte, und die Cholesterinhypothese, die Herzinfarkt und Herztod reduzierte.

Disclosure Statement

Der Author hat für das diesem Artikel zugrundeliegende Referat ein Referentenhonorar erhalten. Weiter hat Novartis zahlreiche Fortbildungsveranstaltungen und den Postgraduate Course on Heart Failure an der Universität Zürich unterstützt. Im übrigen bestehen keine finanziellen Interessenskonflikte. Allerdings hat der Autor im Laufe seiner Karriere mit über 30 Firmen der Pharma-, Ernährungs- und Deviceindustrie zusammengearbeitet.

References

  1. Marx, K. Das Kapital—Kritik der Politischen Oekonomie; Verlag Otto Meissner: Hamburg, Germany, 1867. [Google Scholar]
  2. Wittgenstein, L. Tractatus Logico-Philosophicus, Bibliothek Suhrkamp; Seite 11; Frankfurt am Main, 1999. [Google Scholar]
  3. Mathews, J.R. Quantification and the Quest for Medical Certainty; Princenton University Press: Ewing, NJ, USA.
  4. Popper Karl, R. Logik der Forschung. J.C.B. Mohr (Paul Siebeck), Tübingen 1973.
  5. Darwin, Ch. Die Abstammung des Menschen. Alfred Kröner Verlag Stuttgart 2002.
  6. Hahnemann, S. Organon der Heilkunde. Aude sapere. Nach der handschriftlichen Neubearbeitung Hahnemanns für die 6. Aufl. hrsg. und mit Vorwort versehen von Richard Haehl, Leipzig 1921; Neudruck, hrsg. von Herbert Sigwart und Ulrich Welte, Blansingen 1984; Nachdruck, deklariert als 2. Aufl., ebenda 1987.
  7. Lüscher, T.F. Ist die Medizin von Sinnen? Zur Rückkehr des autistisch-undisziplinierten Denkens. Kardiovask. Med. 2009, 12, 277–281. [Google Scholar]
  8. Forssmann, W. Die Sondierung des rechten Herzens. Klin. Wochenschr. 1929, 8, 2085–2087. [Google Scholar] [CrossRef]
  9. Forssmann, W. Selbstversuch. Erinnerungen eines Chirurgen; Droste Verlag: Düsseldorf, Germany, 1972. [Google Scholar]
  10. Grüntzig, A.R.; Senning, A.; Siegenthaler, W.E. Nonoperative dilatation of coronary-artery stenosis: percutaneous transluminal coronary angioplasty. N. Engl. J. Med. 1979, 301, S.61–S.68. [Google Scholar] [CrossRef] [PubMed]
  11. Meier, B.; Lüscher, T.F.; Bachmann, A. 25 years of angioplasty: almost a fairy tale. Lancet 2003, 361, 527. [Google Scholar] [CrossRef] [PubMed]
  12. Kuhn, T.S. Die Entstehung des Neuen. Studien zur Struktur der Wissenschaftsgeschichte; Suhrkamp Verlag: Frankfurt, Germany, 1977. [Google Scholar]
  13. Harvey, W.H. De Motu Cordis. Zitiert nach: William H. Harvey: An Anatomical Disputation Concerning the Movement of the Heart and Blood in Living Creatures; G. Whitteridge Blackwell Scientific: Oxford, UK, 1976. [Google Scholar]
  14. Koch, R. Gesammelte Werke, J. Schwalbe, G. Gaffky, E. Pfuhl Hrsg., 1912.
  15. Lüscher, T.F. Grimmige Märchen. Cardiovasc. Med. 2017; im Druck.
  16. Hill, A.B. Streptomycin treatment of pulmonary tuberculosis: A Medical Research Council investigation. Brit. Med. J. 1948, 769–773. [Google Scholar]
  17. Randomised trial of cholesterol lowering in 4444 patients with coronary heart disease: the Scandinavian Simvastatin Survival Study (4S). Lancet 1994, 344, 1383–1389. [CrossRef]
  18. O’Donnell, M.J.; Yusuf, S.; Mente, A.; et al. Urinary sodium and potassium excretion and risk of cardiovascular events. JAMA 2011, 306, 2229–2238. [Google Scholar] [CrossRef] [PubMed]
  19. O’Donnell, M.J.; Mente, A.; Rangarajan, S.; et al. Urinary sodium and potassium excretion, mortality and cardiovascular events. N. Engl. J. Med. 2014, 371, 612–623. [Google Scholar] [CrossRef] [PubMed]
  20. Hales, S. An account of some hydraulic and hwitydrostatic experiments made on the blood and blood vessels of animals. London 1733.
Figure 1. Die Koch’schen Postulate.
Figure 1. Die Koch’schen Postulate.
Cardiovascmed 20 00111 g001
Figure 2. Die erste randomisierte Studie von Sir Austin Bradford Hill (1897–1991), in der Streptomycin bei Patienten mit Lungentuberkulose mit den bisher üblichen Liegekuren verglichen wurde.
Figure 2. Die erste randomisierte Studie von Sir Austin Bradford Hill (1897–1991), in der Streptomycin bei Patienten mit Lungentuberkulose mit den bisher üblichen Liegekuren verglichen wurde.
Cardiovascmed 20 00111 g002
Figure 3. Wieviel Salz in der Suppe? Die J-Kurve kardiovaskulärer Komplikationen wie Mortalität, Hirnschlag, Infarkt und Herzinsuffizienz entsprechend dem täglichen Salzkonsum. Aus: O’Donnell MJ, Mente A, Smyth A, Yusuf S. Salt intake and cardiovascular disease: why are the data inconsistent? Eur Heart J. 2013;34:1034–40, Nachdruck mit Genehmigung.
Figure 3. Wieviel Salz in der Suppe? Die J-Kurve kardiovaskulärer Komplikationen wie Mortalität, Hirnschlag, Infarkt und Herzinsuffizienz entsprechend dem täglichen Salzkonsum. Aus: O’Donnell MJ, Mente A, Smyth A, Yusuf S. Salt intake and cardiovascular disease: why are the data inconsistent? Eur Heart J. 2013;34:1034–40, Nachdruck mit Genehmigung.
Cardiovascmed 20 00111 g003

Share and Cite

MDPI and ACS Style

Lüscher, T.F. Gibt es Dogmen in der Medizin? Cardiovasc. Med. 2017, 20, 111. https://doi.org/10.4414/cvm.2017.00484

AMA Style

Lüscher TF. Gibt es Dogmen in der Medizin? Cardiovascular Medicine. 2017; 20(5):111. https://doi.org/10.4414/cvm.2017.00484

Chicago/Turabian Style

Lüscher, Thomas F. 2017. "Gibt es Dogmen in der Medizin?" Cardiovascular Medicine 20, no. 5: 111. https://doi.org/10.4414/cvm.2017.00484

APA Style

Lüscher, T. F. (2017). Gibt es Dogmen in der Medizin? Cardiovascular Medicine, 20(5), 111. https://doi.org/10.4414/cvm.2017.00484

Article Metrics

Back to TopTop