Cross-sectional Study on the Effects of Socioeconomic Factors on Lead Exposure in Children by Gender in Serpong, Indonesia
Abstract
:1. Introduction
2. Methods
2.1. Subjects
2.2. Collection and Analysis of Blood Samples
2.3. Questionnaire
2.4. Statistical Analysis
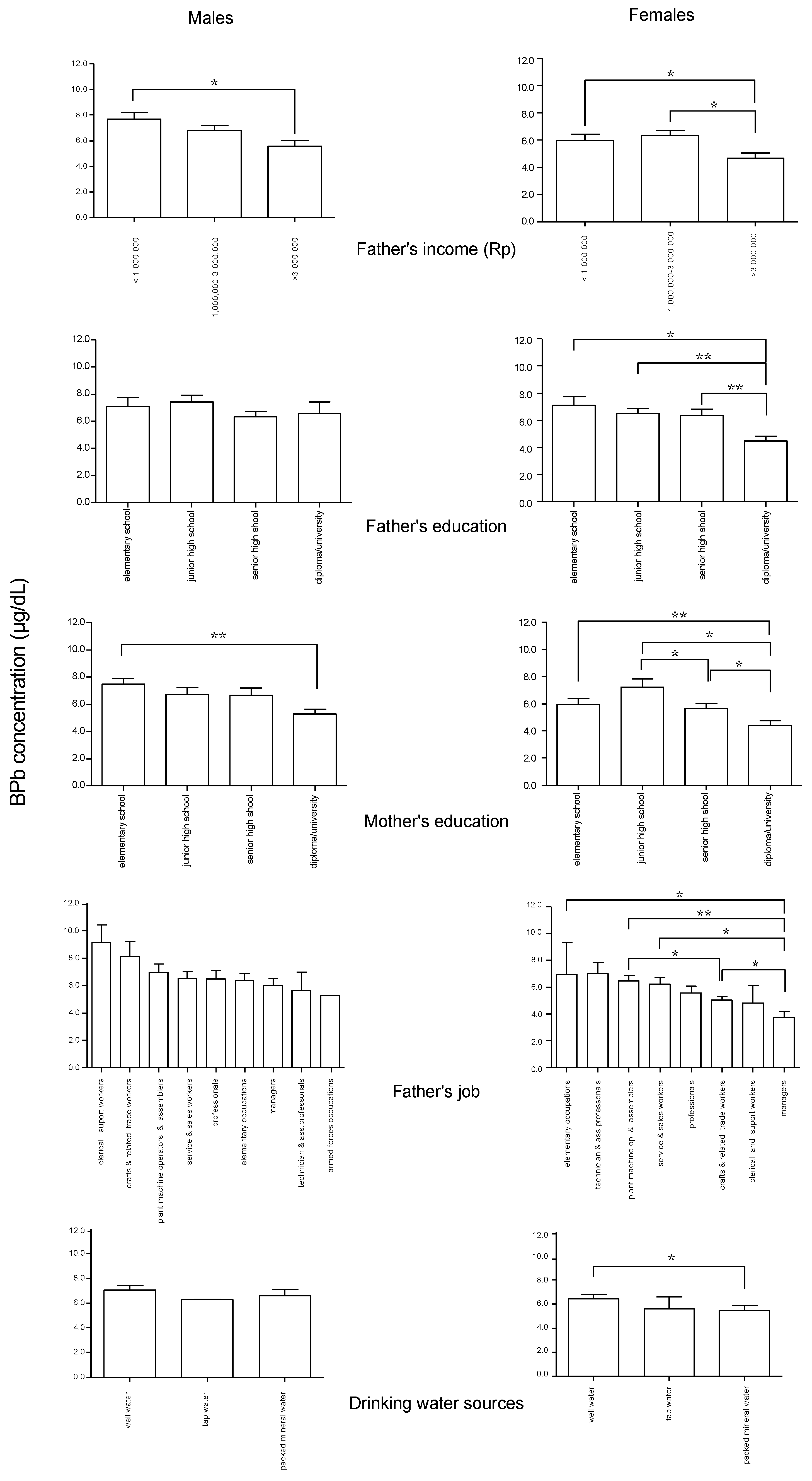
3. Results


| Parent’s characteristics a | Males | Females |
|---|---|---|
| Father’s income | ||
| Low | 25 (86) | 25 (100) * |
| High | 4 (14) | 0 (0) |
| Father’s education | ||
| Low | 14 (48) | 14 (56) |
| High | 15 (52) | 11 (44) |
| Mother’s education | ||
| Low | 22 (76) * | 17 (68) |
| High | 7 (24) | 8 (32) |
| Father’s job | ||
| Unskilled | 25 (86) * | 23 (92) * |
| Skilled | 4 (14) | 2 (8) |
| Standardized regression coefficient | |||
|---|---|---|---|
| Male (n = 56) | Female (n = 52) | Total (n = 108) | |
| Independent variables | |||
| Gender | 0.200 * | ||
| Father’s income (Rupiahs) | −0.013 | 0.122 | 0.157 |
| Father’s education | 0.117 | −0.010 | 0.051 |
| Mother’s education | 0.204 | 0.028 | 0.186 |
| Father’s job | 0.009 | 0.200 | −0.054 |
| Drinking water sources | 0.033 | 0.167 | 0.107 |
| Adjusted R square | 0.173 | 0.064 | 0.177 * |
| Independent Variables | Odds Ratio [95 % Confidence Interval] | |||
|---|---|---|---|---|
| Male (n = 56) | Female (n = 52) | Total (n = 108) | ||
| Gender | ||||
| Female | 1 | |||
| Male | 2.627 [1.139–6.056] * | |||
| Father’s income (Rupiahs) | ||||
| >3,000,000 | 1 | 1 | 1 | |
| 1,000,000–3,000,000 | 1.991 [0.320–12.389] | 2.958 [0.196–44.736] | 2.557 [0.643–10.165] | |
| < 1,000,000 | 6.466 [0.592–70.629] | 1.552 [0.071–34.033] | 3.072 [0.588–16.057] | |
| Father’s education | ||||
| High education | 1 | 1 | 1 | |
| Low education | 1.686 [0.385–7.383] | 1.102 [0.257–4.715] | 1.425 [0.511–3.970] | |
| Mother’s education | ||||
| High education | 1 | 1 | 1 | |
| Low education | 1.730 [0.340–8.812] | 2.435 [0.514–11.538] | 1.926 [0.661–5.610] | |
| Father’s job | ||||
| Skilled | 1 | 1 | 1 | |
| Unskilled | 0.153 [0.024–0.981] | 0.522 [0.081–3.366] | 0.262 [0.075–0.915] * | |
| Drinking water sources | ||||
| Non-well water | 1 | 1 | 1 | |
| Well | 1.806 [0.474–6.887] | 3.491 [0.815–14.953] | 2.515 [0.984–6.427] | |
4. Discussion
5. Conclusions
Acknowledgments
Conflict of Interests
References
- Markowitz, M. Lead poisoning. Pediatr. Rev. 2000, 21, 327–335. [Google Scholar] [CrossRef]
- Bellinger, D.; Leviton, A.; Sloman, J.; Rabinowitz, M.; Needleman, H.L.; Waternaux, C. Low-level lead exposure and children’s cognitive function in the preschool years. Pediatrics 1991, 87, 219–227. [Google Scholar]
- Clarkson, T.W. Metal toxicity in the central nervous system. Environ. Health Perspect. 1987, 75, 59–64. [Google Scholar] [CrossRef]
- Finkelstein, Y.; Markowitz, M.E.; Rosen, J.F. Low-level lead-induced neurotoxicity in children: An update on central nervous system effects. Brain Res. Rev. 1998, 27, 168–176. [Google Scholar] [CrossRef]
- Wasserman, G.A.; Liu, X.; Lolacono, N.J.; Factor-Litvak, P.; Kline, J.K.; Popovac, D.; Morina, N.; Musabegovic, A.; Vrenezi, N.; Capuni-Paracka, S.; et al. Lead exposure and intelligence in 7-year-old children: The Yugoslavia Prospective Study. Environ. Health Perspect. 1997, 105, 956–962. [Google Scholar] [CrossRef]
- Lanphear, B.P.; Hornung, R.; Khoury, J.; Yolton, K.; Baghurst, P.; Bellinger, D.C.; Canfield, R.L.; Dietrich, K.N.; Bornschein, R.; Greene, T.; et al. Low-level environmental lead exposure and children’s intellectual function: An international pooled analysis. Environ. Health Perspect. 2005, 113, 894–899. [Google Scholar]
- Chen, A.; Cai, B.; Dietrich, K.N.; Radcliffe, J.; Rogan, W.J. Lead exposure, IQ, and behavior in urban 5- to 7-year-olds: Does lead affect behavior only by lowering IQ? Pediatrics 2007, 119, e650–e658. [Google Scholar] [CrossRef]
- Hornung, R.W.; Lanphear, B.P.; Dietrich, K.N. Age of greatest susceptibility to childhood lead exposure: A new statistical approach. Environ. Health Perspect. 2009, 117, 1309–1312. [Google Scholar]
- Kordas, K.; Canfield, R.L.; Lopez, P.; Rosado, J.L.; Vargas, G.G.; Cebrian, M.E.; Rico, J.A.; Ronquillo, D.; Stoltzfus, R.J. Deficits in cognitive function and achievement in Mexican first-graders with low blood lead concentrations. Environ. Res. 2006, 100, 371–386. [Google Scholar] [CrossRef]
- Needleman, H. Lead poisoning. Annu. Rev. Med. 2004, 55, 209–222. [Google Scholar] [CrossRef]
- Tong, S.; von Schirnding, Y.E.; Prapamontol, T. Environmental lead exposure: A public health problem of global dimensions. Bull. World Health Organ. 2000, 78, 1068–1077. [Google Scholar]
- Advisory Committee on Childhood Lead Poisoning Prevention of the Centers for Disease Control and Prevention. Low Level Lead Exposure Harms Children: A Renewed Call for Primary Prevention. Available online: http://www.cdc.gov/nceh/lead/ACCLPP/activities.htm (accessed on 30 July 2012).
- Moralez, L.S.; Gutierrez, P.; Escarce, J.J. Demographic and socioeconomic factors associated with blood lead levels among Mexican-American children and adolescents in the United States. Public Health Rep. 2005, 120, 448–454. [Google Scholar]
- Bernard, S.M.; McGeehin, M.A. Prevalence of blood lead levels ≥5 μg/dL among US children 1 to 5 years of age and socioeconomic and demographic factors associated with blood of lead levels 5 to 10 μg/dL, Third National Health and Nutrition Examination Survey, 1988-1994. Pediatrics 2003, 112, 1308–1313. [Google Scholar] [CrossRef]
- Liu, J.; Ai, Y.; McCauley, L.; Pinto-Martin, J.; Yan, C.; Shen, X.; Needleman, H. Blood lead levels and associated sociodemographic factors among preschool children in the South Eastern region of China. Paediatr. Perinat. Epidemiol. 2012, 26, 61–69. [Google Scholar] [CrossRef]
- United States Environmental Protection Agency. Lead Leaching from Submersible Well Pumps: Environmental Fact Sheet. Available online: http://nepis.epa.gov/Exe/ZyNET.exe (accessed on 30 July 2012).
- Jedrychowski, W.; Perera, F.; Jankowski, J.; Mrozek-Budzyn, D.; Mroz, E.; Flak, E.; Edwards, S.; Skarupa, A.; Lisowska-Miszczyk, I. Gender specific differences in neurodevelopmental effects of prenatal exposure to very low-lead levels: The prospective cohort study in three-year olds. Early Hum. Dev. 2009, 85, 503–510. [Google Scholar]
- Rahbar, M.H.; White, F.; Agboatwalla, M.; Hozhabri, S.; Luby, S. Factors associated with elevated blood lead concentrations in children in Karachi, Pakistan. Bull. World Health Organ. 2002, 80, 769–775. [Google Scholar]
- Wang, J.D.; Jang, C.S.; Hwang, Y.H.; Chen, Z.S. Lead contamination around a kindergarten near a battery recycling plant. Bull. Environ. Contam. Toxicol. 1992, 49, 23–30. [Google Scholar]
- Neesanan, N.; Kasemsup, R.; Ratanachuaeg, S.; Kojaranjit, P.; Sakulnoom, K.; Padungtod, C. Preliminary study on assessment of lead exposure in Thai children aged between 3-7 years old who live in Umphang District, Tak Province. J. Med. Assoc. Thai. 2011, 94, 113–120. [Google Scholar]
- Ko, S.; Schaefer, P.D.; Vicario, C.M.; Binns, H.J. Relationships of video assessments of touching and mouthing behaviors during outdoor play in urban residential yards to parental perceptions of child behaviors and blood lead levels. J. Expo. Sci. Environ. Epidemiol. 2006, 17, 47–57. [Google Scholar]
- Santoso, M.; Lestiani, D.; Mukhtar, R.; Hamonangan, E.; Syafrul, H.; Markwitz, A.; Hopke, P. Preliminary study of the sources of ambient air pollution in Serpong, Indonesia. Atmos. Pollut. Res. 2011, 2, 190–196. [Google Scholar] [CrossRef]
- Hirota, K. Review of lead phase out for air quality improvement in the third world cities: Lessons from Thailand and Indonesia. Stud. Reg. Sci. 2006, 36, 527–541. [Google Scholar] [CrossRef]
- Syafrul, H.; Hamonangan, E.; Lestari, R.P.; Mulyaningsih, L.; Rachmawati, E. Pencemaran timbal (Pb) di daerah Serpong Tangerang dan sekitarnya. Ecolab 2007, 1, 12–17. (in Indonesian). [Google Scholar]
- Chiba, M.; Shinohara, A.; Matsushita, K.; Watanabe, H.; Inaba, Y. Indices of lead-exposure in blood and urine of lead-exposed workers and concentrations of major and trace elements and activities of SOD, GSH-Px and catalase in their blood. Tohoku J. Exp. Med. 1996, 178, 49–62. [Google Scholar] [CrossRef]
- Roy, A.; Hu, H.; Bellinger, D.C.; Palaniapan, K.; Wright, R.O.; Schwartz, J.; Balakhrisnan, K. Predictors of blood lead in children in Chennai, India (2005-2006). Int. J. Occup. Environ. Health 2009, 15, 351–359. [Google Scholar] [CrossRef]
- Landrigan, P.J.; Miodovnik, A. Children’s health and the environment: An overview. Mt. Sinai J. Med. 2011, 78, 1–10. [Google Scholar] [CrossRef]
- WHO, Guidelines for Drinking-Water Quality, 4th edWHO: Geneva, Switzerland, 2011; p. 474.
- Bank Data Lingkungan. Kawasan Nuklir Serpong (in Indonesian). Available online: http://www.batan.go.id/datalingkungan/downloadfiles.php (accessed on 30 July 2012).
- Muhajir; Edward; dan Fasmi Ahmad. Akumulasi logam berat Pb, Cd, Cu, Zn, dan Cr dalam sedimen di muara sungai Cisadane, Ciliwung dan Citarum, Teluk Jakarta. J. Sorihi. 2004, 1, 83–98. (in Indonesian).
- Nuwayhid, I.; Nabulsi, M.; Muwakkit, S.; Kouzi, S.; Salem, G.; Mikati, M.; Ariss, M. Blood lead concentrations in 1-3 year old Lebanese children: A cross-sectional study. Environ. Health 2003, 2. [Google Scholar] [CrossRef]
Appendix
| Variable a | Males | Females | Total | |
|---|---|---|---|---|
| Age (year) | 7.1 (0.5, 6.1–7.9) | 6.9 (0.5, 6.0–7.8) | 7.0 (0.5, 6.0–7.9) | |
| Weight (kg) | 21.9 (4.7, 15.0–37.0) | 20.6 (4.8, 11.5–39.0) | 21.3 (4.8, 11.5–39.0) | |
| Height (cm) | 118.6 (5.8, 107–137) | 116.3 (5.2, 105–132) | 117.5 (5.6, 105–137) | |
| Birth weight (g) | 3,060.70 | 3,158.10 | 3,107.60 | |
| (559.7, 1,500–4,300) | (514.9, 1,400–4,500) | (538.3, 1,400–4,500) | ||
| BMI | 21.9 (4.7, 15.0–37.0) | 20.6 (4.8, 11.5–39.0) | 21.3 (4.7, 11.5–39.0) | |
| Birth order | 1.9 (1.2, 1–5) | 1.9 (1.2, 1–7) | 1.9 (1.2, 1–7) | |
| Number of children in family | 2.4 (1.3, 1–6) | 2.4 (1.2, 1–7) | 2.4 (1.2, 1–7) | |
| Milk consumption | 31 (55.4 %) | 29 (55.8 %) | 60 (55.6 %) | |
| Volume (mL) | 200.4 (52.5, 0–1,000) | 222.5 (267.9, 0–900) | 211.02 (259.07, 0–1,000) | |
| Breakfast | ||||
| No | 7 (12.5%) | 6 (11.5%) | 13 (12.0%) | |
| Sometimes | 13 (23.2 %) | 18 (34.6 %) | 31 (28.7 %) | |
| Yes | 36 (64.3 %) | 28 (53.8 %) | 64 (59.3 %) | |
| Breastfeeding history | ||||
| All | 30 (53.6%) | 27 (51.9%) | 57 (52.8%) | |
| Mostly | 10 (17.9%) | 11 (21.2%) | 21 (19.4%) | |
| Partially | 9 (16.1%) | 10 (19.2%) | 19 (17.6%) | |
| None | 7 (12.5%) | 4 (7.7%) | 11 (10.2%) | |
| Variable a | Males | Females | Total |
|---|---|---|---|
| Age (years) | |||
| Father | 39.1 (7.8, 27–65) | 38.6 (7.1, 28–67) | 33.6 (5.8, 24–47) |
| Mother | 33.0 (7.0, 22–54) | 33.6 (5.8, 24–47) | 33.3 (6.4, 22–54) |
| Weight (kg) | |||
| Father | 65.8 (8.6, 45.0–90.0) | 62.6 ( 8.5,45.0–85.0) | 64.3 (8.7, 45.0–90.0) |
| Mother | 55.8 (10.7, 35.0–90.0) | 55.4 (8.1, 37.0–78.0) | 55.6 (9.5, 35.0–90.0) |
| Height (cm) | |||
| Father | 165.9 (6.5, 135.0–170.0) | 166.7 (6.6, 150.0–183.0) | 166.3 (6.6, 135.0–183.0) |
| Mother | 155.3 (5.7, 141.0–170.0) | 154.8 (6.3, 140.0–165.0) | 155.1 (5.9, 140.0–170.0) |
| Father’s income (Rupiahs) | |||
| <1,000,000 | 12 (21.4%) | 11 (21.2%) | 23 (21.3%) |
| 1,000,000–3,000,000 | 35 (62.5%) | 31 (59.6%) | 66 (61.1%) |
| >3,000,000 | 9 (16.1%) | 10 (19.2%) | 19 (17.6%) |
| Education | |||
| Father | |||
| Elementary school | 11 (19.6%) | 8 (15.4%) | 19 (17.6%) |
| Junior high school | 14 (25%) | 9 (17.31%) | 23(21.3%) |
| Senior high school | 22 (39.3%) | 24 (46.2%) | 46 (42.6%) |
| Diploma/University | 9 (16.1%) | 11 (21.2%) | 20 (18.5%) |
| Mother | |||
| Elementary school | 15 (26.5%) | 15 (28.8%) | 30 (27.8%) |
| Junior high school | 18 (32.1%) | 14 (26.9%) | 32 (29.6%) |
| Senior high school | 18 (32.1%) | 14 (26.9%) | 32 (29.6%) |
| Diploma/University | 5 (8.9%) | 9 (17.3%) | 14 (13.0%) |
| Smoking status | |||
| Father | |||
| Smoke at home | 34 (60.7%) | 32 (61.5%) | 66 (61.1%) |
| Smoke but not at home | 4 (7.1%) | 8 (15.4%) | 12 (11.1%) |
| Ex-smoker | 6 (10.7%) | 1 (1.9%) | 7 (6.5%) |
| Never | 12 (21.4%) | 11 (21.2%) | 23 (21.3%) |
| Mother | |||
| Smoke at home | 1 (1.8%) | 1 (1.9%) | 2 (1.9%) |
| Smoke but not at home | 11 (19.6%) | 3 (5.8%) | 14 (13.0%) |
| Ex-smoker | 0 (0.0%) | 3 (5.8%) | 3 (2.8%) |
| Never | 44 (78.6%) | 45 (86.5%) | 89 (82.4%) |
| Number of cigarettes (cigarettes/year) | |||
| Father | 2,990.4 (2,681.9, 12–11,520) | 3,223.3 (3,112, 0–8,760) | 3,101.7 (2,388.6, 12–11,520) |
| Mother | 1,825 (-,1,825) | 1,525 (-,1,525) | 1,675 (212.1, 1,525–1,825) |
| Job | |||
| Father | |||
| Managers | 3 (5.4%) | 3 (5.8%) | 6 (5.6%) |
| Professionals | 8 (14.3%) | 7 (13.5%) | 15 (13.9%) |
| Technicians and associate professionals | 3 (5.4%) | 3 (5.8%) | 6 (5.6%) |
| Clerical and support workers | 2 (3.6%) | 2 (3.8%) | 4 (3.7%) |
| Service and sales workers | 13 (23.2%) | 17 (32.7%) | 30 (27.8%) |
| Craft and related trades workers | 8 (14.3%) | 7 (13.5%) | 15 (13.9%) |
| Plant and machine operators and assemblers | 9 (16.1%) | 6 (11.5%) | 15 (13.9%) |
| Elementary occupations | 9 (16.1%) | 7 (13.5%) | 16 (14.8%) |
| Armed forces occupations | 1 (1.8%) | 0 (0%) | 1 (0.9%) |
| Mother | |||
| Manager | 0 (0.0%) | 1 (1.9%) | 1 (0.9%) |
| Professionals | 2 (3.6%) | 8 (15.4%) | 10 (9.3%) |
| Technician and associate professionals | 0 (0.0%) | 0 (0.0%) | 0 (0.0%) |
| Clerical support workers | 2 (3.6%) | 0 (0.0%) | 2 (1.9%) |
| Service and sales workers | 5 (8.9%) | 7 (13.5%) | 12 (11.1%) |
| Craft and related trades workers | 7 (12.5%) | 9 (17.3%) | 16 (14.8%) |
| Plant and machine operators and assemblers | 0 (0.0%) | 1 (1.9%) | 1 (0.9%) |
| Elementary occupations | 2 (3.6%) | 1 (1.9%) | 3 (2.8%) |
| Armed forces occupations | 0 (0.0%) | 0 (0.0%) | 0 (0.0%) |
| Unemployed | 38 (67.9%) | 25 (48.1%) | 63 (58.3%) |
| Variable a | Males | Females | Total |
|---|---|---|---|
| Distance house to school (m) | 766.8 (678.2,3–3.000) | 993.9 (1.090.3,3–6.000) | 876.1 (903.3,3–6.000) |
| Time length to school (minutes) | 10.9 (8.9, 2–60) | 9.1 (4.7, 2–20) | 10.1 (7.2, 2–60) |
| House near street (m) | 380.5 (10–3,000) | 281.5 (2–1,500) | 332.8 (2–3,000) |
| Transportation to school | |||
| Foot | 24 (42.9%) | 24 (42.9%) | 48 (44.4%) |
| Bus | 3 (5.4%) | 2 (3.6%) | 5 (4.6%) |
| Motorcycle | 23 (41.1%) | 21 (37.5%) | 44 (40.7%) |
| Car | 1 (1.8%) | 4 (7.1%) | 5 (4.6%) |
| Bicycle | 5 (8.9%) | 1 (1.8%) | 6 (5.7%) |
| Drinking water sources | |||
| Well water | 29 (51.8%) | 25 (48.1%) | 54 (50.0%) |
| Tap water | 4 (7.1%) | 3 (5.8%) | 7 (6.5%) |
| Bottled mineral water | 23 (41.1%) | 24 (46.2%) | 47 (43.5%) |
| Home painted | 52 (92.9 %) | 47 (90.4 %) | 99 (91.7 %) |
| Peeled paint at home | 25 (44.6 %) | 26 (50 %) | 51 (47.2 %) |
| Home near factory | 17 (30.4 %) | 19 (36.5 %) | 36 (33.3 %) |
| Plastic toys use | 44 (78.6%) | 39 (75.0%) | 83 (76.9%) |
| Canned food/drink consumption | 26 (46.4%) | 28 (53.8%) | 54 (50.0%) |
| Traditional medicine | 27 (48.2%) | 23 (44.2%) | 50 (46.3%) |
| consumption |
© 2012 by the authors; licensee MDPI, Basel, Switzerland. This article is an open-access article distributed under the terms and conditions of the Creative Commons Attribution license (http://creativecommons.org/licenses/by/3.0/).
Share and Cite
Iriani, D.U.; Matsukawa, T.; Tadjudin, M.K.; Itoh, H.; Yokoyama, K. Cross-sectional Study on the Effects of Socioeconomic Factors on Lead Exposure in Children by Gender in Serpong, Indonesia. Int. J. Environ. Res. Public Health 2012, 9, 4135-4149. https://doi.org/10.3390/ijerph9114135
Iriani DU, Matsukawa T, Tadjudin MK, Itoh H, Yokoyama K. Cross-sectional Study on the Effects of Socioeconomic Factors on Lead Exposure in Children by Gender in Serpong, Indonesia. International Journal of Environmental Research and Public Health. 2012; 9(11):4135-4149. https://doi.org/10.3390/ijerph9114135
Chicago/Turabian StyleIriani, Dewi U., Takehisa Matsukawa, Muhammad K. Tadjudin, Hiroaki Itoh, and Kazuhito Yokoyama. 2012. "Cross-sectional Study on the Effects of Socioeconomic Factors on Lead Exposure in Children by Gender in Serpong, Indonesia" International Journal of Environmental Research and Public Health 9, no. 11: 4135-4149. https://doi.org/10.3390/ijerph9114135
APA StyleIriani, D. U., Matsukawa, T., Tadjudin, M. K., Itoh, H., & Yokoyama, K. (2012). Cross-sectional Study on the Effects of Socioeconomic Factors on Lead Exposure in Children by Gender in Serpong, Indonesia. International Journal of Environmental Research and Public Health, 9(11), 4135-4149. https://doi.org/10.3390/ijerph9114135
