Highly Efficient Arsenic Removal Using a Composite of Ultrafine Magnetite Nanoparticles Interlinked by Silane Coupling Agents
Abstract
:1. Introduction
2. Results and Discussion
2.1. Results
2.1.1. Synthesis and characterization of MNPs and MNPCs

2.1.2. As Adsorption by MNPs under Anaerobic and Aerobic Conditions

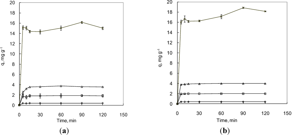
2.1.3. Kinetic Study of MNPs under Anaerobic Conditions

2.1.4. As Adsorption by MNPCs under Aerobic Conditions

2.2. Discussion
| Adsorbent | Size (nm) | pH | SSA (m2·g−1) | qe, max | References | |||
|---|---|---|---|---|---|---|---|---|
| A(III) (mg·g−1) | As(V) (mg·g−1) | As(III) (nm−2) | As(V) (nm−2) | |||||
| MNP | 3.02 ± 0.32 | 8.0 | 65.8 | 168.8 | 206.9 | - | - | This study |
| 108.6 | 138.1 | - | - | This study | ||||
| MNPC | - | 8.0 | - | 157.9 | 165.1 | - | - | This study |
| Maghemite | 6 | 7 | 174 | 172.5 | - | 8.1 | - | [11] |
| Magnetite | 12 | 8.0 | - | - | ~200 ** | - | - | [14] |
| Magnetite | 11.72 | 8.0 | 98.8 * | 114.9 | 172.5 | 9.3 * | 14.0 * | [13] |
| 20 | 8.0 | 60 | 29.2 | 5.9 | 3.8 * | 0.8 * | ||
| 300 | 6.1 | 3.7 | 1.5 | 0.75 | 3.3 * | 1.6 * | ||
| Maghemite | 3.8 ± 0.8 | 7.0 | 203.2 | - | 20.0 | - | 0.04 | [21] |
| 9.0 | 12.5 | - | 0.02 | |||||
| Initial concentration (μg·L−1) | Kads in min−1 (R2) | |
|---|---|---|
| As(III) | As(V) | |
| 10 | 0.222 (0.768) | 0.422 (0.677) |
| 50 | 0.201 (0.721) | 0.400 (0.871) |
| 100 | 0.193 (0.999) | 0.334 (0.839) |
3. Experimental Section
3.1. Synthesis of MNPs
3.2. Characterization of MNPs and MNPCs
3.3. Adsorption and Recovery Experiments
3.4. Kinetic Study
3.5 Sample Digestion
3.6. ICP-MS Analysis
4. Conclusions
Acknowledgments
Conflict of Interest
References and Notes
- Ng, J.C.; Wang, J.; Shraim, A. A global health problem caused by arsenic from natural sources. Chemosphere 2003, 52, 1353–1359. [Google Scholar] [CrossRef]
- ATSDR. Toxicological Profile for Arsenic. Available online: http://www.atsdr.cdc.gov/toxprofiles/tp2-p.pdf (accessed on 20 August 2011).
- Shalat, S.L.; Walker, D.B.; Finnell, R.H. Role of arsenic as a reproductive toxin with particular attention to neural tube defects. J. Toxicol. Environ. Health 1996, 48, 253–271. [Google Scholar] [CrossRef]
- Tseng, W.-P. Effects and dose—Response relationships of skin cancer and blackfoot disease with arsenic. Environ. Health Perspect. 1977, 19, 109–119. [Google Scholar] [CrossRef]
- Chen, C.-J.; Chuang, Y.-C.; Lin, T.-M.; Wu, H.-Y. Malignant neoplasms among residents of a blackfoot disease-endemic area in Taiwan: High-arsenic artesian well water and cancers. Cancer Res. 1985, 45, 5895–5899. [Google Scholar]
- Bhaumik, S.; Purkayastha, M.; Basu, S.; Nag Chaudhuri, A.; Das Gupta, S. Apoptosis and necrosis in developing brain cells due to arsenic toxicity and protection with antioxidants. Toxicol. Lett. 2002, 136, 65–76. [Google Scholar] [CrossRef]
- Ficklin, W.H. Separation of arsenic(III) and arsenic(V) in ground waters by ion-exchange. Talanta 1986, 30, 371–373. [Google Scholar] [CrossRef]
- Ning, R.Y. Arsenic removal by reverse osmosis. Desalination 2002, 143, 237–241. [Google Scholar] [CrossRef]
- Brandhuber, P.; Amy, G. Alternative methods for membrane filtration of arsenic from drinking water. Desalination 1998, 117, 1–10. [Google Scholar] [CrossRef]
- Mohan, D.; Pittman, C.U. Arsenic removal from water/wastewater using adsorbents—A critical review. J. Hazard. Mater. 2007, 142, 1–53. [Google Scholar] [CrossRef]
- Auffan, M.; Rose, J.; Proux, O.; Borschneck, D.; Masion, A.; Chaurand, P.; Hazemann, J.-L.; Chaneac, C.; Jolivet, J.-P.; Wiesner, M.R.; et al. Enhanced adsorption of arsenic onto maghemites nanoparticles: As(III) as a probe of the surface structure and heterogeneity. Langmuir 2008, 24, 3215–3222. [Google Scholar]
- Shipley, H.J.; Yean, S.; Kan, A.T.; Tomson, M.B. Adsorption of arsenic to magnetite nanoparticles: Effect of particle concentration, pH, ionic strength, and temperature. Environ. Toxicol. Chem. 2009, 28, 509–515. [Google Scholar] [CrossRef]
- Yean, S.; Cong, L.; Yavuz, C.T.; Mayo, J.T.; Yu, W.W.; Kan, A.T.; Colvin, V.L.; Tomson, M.B. Effect of magnetite particle size on adsorption and desorption of arsenite and arsenate. J. Mater. Res. 2005, 20, 3255–3264. [Google Scholar] [CrossRef]
- Yavuz, C.T.; Mayo, J.T.; Yu, W.W.; Prakash, A.; Falkner, J.C.; Yean, S.; Cong, L.; Shipley, H.J.; Kan, A.; Tomson, M.; et al. Low-field magnetic separation of monodisperse Fe3O4 nanocrystals. Science 2006, 314, 964–967. [Google Scholar]
- Pisanic, T.R.; Blackwell, J.D.; Shubayev, V.I.; Fiñones, R.R.; Jin, S. Nanotoxicity of iron oxide nanoparticle internalization in growing neurons. Biomaterials 2007, 28, 2572–2581. [Google Scholar]
- Elias, A.; Tsourkas, A. Imaging circulating cells and lymphoid tissues with iron oxide nanoparticles. Hematol. Am. Soc. Hematol. Educ. Program. 2009, 184, 5935–5945. [Google Scholar]
- Shipley, H.; Yean, S.; Kan, A.; Tomson, M. A sorption kinetics model for arsenic adsorption to magnetite nanoparticles. Environ. Sci. Pollut. Res. 2010, 17, 1053–1062. [Google Scholar] [CrossRef]
- Ko, S.P.; Liu, H.-L.; Kim, S.; Ju, J.-S.; Kim, Y.K. Sub 5 nm magnetite nanoparticles: Synthesis, microstructure, and magnetic properties. Mater. Lett. 2007, 61, 3124–3129. [Google Scholar] [CrossRef]
- Liu, Z.L.; Wang, X.; Yao, K.L.; Du, G.H.; Lu, Q.H.; Ding, Z.H.; Tao, J.; Ning, Q.; Luo, X.P.; Tian, D.Y.; et al. Synthesis of magnetite nanoparticles in w/o microemulsion. J. Mate. Sci. 2004, 39, 2633–2636. [Google Scholar] [CrossRef]
- Yokoi, H.; Kinoshita, T.; Zhang, S. Dynamic reassembly of peptide rada16 nanofiber scaffold. Proc. Nati. Acad. Sci.U.S. Amer. 2004. [Google Scholar]
- Sen, T.; Magdassi, S.; Nizri, G.; Bruce, I.J. Dispersion of magnetic nanoparticles in suspension. Micro. Nano Lett. 2006, 1, 39–42. [Google Scholar] [CrossRef]
- Tuutijärvi, T.; Lu, J.; Sillanpää, M.; Chen, G. As(V) adsorption on maghemite nanoparticles. J. Hazard. Mater. 2009, 166, 1415–1420. [Google Scholar]
- Wang, Y.; Morin, G.; Ona-Nguema, G.; Juillot, F.; Calas, G.; Brown, G.E. Distinctive arsenic(V) trapping modes by magnetite nanoparticles induced by different sorption processes. Environ. Sci. Technol. 2011, 45, 7258–7266. [Google Scholar]
- Wang, Y.; Morin, G.; Ona-Nguema, G.; Menguy, N.; Juillot, F.; Aubry, E.; Guyot, F.; Calas, G.; Brown, G.E., Jr. Arsenite sorption at the magnetite–water interface during aqueous precipitation of magnetite: EXAFS evidence for a new arsenite surface complex. Geochim. Cosmochim. Acta 2008, 72, 2573–2586. [Google Scholar] [CrossRef]
- Morin, G.; Wang, Y.; Ona-Nguema, G.; Juillot, F.; Calas, G.; Menguy, N.; Aubry, E.; Bargar, J.R.; Brown, G.E. Exafs and hrtem evidence for as(III)-containing surface precipitates on nanocrystalline magnetite: Implications for as sequestration. Langmuir 2009, 25, 9119–9128. [Google Scholar]
- Dixit, S.; Hering, J.G. Comparison of arsenic(V) and arsenic(III) sorption onto iron oxide minerals: Implications for arsenic mobility. Environ. Sci. Technol. 2003, 37, 4182–4189. [Google Scholar] [CrossRef]
- Cornell, R.M.; Schwertmann, U. The Iron Oxides; WILEY-VCH Verlag GmbH & Co: Weinheim, Germany, 2003; pp. 536–537. [Google Scholar]
- Herbel, M.; Fendorf, S. Biogeochemical processes controlling the speciation and transport of arsenic within iron coated sands. Chem. Geol. 2006, 228, 16–32. [Google Scholar] [CrossRef]
- Zhang, Q.L.; Lin, Y.C.; Chen, X.; Gao, N.Y. A method for preparing ferric activated carbon composites adsorbents to remove arsenic from drinking water. J. Hazard. Mater. 2007, 148, 671–678. [Google Scholar] [CrossRef]
- Gupta, A.K.; Gupta, M. Synthesis and surface engineering of iron oxide nanoparticles for biomedical applications. Biomaterials 2005, 26, 3995–4021. [Google Scholar] [CrossRef]
- Vayssières, L.; Chanéac, C.; Tronc, E.; Jolivet, J.P. Size tailoring of magnetite particles formed by aqueous precipitation: An example of thermodynamic stability of nanometric oxide particles. J. Colloid Interface Sci. 1998, 205, 205–212. [Google Scholar] [CrossRef]
- Iler, R.K. The Chemistry of Silica; Wiley: New York, NY, USA, 1979; pp. 172–177. [Google Scholar]
© 2012 by the authors; licensee MDPI, Basel, Switzerland. This article is an open-access article distributed under the terms and conditions of the Creative Commons Attribution license (http://creativecommons.org/licenses/by/3.0/).
Share and Cite
Chang, S.-C.; Yu, Y.-H.; Li, C.-H.; Wu, C.-C.; Lei, H.-Y. Highly Efficient Arsenic Removal Using a Composite of Ultrafine Magnetite Nanoparticles Interlinked by Silane Coupling Agents. Int. J. Environ. Res. Public Health 2012, 9, 3711-3723. https://doi.org/10.3390/ijerph9103711
Chang S-C, Yu Y-H, Li C-H, Wu C-C, Lei H-Y. Highly Efficient Arsenic Removal Using a Composite of Ultrafine Magnetite Nanoparticles Interlinked by Silane Coupling Agents. International Journal of Environmental Research and Public Health. 2012; 9(10):3711-3723. https://doi.org/10.3390/ijerph9103711
Chicago/Turabian StyleChang, Shu-Chi, Yu-Han Yu, Cheng-Hao Li, Chin-Ching Wu, and Hao-Yun Lei. 2012. "Highly Efficient Arsenic Removal Using a Composite of Ultrafine Magnetite Nanoparticles Interlinked by Silane Coupling Agents" International Journal of Environmental Research and Public Health 9, no. 10: 3711-3723. https://doi.org/10.3390/ijerph9103711
APA StyleChang, S.-C., Yu, Y.-H., Li, C.-H., Wu, C.-C., & Lei, H.-Y. (2012). Highly Efficient Arsenic Removal Using a Composite of Ultrafine Magnetite Nanoparticles Interlinked by Silane Coupling Agents. International Journal of Environmental Research and Public Health, 9(10), 3711-3723. https://doi.org/10.3390/ijerph9103711
