Next Article in Journal
Effect of Probiotic Supplementation on Muscle Strength After Myocardial Revascularization: A Randomized, Controlled, Triple-Blind Clinical Trial
Previous Article in Journal
Morus alba Calli: A Sustainable Source of Phytochemicals and Nutritive Supplements
Previous Article in Special Issue
Modulation of Iron Homeostasis by Hepcidin in Response to Elevated Dietary Vitamin D Intake in Rats: An Exploratory Study
 
 
Font Type:
Arial Georgia Verdana
Font Size:
Aa Aa Aa
Line Spacing:
Column Width:
Background:
Article

The Effectiveness and Safety of a New Nutraceutical in Patients with Knee Osteoarthritis: A Pilot Study

1
Department of Health Science, University of Catanzaro, 88100 Catanzaro, Italy
2
Operative Unit of Clinical Pharmacology and Pharmacovigilance, “R Dulbecco” University Hospital, Viale Europa, 88100 Catanzaro, Italy
3
Research Center FAS@UMG, Department of Health Science, University Magna Graecia, 88100 Catanzaro, Italy
4
Department of Environmental Biological and Pharmaceutical Sciences and Technologies, University of Campania “Luigi Vanvitelli”, 81100 Caserta, Italy
5
Medifarmagen University Spin-Off, “R Dulbecco” University Hospital, 88100 Catanzaro, Italy
6
Department of Pharmacy, Health and Nutritional Sciences, University of Calabria, 87036 Rende, Italy
*
Author to whom correspondence should be addressed.
Nutraceuticals 2026, 6(1), 11; https://doi.org/10.3390/nutraceuticals6010011
Submission received: 8 November 2025 / Revised: 9 January 2026 / Accepted: 13 January 2026 / Published: 5 February 2026

Abstract

Background: Nutraceuticals are increasingly used in clinical practice for their anti-inflammatory, antiproliferative, and antioxidant properties. This study aimed to evaluate the safety and efficacy of a fixed nutraceutical combination containing chondroitin sulfate, α-lipoic acid, astaxanthin, lycopene, escin, and omega-3 fatty acids (eicosapentaenoic acid and docosahexaenoic acid) in improving pain and quality of life in patients with chronic knee osteoarthritis (OA). Methods: This observational study included patients with chronic knee OA who were referred to the ambulatory pain clinic at Dulbecco University Hospital, Catanzaro, Italy. Participants received one tablet daily for three months. Quality of life was assessed using the 36-Item Short Form Health Survey (SF-36), and adverse drug reactions (ADRs) were evaluated using the Naranjo scale. Results: Fifty patients (20 men and 30 women; mean age, 63.6 ± 11.4 years; range, 26–88 years; mean body mass index, 26.9 ± 3.7 kg/m2) were enrolled. Pain symptoms demonstrated a statistically significant improvement over time (p < 0.01). No ADRs were reported during the study period. Conclusions: The fixed nutraceutical combination improved pain and quality of life in patients with chronic knee OA and demonstrated an excellent safety profile.

1. Introduction

Knee osteoarthritis (OA) is a multifactorial disease characterized by articular cartilage degradation, the formation of bone osteophytes, subchondral bone sclerosis, and, in advanced stages, the development of subchondral cysts [1]. The most common clinical manifestation of knee OA is persistent or intermittent chronic pain lasting more than three months, which typically correlates with the extent of joint destruction [2,3].
Pharmacological treatments, such as non-steroidal anti-inflammatory drugs (NSAIDs) [4], with or without topical compounds (e.g., corticosteroids or hyaluronic acid) [5,6,7], are commonly used but may be associated with adverse drug reactions (ADRs) or drug–drug interactions [8,9]. Advances in molecular medicine suggest that targeting specific cellular pathways may modify the course of chronic diseases. In this context, compounds with antioxidant and anti-inflammatory properties hold potential as therapeutic agents for various pathological conditions [10,11,12].
International guidelines suggest that dietary supplements may represent a first-line treatment option for patients with mild to moderate knee OA; however, their safety must be carefully evaluated, particularly in patients receiving multiple medications [13]. Several nutrients used in knee OA management exhibit anti-inflammatory and antioxidant effects. Among these, chondroitin sulfate and alpha-lipoic acid have been shown to play a significant role in controlling symptoms. Two systematic reviews demonstrated the efficacy of glucosamine and chondroitin compared to active controls and placebo [14,15]. Additionally, alpha-lipoic acid has been proposed as a therapeutic agent due to its antioxidant activity [16].
This pilot study serves as a proof of concept for a fixed combination of chondroitin sulfate, alpha-lipoic acid, astaxanthin, lycopene, escin, and omega-3 fatty acids (including eicosapentaenoic acid (EPA) and docosahexaenoic acid (DHA), aiming to evaluate its effects on symptoms of mild to moderate knee pain in patients with knee OA. Effective symptom reduction may significantly improve knee mobility and overall quality of life in these patients. Therefore, the primary aim of this study was to assess the effect of this new formulation with respect to patients’ self-perceived disease progression and treatment effectiveness.

2. Materials and Methods

2.1. Study Design

This observational, single-center, open-label study enrolled patients of both sexes diagnosed with knee OA who were referred to the Pain Unit of the Clinical Pharmacology and Pharmacovigilance Department at “R. Dulbecco” University Hospital of Catanzaro from January 2025 to September 2025. During this period, patients received a fixed combination of a new nutraceutical (1 tablet daily for 3 months) supplied by the manufacture Diaco Biofarmaceutici (Trieste, Italy), in addition to their usual therapy. At study initiation, participants were instructed not to change their dietary habits or any medications for comorbidities.

2.2. Ethical Considerations

Each participant was assigned a unique numerical code generated by a physician not involved in the study to ensure privacy. All participants provided written informed consent after being fully informed about the study’s purpose and procedures. The study was conducted in accordance with Good Clinical Practice and the Declaration of Helsinki and complied with Italian privacy regulations. Ethical approval was obtained from the Institutional Ethics Committee (Authorization No. 120/2018; Clinical trial registration: NCT05509075).

2.3. Inclusion and Exclusion Criteria

  • Patients were enrolled according to the following inclusion criteria:
  • Age ≥ 18 years, of either sex.
  • Diagnosis of knee osteoarthritis (OA).
  • An ability to comply with the study protocol and provision of written informed consent.
  • The exclusion criteria included the following:
  • Age < 18 years.
  • Pregnancy or breastfeeding, or women of childbearing potential not using adequate contraception.
  • Known allergy or hypersensitivity to the study treatment or rescue medications.
  • Advanced-stage malignancies.
  • Moderate to severe renal impairment (glomerular filtration rate < 30 mL/min).
  • Severe hepatic or cardiac dysfunction.
  • Severe asthma.
  • History of drug or alcohol abuse.
  • Any condition or comorbidity that, in the investigator’s judgment, could pose a risk to the participant or interfere with the evaluation of efficacy and safety.
  • Participation in another clinical trial or receipt of an investigational drug within 30 days before screening.

2.4. Experimental Protocol

Clinical data were collected at enrollment (T0, prior to treatment initiation) and at 1 month (T1), 2 months (T2), and 3 months (T3, end of the study) after T0. All patients presented with chronic pain and were receiving NSAIDs as needed; therefore, baseline data at T0 served as the control condition.
Questionnaires were administered by the study’s medical staff. Given the open-label design, patient confidentiality was maintained through the assignment of unique numerical codes by a physician not involved in the study. This ensured privacy while enabling accurate data analysis in compliance with ethical research standards.
At enrollment (T0) and during the follow-up period (T1–T3), detailed medical history was collected, physical examinations were performed, and standardized questionnaires were completed. Pain intensity and functional status were assessed using the Visual Analogue Scale (VAS) and the Knee Injury and Osteoarthritis Outcome Score (KOOS). Throughout the study, any systemic or local adverse drug reactions (ADRs) were monitored and evaluated using the Naranjo scale to determine causality.
Treatment adherence was assessed through pill counts in combination with patient self-reporting. Participants were instructed to maintain a daily log of tablet intake, which was reviewed at each follow-up visit to ensure compliance. Specifically, each patient received one bottle containing 30 tablets at T0 and was asked to return the bottle after one month during the follow-up visit, at which time a new bottle was provided following clinical evaluation.
Prior to enrolling in this study, all patients had received systemic treatment with NSAIDs, without achieving any clinical improvement. Consequently, the pretreatment period (T0) was used as the control for comparison with follow-up assessments.

2.4.1. Questionnaires

Validated instruments were employed, consistent with previous studies:
36-Item Short Form Health Survey (SF-36): Assesses health-related quality of life across eight domains. Higher scores indicate better perceived health status, whereas lower scores reflect poorer quality of life [17,18].
Zung Self-Rating Anxiety Scale (Zung SAS): A 20-item questionnaire assessing anxiety, categorized as normal, score 0–44; moderate, 45–59; or severe, 60–80 [19].
Zung Self-Rating Depression Scale (Zung SDS): A 20-item instrument measuring depressive symptoms, classified as normal, score 20–49; mild, 50–59; moderate, 60–69; or severe, 70–80 [20].
Adverse Drug Reaction Probability Scale (Naranjo Scale): A 10-item tool used to standardize the assessment of ADR causality. Scores classify ADRs as doubtful (≤0), possible (1–4), probable (5–8), or definite (≥9) [21,22].
Knee Injury and Osteoarthritis Outcome Score (KOOS): Evaluates knee pain, symptoms (e.g., swelling, range of motion), activities of daily living, sport/recreation function, and knee-related quality of life. Scores range from 0 (extreme problems) to 100 (no problems) [23].

2.4.2. Clinical Tests

  • Clinical assessments were performed according to established protocols:
  • Timed Up and Go (TUG) Test: Evaluates functional mobility and fall risk by timing how long it takes for a patient to rise from a chair, walk three meters, turn, return, and sit down. Shorter times indicate better mobility, whereas 13.5 s indicate increased fall risk [24].
  • Visual Analogue Scale (VAS): Measures pain intensity on a 10 cm line, where 0 represents “no pain” and 10 represents “worst imaginable pain.” The onset of pain during the TUG test was also recorded.

2.5. Efficacy End Points

The primary endpoint was as follows:
Statistically significant improvement (p < 0.01) in KOOSs at follow-up visits (T1–T3) compared with baseline (T0).
The secondary endpoints included the following:
Statistically significant improvement (p < 0.01) in VAS scores at T1–T3 compared with T0.
Statistically significant improvement (p < 0.01) in overall SF-36 scores at T1–T3 compared with T0.
Statistically significant changes (p < 0.01) in mood disorder scores (Zung SAS and SDS) between T1–T3 and T0.

2.6. Safety End-Points

ADRs related to the nutraceutical were recorded using the Naranjo scale. ADRs leading to withdrawal were documented.

2.7. Nutraceutical Formulation

Each tablet containing a fixed combination of chondroitin sulfate, α-lipoic acid, astaxanthin, lycopene, escin, omega-3 fatty acids, eicosapentaenoic acid (EPA), and docosahexaenoic acid (DHA) was supplied by Diaco Biofarmaceutici, (Trieste, Italy) (Table 1).

2.8. Statistical Analysis

Continuous variables with a Gaussian distribution were described as the mean ± standard deviation (SD), whereas categorical variables were summarized as counts and percentages. The normality of continuous variables was assessed using the Shapiro–Wilk test. Comparisons of continuous variables were performed using Student’s t-test or one-way analysis of variance (ANOVA), as appropriate. Categorical variables were compared using the chi-square test or Fisher’s test according to cell count.
Multivariate analyses were adjusted for potential confounders, including age, sex, smoking status, alcohol consumption, physical activity, educational level, body mass index (BMI), comorbidities, and concomitant drug use. Correlations between continuous variables were assessed using Pearson’s correlation coefficient.
For repeated measures, the nonparametric Friedman test was used, followed by post hoc pairwise comparisons with the Wilcoxon signed-rank test. Data are presented as the mean ± SD unless otherwise specified. Tests were performed according to variables normal distribution or skewness. Statistical significance was set at p < 0.01 (applying Bonferroni’s correction due to the high number of tests performed). All analyses were conducted using SPSS software, version 22.0 (IBM Corp., Armonk, NY, USA).
Because no prior data were available for this novel compound, a formal power calculation could not be performed; therefore, this investigation was designed as a pilot study.

3. Results

3.1. Population

In this study, we enrolled 50 patients (20 men and 30 women) with a mean age of 63.6 ± 11.4 years (range: 26–88 years) and a mean body mass index (BMI) of 26.9 ± 3.7 kg/m2 (Figure 1, Table 2). All patients had a history of knee OA unresponsive to typical or atypical NSAIDs (Table 3) and provided written informed consent. Among the study population, 11 patients (22%) reported a history of articular trauma, while the remaining 39 patients (78%) had knee OA attributed to chronic degeneration. No significant differences in age, sex, or BMI were found between these two groups (p > 0.05). Additionally, bilateral knee OA was documented in 28 patients (56%), with no significant differences in its prevalence by sex (women: n = 18, 45%; men: n = 10, 50%), age, or BMI. All of the enrolled patients completed the course of treatment (Figure 1).

3.2. Effects on Pain

At baseline (T0), the mean Visual Analogue Scale (VAS) score was 7.5 ± 0.6 (men: 7.7 ± 0.6; women: 7.3 ± 0.8), the mean Knee Injury and Osteoarthritis Outcome Score (KOOS) was 43.8 ± 12.65, and the mean Timed Up and Go (TUG) test time was 4.8 ± 2.2 s. All patients exhibited a positive walking test after 3 min (Table 4 and Table 5). At T0, Pearson correlation analysis revealed no significant associations between pain intensity and sex, age, or body mass index (BMI) (Table 6).
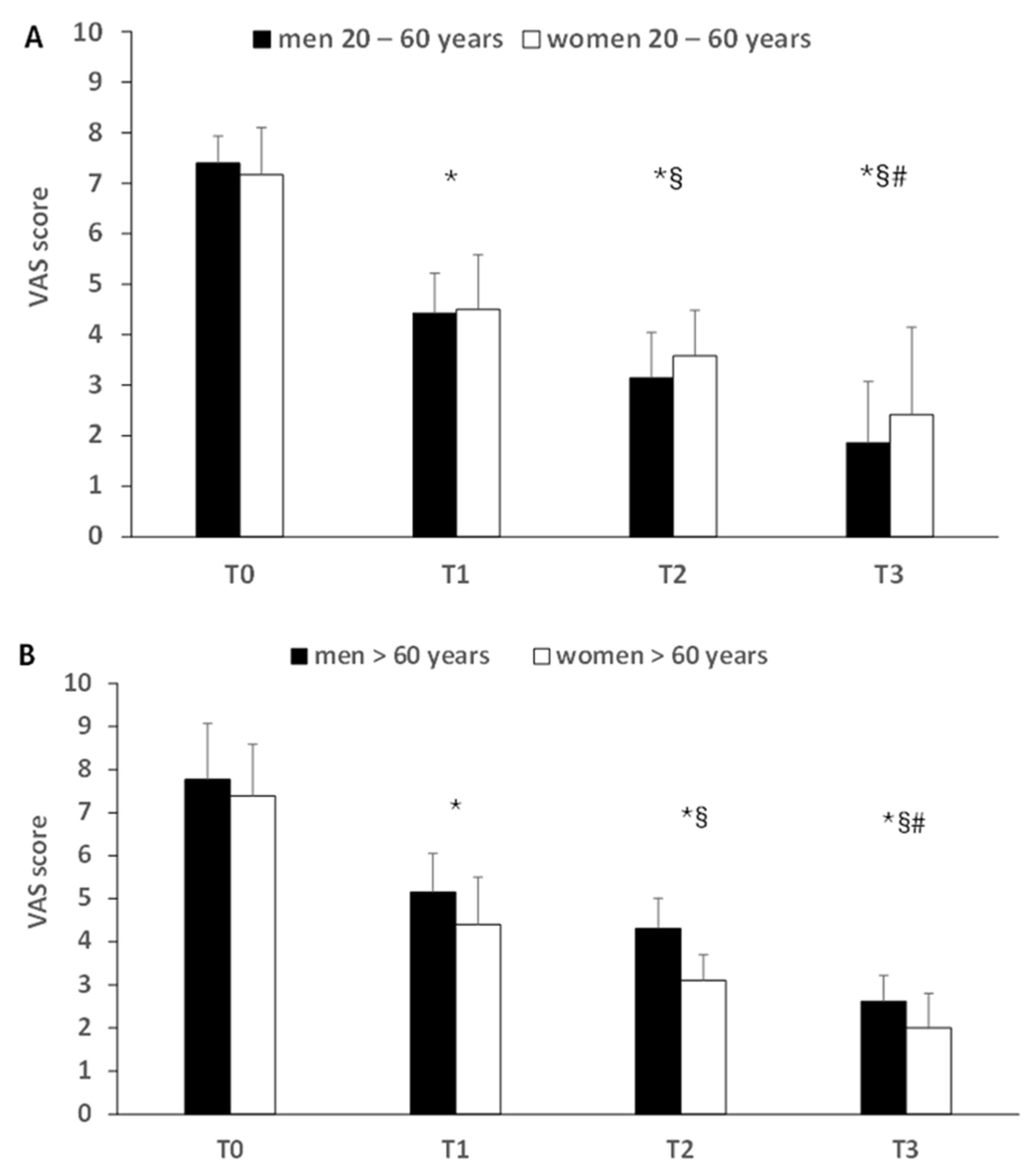
During the follow-up period (T1–T3), a significant, time-dependent improvement in clinical symptoms was observed (p < 0.001; Table 4 and Table 5). Specifically, when patients were stratified by age group (20–60 years and >60 years), oral treatment with the nutraceutical combination resulted in a time-related statistically significant reduction in VAS scores over time (p < 0.01) (Figure 2). We recorded, in both men and women, a statistically significant decrease in VAS scores at each follow-up timepoint (Table 7).

3.3. Effects on Quality of Life

SF-36 questionnaire scores revealed a time-related significant improvement in the quality of life (p < 0.01) (Table 8), without differences with respect to age, sex and BMI.

3.4. Effect on Mood Symptoms

Using both Zung SDS (depression) and Zung SAS (anxiety) scales, we observed a statistically significant and time-dependent improvement in mood disorders (p < 0.01) (Table 9).

3.5. Safety

No ADRs were documented during the study, and all enrolled patients reported high adherence to the treatment. As of December 2025, approximately three months after the final follow-up, no ADRs or drug interactions have been recorded in the study participants.

4. Discussion

In this study, we evaluated the safety and efficacy of a fixed nutraceutical combination in patients with knee OA. Our findings demonstrate that a three-month daily administration of this combination resulted in significant improvements in pain, physical function, and quality of life, without any reported adverse drug reactions.
Knee OA is a chronic, multifactorial disease with limited pharmacological treatment options, which aim to control symptoms rather than modify disease progression. Conventional therapies, including NSAIDs, acetaminophen, and opioids, are often associated with adverse effects, particularly in older adults or individuals with comorbidities, and may be insufficient for sustained symptom relief [13,25,26,27].
Over the past decade, nutraceutical supplementation for OA management has attracted increasing attention due to its potential to alleviate pain, inflammation, oxidative stress, and joint discomfort, while also supporting cartilage metabolism [28].
Recently, in a randomized, double-blind, placebo-controlled trial involving 139 participants with knee OA, Thanawala and colleagues demonstrated that a three-month treatment with curcumin reduced inflammation and improved pain (VAS and KOOS), functional status, and quality of life [29].
In our study, a three-month treatment with a fixed combination of chondroitin sulfate, α-lipoic acid, astaxanthin, lycopene, escin, omega-3 fatty acids (EPA and DHA) significantly improved OA symptoms in patients previously treated with NSAIDs. This suggests potential synergistic effects of the nutraceutical blend, targeting multiple pathogenic mechanisms implicated in OA [30,31,32,33,34,35,36]. Each component exhibits anti-inflammatory and/or antioxidant activity (e.g., α-lipoic acid, lycopene, astaxanthin) [37,38,39]; omega-3 fatty acids modulate inflammatory pathways and support cartilage repair [40], while escin demonstrates glucocorticoid-like anti-inflammatory activity through hyaluronidase inhibition and NF-κB modulation [41,42].
Experimental and clinical data therefore support the biological plausibility of this formulation.
Animal studies indicate that lycopene attenuates IL-1β-induced chondrocyte inflammation by inhibiting NF-κB signaling [37], while clinical evidence suggests that omega-3 supplementation reduces pain and improves function in OA [38]. Although lycopene is not commonly prescribed in OA, it may contribute to symptom improvement via COX-2, Nrf-2, and nitric oxide pathway modulation [43], and lower serum lycopene levels have been associated with greater OA severity [44].
Consistent with this, a cross-sectional study using National Health and Nutrition Examination Survey data demonstrated a relationship between serum carotenoids and osteoarthritis or degenerative arthritis [45].
Escin, widely used in blunt trauma, exhibits strong anti-inflammatory activity mediated through glucocorticoid receptors and NF-κB modulation [41]. However, the anti-inflammatory action of escin in osteoarthritis has been observed only in experimental models. Other authors reported that escin reduced inflammatory cytokine levels and inhibited both COX-2 and NO pathways in experimental models of osteoarthritis [46].
Astaxanthin may confer additional clinical benefits in patients undergoing polypharmacy through hepatoprotective properties, which are particularly relevant in elderly populations. Astaxanthin exerts multiple mechanisms of action that may improve osteoarthritis symptoms and inflammation, including modulation of Nrf-2, NF-κB, and MAPK pathways. Furthermore, it inhibits ferroptosis and promotes mitochondrial protection. Its action on metalloproteinases may also contribute to the overall therapeutic effect [39]. A clinical trial by Hill et al. [47] demonstrated improved clinical scores in 75 patients treated with a formulation containing krill oil, astaxanthin, and oral hyaluronic acid, without increase in adverse events.
Similar findings were reported by Stonehouse and colleagues in a large trial involving 235 OA patients supplemented with krill oil containing astaxanthin and omega-3 fatty acids, which showed statistically significant improvements in pain and physical function [48].
Dietary supplements, including glucosamine and chondroitin, have demonstrated clinical benefits in OA patients [14,15].
Wilson et al. [49] reported that glucosamine and chondroitin are safe therapeutic options for patients with OA; however, careful evaluation of their symptomatic efficacy remains necessary.
Consistent with this, Fladerer-Grollitsch et al. [50] found that a 12-week treatment with a fixed combination containing collagen type II, glucosamine hydrochloride, and chondroitin sulfate improved function and quality of life in patients with mild to moderate knee pain.
In agreement with these data, our formulation produced time-dependent improvements in pain, KOOSs, and quality of life. Moreover, using the Zung depression and anxiety questionnaires, we observed reductions in mood symptoms, suggesting an indirect relationship between pain reduction and psychological well-being. A recent systematic review and meta-analysis by Panigrahi et al. [51] highlighted that depression and elevated pain levels contribute substantially to sleep disturbances in knee OA.
Finally, Aghamohammadi et al. [52], reviewing literature data, reported that nutraceuticals, when combined with symptomatic treatments (NSAIDs, COX-2 inhibitors, and analgesics), can improve pain and physical function in knee OA patients. The greatest benefits were seen with 10–20 months of supplementation, especially in those with mild to severe OA.
Importantly, our three-month regimen improved mild-to-moderate symptoms without adverse drug reactions, despite concomitant medications for comorbid conditions. This favorable safety profile was reinforced by monthly monitoring and the use of the Naranjo scale.
Omega-3 fatty acids are generally associated with cardiovascular benefit and anti-inflammatory effects, although higher doses have been linked to increased atrial fibrillation risk [53,54,55].
Escin, astaxanthin, and omega-3 fatty acids may also increase bleeding risk, particularly in patients receiving antiplatelet or anticoagulant therapy, underscoring the need for vigilance and further investigation [56,57,58].
From a clinical standpoint, these findings suggest that a fixed nutraceutical combination targeting multiple pathophysiologic pathways may provide meaningful symptomatic benefit in patients with knee OA, particularly those with persistent discomfort despite conventional therapy or those at increased risk of NSAID-related adverse events. The early onset of improvement, coupled with sustained benefit over three months and the absence of reported adverse drug reactions, supports its potential role as an adjunctive treatment rather than a replacement for standard care.
Importantly, the favorable tolerability profile observed in patients with polypharmacy is clinically relevant, given that multimorbidity is common among individuals with OA. The observed improvements in mood and quality of life underscore the broader impact of pain modulation on psychological well-being, highlighting the value of therapeutic strategies that address both symptom burden and patient-reported outcomes.
In practice, such a nutraceutical strategy may be considered for patients seeking conservative, non-pharmacologic options, for those requiring NSAID dose minimization, or as part of a multimodal management plan that includes exercise, weight optimization, and physical therapy. However, clinicians should remain attentive to potential bleeding risks and drug–supplement interactions, particularly in individuals receiving antiplatelet or anticoagulant therapy.
Ultimately, integrating this formulation into clinical care should be guided by individualized risk–benefit assessment and by the recognition that robust, randomized, placebo-controlled data are still needed to define optimal patient selection, dosing duration, and comparative effectiveness versus other adjunctive interventions.
Despite encouraging results, several limitations must be acknowledged. First, the sample size was relatively small, and the observational, open-label design may introduce bias. Second, the absence of placebo control limits causal inference. Third, follow-up was restricted to three months; therefore, long-term efficacy and safety remain uncertain. Fourth, biological markers such as C-reactive protein and cytokines were not measured, limiting mechanistic interpretation. Future randomized, placebo-controlled trials with larger cohorts, extended follow-up, and biomarker assessments are warranted to confirm these findings and further elucidate mechanisms.

5. Conclusions

In conclusion, this pilot study indicates that a three-month supplementation with a fixed combination of chondroitin sulfate, α-lipoic acid, astaxanthin, lycopene, escin, and omega-3 fatty acids in patients with mild-to-moderate knee OA was safe and effective in alleviating pain, improving functional status, and enhancing quality of life and mood, with beneficial effects evident as early as 30 days after initiation. From a clinical perspective, our findings suggest that this nutraceutical combination may represent a valuable adjunct therapy for patients with knee OA who are at risk of NSAID-related adverse effects or who prefer non-pharmacological approaches to improve quality of life. Moreover, the synergistic modulation of multiple pathogenic pathways may provide advantages beyond single-agent supplementation, potentially addressing both symptomatic burden and underlying disease processes.

Author Contributions

Conceptualization, C.V., C.P., D.M.A.-G. and L.G. (Luca Gallelli); Data curation, C.V., V.R., G.M., D.M. and L.M.; Formal analysis, G.M. and L.G. (Laura Gallelli); Investigation, C.V., V.R., G.M., L.G. (Laura Gallelli), L.M. and D.M.A.-G.; Methodology, E.C., M.C.C. and L.G. (Luca Gallelli); Software, G.M.; Supervision, L.G. (Luca Gallelli), E.C.; Writing—original draft, C.V., G.M.; Writing—review and editing, M.C.C., D.M., E.C. and L.G. (Luca Gallelli). All authors have read and agreed to the published version of the manuscript.

Funding

This research received no external funding.

Institutional Review Board Statement

The study was conducted in accordance with the Declaration of Helsinki, and approved by the local Ethics Committee Calabria Centro, protocol number 120/2018, 17 May 2018.

Informed Consent Statement

Informed consent was obtained from all subjects involved in the study.

Data Availability Statement

The original contributions presented in the study are included in the article, further inquiries can be directed at the corresponding author. Data is available if requested.

Conflicts of Interest

Maria Cristina Caroleo, Erika Cione, Luca Gallelli are coworkers in the company Medifarmagen SRL that is a Spin off of the University of Catanzaro. All the authors declare that the research was conducted in the absence of any commercial or financial relationships that could be construed as a potential conflict of interest.

References

  1. Roemer, F.W.; Guermazi, A.; Demehri, S.; Wirth, W.; Kijowski, R. Imaging in osteoarthritis. Osteoarthr. Cartil. 2022, 30, 913–934. [Google Scholar] [CrossRef]
  2. Abramoff, B.; Caldera, F.E. Osteoarthritis: Pathology, diagnosis, and treatment options. Med. Clin. N. Am. 2020, 104, 293–311. [Google Scholar] [CrossRef] [PubMed]
  3. Sharma, L. Osteoarthritis of the knee. N. Engl. J. Med. 2021, 384, 51–59. [Google Scholar] [CrossRef] [PubMed]
  4. Gallelli, L.; Galasso, O.; Falcone, D.; Southworth, S.; Greco, M.; Ventura, V.; Romualdi, P.; Corigliano, A.; Terracciano, R.; Savino, R.; et al. The effects of nonsteroidal anti-inflammatory drugs on clinical outcomes, synovial fluid cytokine concentration and signal transduction pathways in knee osteoarthritis. a randomized open label trial. Osteoarthr. Cartil. 2013, 21, 1400–1408. [Google Scholar] [CrossRef] [PubMed]
  5. Rania, V.; Vocca, C.; Marcianò, G.; Caroleo, M.C.; Muraca, L.; Toraldo, E.; Greco, F.; Palleria, C.; Emerenziani, G.P.; Gallelli, L. Comparative efficacy and safety of two different formulations of linear hyaluronic acid in patients with knee osteoarthritis. Pharmaceuticals 2025, 18, 1065. [Google Scholar] [CrossRef]
  6. Rania, V.; Marcianò, G.; Vocca, C.; Palleria, C.; Bianco, L.; Caroleo, M.C.; Gallelli, L. Efficacy and safety of intra-articular therapy with cross-linked hyaluronic acid in patients with knee osteoarthritis. Pharmaceuticals 2025, 18, 302. [Google Scholar] [CrossRef]
  7. Kucharz, E.J.; Szántó, S.; Ivanova Goycheva, M.; Petronijević, M.; Šimnovec, K.; Domżalski, M.; Gallelli, L.; Kamenov, Z.; Konstantynowicz, J.; Radunović, G.; et al. Endorsement by central european experts of the revised ESCEO algorithm for the management of knee osteoarthritis. Rheumatol. Int. 2019, 39, 1117–1123. [Google Scholar] [CrossRef]
  8. Vocca, C.; Siniscalchi, A.; Rania, V.; Galati, C.; Marcianò, G.; Palleria, C.; Catarisano, L.; Gareri, I.; Leuzzi, M.; Muraca, L.; et al. The risk of drug interactions in older primary care patients after hospital discharge: The role of drug reconciliation. Geriatrics 2023, 8, 112. [Google Scholar] [CrossRef]
  9. Marcianò, G.; Vocca, C.; Evangelista, M.; Palleria, C.; Muraca, L.; Galati, C.; Monea, F.; Sportiello, L.; De Sarro, G.; Capuano, A.; et al. The pharmacological treatment of chronic pain: From guidelines to daily clinical practice. Pharmaceutics 2023, 15, 1165. [Google Scholar] [CrossRef]
  10. Oo, W.M.; Little, C.; Duong, V.; Hunter, D.J. The development of disease-modifying therapies for osteoarthritis (DMOADs): The evidence to date. Drug Des. Dev. Ther. 2021, 15, 2921–2945. [Google Scholar] [CrossRef]
  11. Esposito, R.; Mirra, D.; Spaziano, G.; Panico, F.; Gallelli, L.; D’Agostino, B. The role of MMPs in the era of CFTR modulators: An additional target for cystic fibrosis patients? Biomolecules 2023, 13, 350. [Google Scholar] [CrossRef] [PubMed]
  12. Kim, E.H.; Jeon, S.; Park, J.; Ryu, J.H.; Mobasheri, A.; Matta, C.; Jin, E.J. Progressing future osteoarthritis treatment toward precision medicine: Integrating regenerative medicine, gene therapy and circadian biology. Exp. Mol. Med. 2025, 57, 1133–1142. [Google Scholar] [CrossRef] [PubMed]
  13. Brophy, R.H.; Fillingham, Y.A. AAOS clinical practice guideline summary: Management of osteoarthritis of the knee (nonarthroplasty), Third Edition. J. Am. Acad. Orthop. Surg. 2022, 30, e721–e729. [Google Scholar] [CrossRef] [PubMed]
  14. Liu, X.; Eyles, J.; McLachlan, A.J.; Mobasheri, A. Which supplements can i recommend to my osteoarthritis patients? Rheumatology 2018, 57, iv75–iv87. [Google Scholar] [CrossRef]
  15. Liu, X.; Machado, G.C.; Eyles, J.P.; Ravi, V.; Hunter, D.J. Dietary supplements for treating osteoarthritis: A systematic review and meta-analysis. Br. J. Sports Med. 2018, 52, 167–175. [Google Scholar] [CrossRef]
  16. Salehi, B.; Berkay Yılmaz, Y.; Antika, G.; Boyunegmez Tumer, T.; Fawzi Mahomoodally, M.; Lobine, D.; Akram, M.; Riaz, M.; Capanoglu, E.; Sharopov, F.; et al. Insights on the use of α-lipoic acid for therapeutic purposes. Biomolecules 2019, 9, 356. [Google Scholar] [CrossRef]
  17. Apolone, G.; Mosconi, P. The Italian SF-36 Health Survey. J. Clin. Epidemiol. 1998, 51, 1025–1036. [Google Scholar] [CrossRef]
  18. Laucis, N.C.; Hays, R.D.; Bhattacharyya, T. Scoring the SF-36 in orthopaedics: A brief guide. J. Bone Jt. Surg. Am. 2015, 97, 1628–1634. [Google Scholar] [CrossRef]
  19. Dunstan, D.A.; Scott, N. Norms for Zung’s Self-Rating Anxiety Scale. BMC Psychiatry 2020, 20, 90. [Google Scholar] [CrossRef]
  20. Dunstan, D.A.; Scott, N. Clarification of the cut-off score for Zung’ s Self-Rating Depression Scale. BMC Psychiatry 2019, 19, 177. [Google Scholar] [CrossRef]
  21. Rawat, B.P.S.; Jagannatha, A.; Liu, F.; Yu, H. Inferring ADR causality by predicting the Naranjo score from clinical notes. AMIA Annu. Symp. Proc. 2020, 2020, 1041–1049. [Google Scholar]
  22. Naranjo, C.A.; Busto, U.; Sellers, E.M.; Sandor, P.; Ruiz, I.; Roberts, E.A.; Janecek, E.; Domecq, C.; Greenblatt, D.J. A method for estimating the probability of adverse drug reactions. Clin. Pharmacol. Ther. 1981, 30, 239–245. [Google Scholar] [CrossRef]
  23. Vaquero, J.; Longo, U.G.; Forriol, F.; Martinelli, N.; Vethencourt, R.; Denaro, V. Reliability, validity and responsiveness of the Spanish version of the Knee Injury and Osteoarthritis Outcome Score (KOOS) in patients with chondral lesion of the knee. Knee Surg. Sports Traumatol. Arthrosc. 2014, 22, 104–108. [Google Scholar] [CrossRef]
  24. Zasadzka, E.; Borowicz, A.M.; Roszak, M.; Pawlaczyk, M. Assessment of the risk of falling with the use of timed up and go test in the elderly with lower extremity osteoarthritis. Clin. Interv. Aging 2015, 10, 1289–1298. [Google Scholar] [CrossRef] [PubMed]
  25. Bannuru, R.R.; Osani, M.C.; Vaysbrot, E.E.; Arden, N.K.; Bennell, K.; Bierma-Zeinstra, S.M.A.; Kraus, V.B.; Lohmander, L.S.; Abbott, J.H.; Bhandari, M.; et al. OARSI Guidelines for the Non-Surgical Management of Knee, Hip, and Polyarticular Osteoarthritis. Osteoarthr. Cartil. 2019, 27, 1578–1589. [Google Scholar] [CrossRef] [PubMed]
  26. Kolasinski, S.L.; Neogi, T.; Hochberg, M.C.; Oatis, C.; Guyatt, G.; Block, J.; Callahan, L.; Copenhaver, C.; Dodge, C.; Felson, D.; et al. 2019 American College of Rheumatology/Arthritis Foundation Guideline for the Management of Osteoarthritis of the Hand, Hip, and Knee. Arthritis Care Res. 2020, 72, 149–162. [Google Scholar] [CrossRef] [PubMed]
  27. Bruyère, O.; Honvo, G.; Veronese, N.; Arden, N.K.; Branco, J.; Curtis, E.M.; Al-Daghri, N.M.; Herrero-Beaumont, G.; Martel-Pelletier, J.; Pelletier, J.-P.; et al. An Updated Algorithm Recommendation for the Management of Knee Osteoarthritis from the European Society for Clinical and Economic Aspects of Osteoporosis, Osteoarthritis and Musculoskeletal Diseases (ESCEO). Semin. Arthritis Rheum. 2019, 49, 337–350. [Google Scholar] [CrossRef]
  28. Colletti, A.; Cicero, A.F.G. Nutraceutical approach to chronic osteoarthritis: From molecular research to clinical evidence. Int. J. Mol. Sci. 2021, 22, 12920. [Google Scholar] [CrossRef]
  29. Thanawala, S.; Shah, R.; Alluri, V.K.; Bhupathiraju, K.; Prasad, N.; Agarwal, Y. Efficacy and Safety of a Novel Low-Dose Water-Dispersible Turmeric Extract in the Management of Knee Osteoarthritis: A Randomized, Double-Blind, Placebo-Controlled Clinical Trial. J. Pain Res. 2025, 18, 411–427. [Google Scholar] [CrossRef]
  30. Sebastiani, F.; Alterio, C.D.; Vocca, C.; Gallelli, L.; Palumbo, F.; Cai, T.; Palmieri, A. Effectiveness of Silymarin, Sulforaphane, Lycopene, Green Tea, Tryptophan, Glutathione, and Escin on Human Health: A Narrative Review. Uro 2023, 3, 208–228. [Google Scholar] [CrossRef]
  31. Silva, A.N.A.; Nunes, G.P.; Domingues, D.V.A.d.P.; Toninatto Alves De Toledo, P.; Akinsomisoye, O.S.; Florencio-Silva, R.; Cerri, P.S. Effects of Lycopene Supplementation on Bone Tissue: A Systematic Review of Clinical and Preclinical Evidence. Pharmaceuticals 2025, 18, 1172. [Google Scholar] [CrossRef]
  32. Hajizadeh-Sharafabad, F.; Zahabi, E.S.; Malekahmadi, M.; Zarrin, R.; Alizadeh, M. Carotenoids supplementation and inflammation: A systematic review and meta-analysis of randomized clinical trials. Crit. Rev. Food. Sci. Nutr. 2022, 62, 8161–8177. [Google Scholar] [CrossRef] [PubMed]
  33. Lv, M.; Zhang, W.; Qian, J. Therapeutic effect of α-lipoic acid on osteoarthritis patients and its influence on TLR 4/NF-κB and IL-23/IL-17 signaling pathway. Int. J. Clin. Exp. Med. 2019, 12, 1234–1241. [Google Scholar]
  34. Davan, I.; Fakurazi, S.; Alias, E.; Ibrahim, N.‘I.; Hwei, N.M.; Hassan, H. Astaxanthin as a Potent Antioxidant for Promoting Bone Health: An Up-to-Date Review. Antioxidants 2023, 12, 1480. [Google Scholar] [CrossRef] [PubMed]
  35. Cordingley, D.M.; Cornish, S.M. Omega-3 Fatty Acids for the Management of Osteoarthritis: A Narrative Review. Nutrients 2022, 14, 3362. [Google Scholar] [CrossRef]
  36. Clegg, D.O.; Reda, D.J.; Harris, C.L.; Klein, M.A.; O’Dell, J.R.; Hooper, M.M.; Bradley, J.D.; Bingham, C.O., III; Weisman, M.H.; Jackson, C.G.; et al. Glucosamine, chondroitin sulfate, and the two in combination for painful knee osteoarthritis. N. Engl. J. Med. 2006, 354, 795–808. [Google Scholar] [CrossRef]
  37. Zhan, J.; Yan, Z.; Kong, X.; Liu, J.; Lin, Z.; Qi, W.; Wu, Y.; Lin, J.; Pan, X.; Xue, X. Lycopene Inhibits IL-1β-induced Inflammation in Mouse Chondrocytes and Mediates Murine Osteoarthritis. J. Cell Mol. Med. 2021, 25, 3573–3584. [Google Scholar] [CrossRef]
  38. Martínez-García, R.M.; Ruiz Martínez, P.; Jiménez-Ortega, A.I.; Del Carmen Lozano-Estevan, M. Nutritional Guidelines for the Improvement of Patients with Osteoarthritis. Nutr. Hosp. 2025, 42, 68–71. [Google Scholar] [CrossRef]
  39. Chen, W.-P.; Xiong, Y.; Shi, Y.-X.; Hu, P.-F.; Bao, J.-P.; Wu, L.-D. Astaxanthin Reduces Matrix Metalloproteinase Expression in Human Chondrocytes. Int. Immunopharmacol. 2014, 19, 174–177. [Google Scholar] [CrossRef]
  40. Mao, H.; Lu, G.; Zheng, L.; Zhuang, M.; Liang, L.; Zhou, S.; Li, J.; Sun, X.; Liu, Y.; Ma, M.; et al. The Research Progress and Potential Applications of Omega-3 Fatty Acids in Orthopedics: A Narrative Review. Br. J. Nutr. 2025, 134, 57–69. [Google Scholar] [CrossRef]
  41. Gallelli, L.; Cione, E.; Wang, T.; Zhang, L. Glucocorticoid-Like Activity of Escin: A New Mechanism for an Old Drug. Drug Des. Devel Ther. 2021, 15, 699–704. [Google Scholar] [CrossRef] [PubMed]
  42. Marcianò, G.; Vocca, C.; Dıraçoglu, D.; Özda, R.; Gallelli, L. Escin’ s Action on Bradykinin Pathway: Advantageous Clinical Properties for an Unknown Mechanism? Antioxidants 2024, 13, 1130. [Google Scholar] [CrossRef] [PubMed]
  43. Marcianò, G.; Rania, V.; Vocca, C.; Palleria, C.; Crudo, M.; Evangelista, M.; Abrego-Guandique, D.M.; Caroleo, M.C.; Gallelli, L.; Srěcec, S. The Role and Safety of Plant-Derived Nutraceuticals as Adjuvant Treatments for Pain Management: A Narrative Review. Nutraceuticals 2025, 5, 38. [Google Scholar] [CrossRef]
  44. Eftekharsadat, B.; Aghamohammadi, D.; Dolatkhah, N.; Hashemian, M.; Salami, H. Lower serum levels of alpha tocopherol and lycopene are associated with higher pain and physical disability in subjects with primary knee osteoarthritis: A case-control study. Int. J. Vitam. Nutr. Res. 2021, 91, 304–314. [Google Scholar] [CrossRef]
  45. Zhu, B.; Li, G.; Wu, K.; Luo, Q.; Wu, X. Relationship between serum carotenoids and osteoarthritis or degenerative arthritis: A cross-sectional study using the National Health and Nutrition Examination Survey. Nutr. J. 2025, 24, 25. [Google Scholar] [CrossRef]
  46. Maghsoudi, H.; Hallajzadeh, J.; Rezaeipour, M. Evaluation of the effect of polyphenol of escin compared with ibuprofen and dexamethasone in synoviocyte model for osteoarthritis: An in vitro study. Clin. Rheumatol. 2018, 37, 2471–2478. [Google Scholar] [CrossRef]
  47. Hill, W.S.; Dohnalek, M.H.; Ha, Y.; Kim, S.-J.; Jung, J.-C.; Kang, S.-B. A Multicenter, Randomized, Double-Blinded, Placebo-Controlled Clinical Trial to Evaluate the Efficacy and Safety of a Krill Oil, Astaxanthin, and Oral Hyaluronic Acid Complex on Joint Health in People with Mild Osteoarthritis. Nutrients 2023, 15, 3769. [Google Scholar] [CrossRef]
  48. Stonehouse, W.; Benassi-Evans, B.; Bednarz, J.; Vincent, A.D.; Hall, S.; Hill, C.L. Krill oil improved osteoarthritic knee pain in adults with mild to moderate knee osteoarthritis: A 6-month multicenter, randomized, double-blind, placebo-controlled trial. Am. J. Clin. Nutr. 2022, 116, 672–685. [Google Scholar] [CrossRef]
  49. Wilson, N.; Sanchez-Riera, L.; Morros, R.; Diez-Perez, A.; Javaid, M.K.; Cooper, C.; Arden, N.K.; Prieto-Alhambra, D. Drug Utilization in Patients with OA: A Population-Based Study. Rheumatology 2015, 54, 860–867. [Google Scholar] [CrossRef][Green Version]
  50. Fladerer-Grollitsch, J.-P.; Klein, T.; Kompek, A.; Steiner, N.; Menzel, D.; Schön, C. Effects of cartilage-supporting nutritional supplementation on knee osteoarthritis symptoms and quality of life in a 12-week randomized double-blind placebo-controlled pilot study. Sci. Rep. 2025, 15, 25625. [Google Scholar] [CrossRef]
  51. Panigrahi, A.; Sahu, P.; Mohanty, S.S.; Dandsena, R.S.; Sahani, J.I.; Pati, S. Sleep disturbances and sleep quality among individuals diagnosed with osteoarthritis: A systematic review and meta-analysis. Front. Med. 2025, 12, 1653047. [Google Scholar] [CrossRef] [PubMed]
  52. Aghamohammadi, D.; Dolatkhah, N.; Bakhtiari, F.; Eslamian, F.; Hashemian, M. Nutraceutical supplements in management of pain and disability in osteoarthritis: A systematic review and meta-analysis of randomized clinical trials. Sci. Rep. 2020, 10, 20892. [Google Scholar] [CrossRef] [PubMed]
  53. Khan, S.U.; Lone, A.N.; Khan, M.S.; Virani, S.S.; Blumenthal, R.S.; Nasir, K.; Miller, M.; Michos, E.D.; Ballantyne, C.M.; Boden, W.E.; et al. Effect of omega-3 fatty acids on cardiovascular outcomes: A systematic review and meta-analysis. eClinicalMedicine 2021, 38, 100997. [Google Scholar] [CrossRef] [PubMed]
  54. Marcus, M.D.; Link, M.S. Omega-3 Fatty Acids and Arrhythmias. Circulation 2024, 150, 488–503. [Google Scholar] [CrossRef]
  55. O’Keefe, E.L.; O’Keefe, J.H.; Abuissa, H.; Metzinger, M.; Murray, E.; Franco, G.; Lavie, C.J.; Harris, W.S. Omega-3 and Risk of atrial fibrillation: Vagally-mediated double-edged sword. Prog. Cardiovasc. Dis. 2025, 91, 3–9. [Google Scholar] [CrossRef]
  56. Santiyanon, N.; Yeephu, S. Interaction between warfarin and astaxanthin: A case report. J. Cardiol. Cases. 2019, 19, 173–175. [Google Scholar] [CrossRef]
  57. Javaid, M.; Kadhim, K.; Bawamia, B.; Cartlidge, T.; Farag, M.; Alkhalil, M. Bleeding Risk in Patients Receiving Omega-3 Polyunsaturated Fatty Acids: A Systematic Review and Meta-Analysis of Randomized Clinical Trials. J. Am. Heart Assoc. 2024, 13, e032390. [Google Scholar] [CrossRef]
  58. Stenton, S.B.; Bungard, T.J.; Ackman, M.L. Interactions between warfarin and herbal products, minerals, and vitamins: A pharmacist’s guide. Can. J. Hosp. Pharm. 2001, 54, 186–192. [Google Scholar]
Figure 1. STROBE flow chart. STROBE, Strengthening the Reporting of Observational Studies in Epidemiology.
Figure 1. STROBE flow chart. STROBE, Strengthening the Reporting of Observational Studies in Epidemiology.
Nutraceuticals 06 00011 g001
Figure 2. Time-dependent effect of nutraceutical treatment (T1: 1 month, T2: 2 months, T3: 3 months, after the beginning of fixed oral nutraceutical administration) on pain perception (evaluated through the Visual Analogue Scale, VAS) in enrolled men and women ((A) 20–60 years; (B) >60 years) with chronic knee OA. * p < 0.01 vs. T0; § p < 0.01 vs. T1; # p < 0.01 vs. T2 for both men and women.
Figure 2. Time-dependent effect of nutraceutical treatment (T1: 1 month, T2: 2 months, T3: 3 months, after the beginning of fixed oral nutraceutical administration) on pain perception (evaluated through the Visual Analogue Scale, VAS) in enrolled men and women ((A) 20–60 years; (B) >60 years) with chronic knee OA. * p < 0.01 vs. T0; § p < 0.01 vs. T1; # p < 0.01 vs. T2 for both men and women.
Nutraceuticals 06 00011 g002
Table 1. Active compounds and their dosage in each tablet of the new nutraceutical formulation.
Table 1. Active compounds and their dosage in each tablet of the new nutraceutical formulation.
Active CompoundDosage (Per Capsule)
chondroitin sulfate500 mg
alpha lipoic acid400 mg
Astaxanthin5 mg
Lycopene7 mg
Escin15 mg
omega 353 mg
eicosapentaenoic acid212.2 mg
docosahexaenoic acid10.6 mg
Table 2. Demographic characteristics of the population with knee osteoarthritis (n = 50). Data are expressed as the mean ± standard deviation for continuous variables and numbers for categorical variables.
Table 2. Demographic characteristics of the population with knee osteoarthritis (n = 50). Data are expressed as the mean ± standard deviation for continuous variables and numbers for categorical variables.
CharacteristicsDataWomenMen
Sex (n)503020
Sex (%) 6040
Age (years)63.6 ± 11.463.1 ± 12.164.3 ± 10.7
Body max index (kg/m2)26.9 ± 3.727.1 ± 3.926.3 ± 3.5
Comorbidity
Diabetes Mellitus Type 2 (n)74 3
Diabetes Mellitus Type 2 (%)1457.142.9
Blood Hypertension (n)301713
Blood Hypertension (%)6056.743.3
Osteoporosis (n)633
Osteoporosis (%)125050
Table 3. Typical and atypical non-steroidal anti-inflammatory drugs used before the enrollment. Data are expressed as both numbers and percentages for all patients enrolled in this study (n: 50). Student’s t-test was used for statistical evaluation. ** p < 0.01.
Table 3. Typical and atypical non-steroidal anti-inflammatory drugs used before the enrollment. Data are expressed as both numbers and percentages for all patients enrolled in this study (n: 50). Student’s t-test was used for statistical evaluation. ** p < 0.01.
Women (n = 30)Men (n = 20)
NumberPercentageNumberPercentage
Ibuprofen826.6630
Ketoprofen26.72 **10
Diclofenac723.3525
Celecoxib5 **16.7210
Etoricoxib310210
Acetaminophen516.7315
Table 4. Clinical and functional scales change at admission (T0) and during the follow-up period (T1: 1 month, T2: 2 months, T3: 3 months) after the beginning of fixed oral nutraceutical administration in patients with knee OA. Data are expressed as the median (interquartile range). KOOS: Knee Injury and Osteoarthritis Outcome Score; VAS: Visual Analogue Scale.
Table 4. Clinical and functional scales change at admission (T0) and during the follow-up period (T1: 1 month, T2: 2 months, T3: 3 months) after the beginning of fixed oral nutraceutical administration in patients with knee OA. Data are expressed as the median (interquartile range). KOOS: Knee Injury and Osteoarthritis Outcome Score; VAS: Visual Analogue Scale.
T0T1T2T3
KOOS41.5 ± 8.752.3 ± 9.663.1 ± 12.678.37 ± 20.54
VAS7.5 ± 0.64.6 ± 1.13.6 ± 1.32.4 ± 1.6
Six minutes Walking test (m)381 ± 125452 ± 125512 ± 136585 ± 134
Timed Up and Go test (s)7.3 ± 2.16.2 ± 1.85.35 ± 1.84.68 ± 2.1
Table 5. Statistical evaluation of both clinical and functional scales changes at admission (T0) and during the follow-up period (T1: 1 month, T2: 2 months, T3: 3 months) after the beginning of fixed oral nutraceutical administration in patients with knee OA. KOOS: Knee Injury and Osteoarthritis Outcome Score; VAS: Visual Analogue Scale.
Table 5. Statistical evaluation of both clinical and functional scales changes at admission (T0) and during the follow-up period (T1: 1 month, T2: 2 months, T3: 3 months) after the beginning of fixed oral nutraceutical administration in patients with knee OA. KOOS: Knee Injury and Osteoarthritis Outcome Score; VAS: Visual Analogue Scale.
T1 vs. T0T2 vs. T0T3 vs. T0T2 vs. T1T3 vs. T2T3 vs. T1
KOOS0.0000.0000.0000.0000.0000.000
VAS0.0000.0000.0000.0000.0000.000
Six minutes Walking test (m)0.0000.0000.0000.023760.0080870.000
Timed Up and Go test (s)0.0000.0000.0000.02020.08990.000
Table 6. Pearson’s correlation in enrolled patients with respect to sex, age, body mass index (BMI) and pain.
Table 6. Pearson’s correlation in enrolled patients with respect to sex, age, body mass index (BMI) and pain.
Age vs. BMIAge vs. PainBMI vs. Pain
WomenPearson’s correlation0.349−0.242−0.277
Sig0.0740.243−0.200
MenPearson’s correlation0.2790.012−0.088
Sig.0.2630.9620.713
Table 7. Statistical evaluation of Visual Analogue Scale (VAS) score at admission (T0) and during the follow-up period (T1: 1 month, T2: 2 months, T3: 3 months) after the beginning of fixed oral nutraceutical administration in men and women (20–60 years and >60 years) with knee OA.
Table 7. Statistical evaluation of Visual Analogue Scale (VAS) score at admission (T0) and during the follow-up period (T1: 1 month, T2: 2 months, T3: 3 months) after the beginning of fixed oral nutraceutical administration in men and women (20–60 years and >60 years) with knee OA.
20–60 Years>60 Years
p ValuesMenWomenMenWomen
T0 vs. T10.0000.0000.0000.000
T0 vs. T20.0000.0000.0000.000
T0 vs. T30.0000.0000.0000.000
T1 vs. T20.0000.0000.0000.000
T1 vs. T30.0000.0000.0000.000
T2 vs. T30.0000.00110.0000.000
Table 8. Short Form Health Survey (SF) 36 recorded in enrolled patients with knee osteoarthritis (n: 50) at admission (T0) and during the follow-up period (T1: 1 month; T2: 2 months; T3: 3 months) treated with a fixed combination of oral nutraceuticals. Data are expressed as the mean ± standard deviation.
Table 8. Short Form Health Survey (SF) 36 recorded in enrolled patients with knee osteoarthritis (n: 50) at admission (T0) and during the follow-up period (T1: 1 month; T2: 2 months; T3: 3 months) treated with a fixed combination of oral nutraceuticals. Data are expressed as the mean ± standard deviation.
Follow-Upsp Values
T0T1T2T3T0 vs. T1T0 vs. T2T0 vs. T3T1 vs. T2T1 vs. T3T2 vs. T3
Physical functioning50.65 ± 5.859.35 ± 5.365.23 ± 6.8970.65 ± 6.640.0000.0000.0000.0000.0000.000
Role limitations due to physical health49.06 ± 10.2256.4 ± 7.6661.36 ± 9.8364.78 ± 4.410.0000.0000.0000.0060.0000.000
Role limitations due to emotional problems46.46 ± 7.6952.63 ± 5.1558.18 ± 6.9261.84 ± 7.170.0000.0000.0000.0000.0000.011
Energy/fatigue46.74 ± 6.6150.42 ± 4.2251.21 ± 3.8553.58 ± 7.420.0010.0000.0000.0000.0000.040
Emotional well-being47.12 ± 5.3250.62 ± 4.8153.45 ± 5.2556.21 ± 6.640.0000.0000.0000.0060.0000.023
Social functioning40.5 ± 4.9649.2 ± 6.2555.7 ± 8.1564.67 ± 12.040.0000.0000.0000.0000.0000.000
Pain27.23 ± 5.0342.25 ± 4.7652.43 ± 8.8158.37 ± 12.080.0000.0000.0000.0000.0000.006
General health32.71 ± 8.8246.11 ± 7.755.83 ± 8.261.63 ± 11.130.0000.0000.0000.0000.0000.004
Health change33.69 ± 8.4146.86 ± 10.5754.22 ± 9.2662.82 ± 12.360.0000.0000.0000.0000.0000.000
Table 9. Zung depression and anxiety scales recorded in enrolled patients with knee osteoarthritis (n: 50) at admission (T0) and during the follow-up period (T1: 1 month; T2: 2 months; T3: 3 months) treated with oral nutraceuticals. Data are expressed as the mean ± standard deviation.
Table 9. Zung depression and anxiety scales recorded in enrolled patients with knee osteoarthritis (n: 50) at admission (T0) and during the follow-up period (T1: 1 month; T2: 2 months; T3: 3 months) treated with oral nutraceuticals. Data are expressed as the mean ± standard deviation.
Follow-Upsp Values
T0T1T2T3T0 vs. T1T0 vs. T2T0 vs. T3T1 vs. T2T1 vs. T3T2 vs. T3
Depression58.21 ± 8.7552.41 ± 7.1248.22 ± 7.5242.21 ± 7.250.0000.0000.0000.0000.0000.000
Anxiety49.81 ± 9.2242.23 ± 8.1837.55 ± 6.7332.10 ± 7.650.0000.0000.0000.0000.0000.000
Disclaimer/Publisher’s Note: The statements, opinions and data contained in all publications are solely those of the individual author(s) and contributor(s) and not of MDPI and/or the editor(s). MDPI and/or the editor(s) disclaim responsibility for any injury to people or property resulting from any ideas, methods, instructions or products referred to in the content.

Share and Cite

MDPI and ACS Style

Vocca, C.; Rania, V.; Marcianò, G.; Palleria, C.; Muraca, L.; Gallelli, L.; Mirra, D.; Abrego-Guandique, D.M.; Caroleo, M.C.; Cione, E.; et al. The Effectiveness and Safety of a New Nutraceutical in Patients with Knee Osteoarthritis: A Pilot Study. Nutraceuticals 2026, 6, 11. https://doi.org/10.3390/nutraceuticals6010011

AMA Style

Vocca C, Rania V, Marcianò G, Palleria C, Muraca L, Gallelli L, Mirra D, Abrego-Guandique DM, Caroleo MC, Cione E, et al. The Effectiveness and Safety of a New Nutraceutical in Patients with Knee Osteoarthritis: A Pilot Study. Nutraceuticals. 2026; 6(1):11. https://doi.org/10.3390/nutraceuticals6010011

Chicago/Turabian Style

Vocca, Cristina, Vincenzo Rania, Gianmarco Marcianò, Caterina Palleria, Lucia Muraca, Laura Gallelli, Davida Mirra, Diana Marisol Abrego-Guandique, Maria Cristina Caroleo, Erika Cione, and et al. 2026. "The Effectiveness and Safety of a New Nutraceutical in Patients with Knee Osteoarthritis: A Pilot Study" Nutraceuticals 6, no. 1: 11. https://doi.org/10.3390/nutraceuticals6010011

APA Style

Vocca, C., Rania, V., Marcianò, G., Palleria, C., Muraca, L., Gallelli, L., Mirra, D., Abrego-Guandique, D. M., Caroleo, M. C., Cione, E., & Gallelli, L. (2026). The Effectiveness and Safety of a New Nutraceutical in Patients with Knee Osteoarthritis: A Pilot Study. Nutraceuticals, 6(1), 11. https://doi.org/10.3390/nutraceuticals6010011

Article Metrics

Back to TopTop