Response of Fish Communities to Various Environmental Variables across Multiple Spatial Scales
Abstract
:1. Introduction
2. Materials and Methods
2.1. Ecological Data

| Category | Variable | Mean (±SD) |
|---|---|---|
| Geo-hydrological factors | Altitude (m) | 108.7 (±127.7) |
| Slope (%) | 13.4 (±18) | |
| Stream Order | 5.3 (±1.5) | |
| Distance from Source (DFS; km) | 51.5 (±80.4) | |
| Land cover types | Urban (%) | 17 (±23.1) |
| Forest (%) | 30.1 (±30.7) | |
| Paddy field (%) | 27.6 (±27.3) | |
| Dry field (%) | 12.2 (±14.5) | |
| Physicochemical factors | pH | 8.1 (±0.8) |
| Conductivity (EC; μS/cm) | 288.2 (±232.5) | |
| BOD (mg/L) | 2.9 (±2.6) | |
| TN (mg/L) | 2.9 (±2.4) | |
| TP (mg/L) | 0.1 (±0.2) | |
| Chlorophyll-a (μg/L) | 5.3 (±10.8) |
2.2. Data Analysis
2.2.1. Overall Procedure

2.2.2. Self-Organizing Map (SOM)
2.2.3. Random Forest Model
2.2.4. Indicator Species Analysis
2.2.5. Theoretical Path Model (TPM)
2.2.6. Statistical Analysis
3. Results
3.1. Fish Communities
| Number of species | Dominant species | ||||
|---|---|---|---|---|---|
| Watershed | Total | Endemic | Exotic | 1st | 2nd |
| Han River | 96 | 30 | 5 | Zacco platypus | Zacco koreanus |
| Nakdong River | 67 | 23 | 3 | Z. platypus | Z. koreanus |
| Geum River | 69 | 26 | 4 | Z. platypus | Hemiculter eigenmanni |
| Youngsan River | 59 | 18 | 3 | Z. platypus | Z. temminckii |
| Seomjin River | 50 | 19 | 3 | Z. platypus | Z. koreanus |
| Total | 128 | 49 | 5 | Z. platypus | Z. koreanus |
3.2. Relations between Environmental Factors
3.3. Fish Assemblage Patterns

3.4. Differences in Environmental Variables
| Category | Variable | Geo-hydrological factors | Land cover types | Physicochemical factors | ||||||||||
|---|---|---|---|---|---|---|---|---|---|---|---|---|---|---|
| Altitude | Slope | DFS | Stream order | Urban | Forest | Paddy field | Dry field | pH | EC | BOD | TN | TP | ||
| Geo-hydrological factors | Slope | 0.44 ** | ||||||||||||
| DFS | −0.17 ** | −0.22 ** | ||||||||||||
| Stream order | −0.20 ** | −0.26 ** | 0.86 ** | |||||||||||
| Land cover types | Urban | −0.21 ** | −0.23 ** | −0.05 | −0.01 | |||||||||
| Forest | 0.50 ** | 0.59 ** | −0.17 ** | −0.21 ** | −0.42 ** | |||||||||
| Paddy field | −0.29 ** | −0.35 ** | 0.02 | 0.02 | −0.16 ** | −0.45 ** | ||||||||
| Dry field | 0.17 ** | 0.07 | 0.04 | 0.05 | 0.02 | 0.07 * | −0.17 ** | |||||||
| Physicochemical factors | pH | 0.08 * | −0.03 | 0.26 ** | 0.25 ** | −0.10 ** | 0.03 | −0.04 | 0.08 * | |||||
| EC | −0.45 ** | −0.31 ** | 0.09 * | 0.21 ** | 0.22 ** | −0.41 ** | 0.17 ** | −0.06 | 0.08 * | |||||
| BOD | −0.37 ** | −0.30 ** | 0.07 | 0.13 ** | 0.21 ** | −0.39 ** | 0.20 ** | −0.12 ** | 0.02 | 0.55 ** | ||||
| TN | −0.28 ** | −0.18 ** | −0.07 | −0.03 | 0.21 ** | −0.27 ** | 0.09 * | −0.08 * | −0.02 | 0.46 ** | 0.63 ** | |||
| TP | −0.47 ** | −0.29 ** | −0.01 | 0.05 | 0.24 ** | −0.43 ** | 0.21 ** | −0.12 ** | −0.01 | 0.56 ** | 0.74 ** | 0.63 ** | ||
| Chl−a | −0.11 ** | −0.13 ** | 0.14 ** | 0.16 ** | 0.12 ** | −0.17 ** | 0.02 | −0.05 | 0.04 | 0.23 ** | 0.37 ** | 0.22 ** | 0.28 ** | |
| Category | Variable | SOM cluster | ||||
|---|---|---|---|---|---|---|
| I | II | III | IV | V | ||
| Geo-hydrological factors | Altitude (m) | 210.3 (91–281) a | 132.7 (15–166) c | 106.3 (44–146) b | 55.6 (19–76) c, d | 41.2 (16–45) d |
| Slope (%) | 23.1 (4–36) a | 17 (1.5–28) b | 10.4 (1–15) b | 11.2 (1–12) b | 4.7 (1–5) c | |
| DFS (km) | 33.8 (12.1–40.8) b | 56.2 (5.3–34.4) c | 55.1 (16.7–69.5) a | 71.1 (14.9–72.6) a | 32 (11.4–32.8) bc | |
| Stream Order | 5 (4–6) bc | 5 (3–5) c | 6 (5–6) a | 6 (5–7) a | 5 (4–6) ab | |
| Land cover types | Urban (%) | 11.5 (1.8–16.6) b | 18.1 (1.3–22.6) b | 10.9 (1–14.3) b | 14.9 (2.3–15.8) b | 34.1 (6–62.9) a |
| Forest (%) | 47.1 (19.6–76.2) a | 39 (5.1–68.8) ab | 31.7 (6.9–53.2) b | 22.8 (0–38.5) c | 8 (0–7.6) d | |
| Paddy field (%) | 18.3 (0–30.6) b | 20.3 (0–34.9) b | 32.2 (10.8–51) a | 31.6 (4.3–49.2) a | 35.1 (1.1–63.4) a | |
| Dry field (%) | 15.6 (3–22.9) a | 12.5 (0–20.6) a | 11.9 (0.8–17.2) a | 12.3 (0.8–17.2) a | 7.9 (0–14) b | |
| Physico-chemical factors | pH | 8.3 (7.6–9) a | 8.1 (7.3–8.9) a, b | 8.2 (7.6–8.7) a | 8.2 (7.5–8.8) a | 7.9 (7.4–8.4) b |
| EC (μS/cm) | 181.4 (82.9–204.8) d | 285.7 (106.0–398.0) b, c | 231.4 (133.2–284.9) c | 311.9 (171.6–377.5) b | 471 (302–542.2) a | |
| BOD (mg/L) | 1.6 (1–2) c | 2.5 (1.2–3.2) b | 2.7 (1.3–3.4) b | 2.7 (1.4–3.4) b | 5.6 (3.3–7.2) a | |
| TN (mg/L) | 2 (1.3–2.3) b | 2.7 (1.3–3.3) b | 2.2 (1–2.9) b | 2.5 (1.2–3.3) b | 5.7 (3.4–6.7) a | |
| TP (mg/L) | 0.03 (0.01–0.03) c | 0.11 (0.02–0.11) b | 0.07 (0.02–0.08) b | 0.11 (0.02–0.14) b | 0.3 (0.1–0.4) a | |
| Chlorophyll- a (μg/L) | 2.3 (0.4–2.6) c | 5.6 (0.5–5.4) ab | 5.8 (1–7) a | 5.4 (0.4–4.7) b | 7.8 (1.4–4.5) a |
3.5. Characteristics of Fish Assemblages


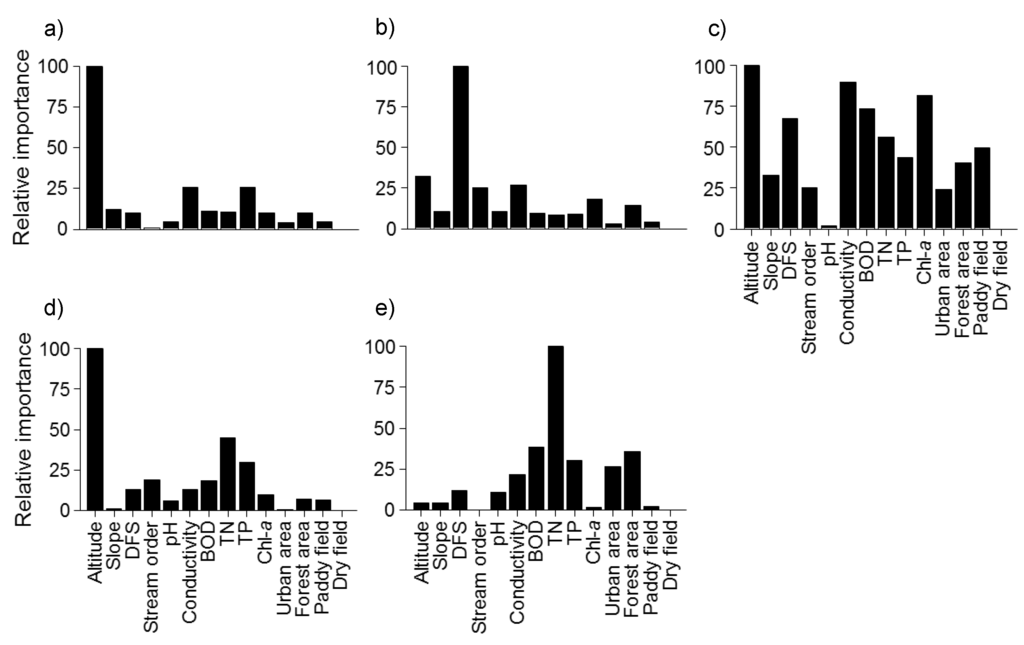
3.6. Prediction of Fish Assemblages
| Cluster | Geo | Land | WQI | Geo + land | Geo + WQI | Land + WQI | Total | |
|---|---|---|---|---|---|---|---|---|
| I | Prediction rate | 0.89 | 0.84 | 0.89 | 0.89 | 0.91 | 0.89 | 0.92 |
| Kappa (k) | 0.60 | 0.36 | 0.62 | 0.62 | 0.68 | 0.62 | 0.74 | |
| II | Prediction rate | 0.87 | 0.83 | 0.85 | 0.88 | 0.89 | 0.84 | 0.89 |
| Kappa (k) | 0.41 | 0.00 | 0.16 | 0.47 | 0.49 | 0.11 | 0.51 | |
| III | Prediction rate | 0.85 | 0.81 | 0.86 | 0.86 | 0.88 | 0.88 | 0.88 |
| Kappa (k) | 0.37 | 0.07 | 0.41 | 0.42 | 0.51 | 0.50 | 0.53 | |
| IV | Prediction rate | 0.80 | 0.76 | 0.77 | 0.83 | 0.86 | 0.81 | 0.88 |
| Kappa (k) | 0.32 | 0.14 | 0.18 | 0.44 | 0.58 | 0.35 | 0.63 | |
| V | Prediction rate | 0.88 | 0.88 | 0.93 | 0.92 | 0.93 | 0.94 | 0.94 |
| Kappa (k) | 0.32 | 0.40 | 0.69 | 0.60 | 0.69 | 0.74 | 0.74 |
25-75% percentiles,
non-outlier range).
25-75% percentiles,
non-outlier range). 

| Species | Prediction rate | Kappa (k) | Important factors (MDL) | Cluster | ||
| 1st | 2nd | Indicator | Dominance | |||
| Zacco platypus | 0.88 | 0.63 | DFS (100) | Altitude (45.7) | III | III |
| Liobagrus andersoni | 0.93 | 0.13 | Urban (100) | pH (97.1) | I | I |
| Sarcocheilichthys variegatus | 0.95 | 0.55 | DFS (100) | Conductivity (61.3) | III | III |
| Iksookimia koreensis | 0.92 | 0.66 | Altitude (100) | DFS (44.3) | I | I |
| Zacco koreanus | 0.90 | 0.76 | Altitude (100) | TP (42.6) | I | I |
| Cyprinus carpio | 0.93 | 0.68 | TN (100) | TP (88.2) | V | V |
| Coreoleuciscus splendidus | 0.94 | 0.82 | Altitude (100) | DFS (78.9) | I | I |
| Koreocobitis rotundicaudata | 0.92 | 0.31 | Urban (100) | DFS (68.4) | I | I |
| Carassius auratus | 0.89 | 0.75 | TP (100) | Forest (57.2) | V | V |
| Pseudogobio esocinus | 0.91 | 0.81 | DFS (100) | Stream order (60.6) | III | III |
| Microphysogobio longidorsalis | 0.95 | 0.58 | Altitude (100) | DFS (78.4) | I | I |
| Microphysogobio yaluensis | 0.90 | 0.65 | Altitude (100) | BOD (47.3) | III | III |
| Pungtungia herzi | 0.90 | 0.79 | Altitude (100) | Conductivity (80.0) | I, III | III |
| Coreoperca herzi | 0.93 | 0.75 | DFS (100) | TP (66.0) | I | I |
| Squalidus gracilis | 0.89 | 0.54 | Altitude (100) | Paddy field (79.1) | III | III |
| Rhynchocypris oxycephalus | 0.93 | 0.62 | DFS (100) | Altitude (65.6) | - | II |
| Hemiculter eigenmanni | 0.96 | 0.62 | Altitude (100) | Forest (74.3) | - | V |
| Tridentiger brevispinis | 0.92 | 0.22 | DFS (100) | Stream order (36.4) | - | I |
3.7. Theoretical Path Model

4. Discussion
5. Conclusions
Acknowledgments
Conflict of Interest
References
- Li, F.; Chung, N.; Bae, M.-J.; Kwon, Y.-S.; Park, Y.-S. Relationships between stream macroinvertebrates and environmental variables at multiple spatial scales. Freshwater Biol. 2012, 57, 2107–2124. [Google Scholar] [CrossRef]
- Levin, S.A. The problem of pattern and scale in ecology. Ecology 1992, 73, 1943–1967. [Google Scholar] [CrossRef]
- Townsend, C.R.; Dolédec, S.; Norris, R.; Peacock, K.; Arbuckle, C. The influence of scale and geography on relationships between stream community composition and landscape variables: Description and prediction. Freshwater Biol. 2003, 48, 768–785. [Google Scholar] [CrossRef]
- Mykrä, H.; Heino, J.; Muotka, T. Scale-related patterns in the spatial and environmental components of stream macroinvertebrate assemblage variation. Global Ecol. Biogeogr. 2007, 16, 149–159. [Google Scholar] [CrossRef]
- Carpenter, S.R.; Kitchell, J.F.; Hodgson, J.R. Cascading trophic interactions and lake productivity. BioScience 1985, 35, 634–639. [Google Scholar] [CrossRef]
- Power, M.E.; Matthews, W.J.; Stewart, A.J. Grazing minnows, piscivorous bass, and stream algae: Ddynamics of a strong interaction. Ecology 1985, 66, 1448–1456. [Google Scholar] [CrossRef]
- Wootton, J.T.; Power, M.E. Productivity, consumers, and the structure of a river food chain. Proc. Natl. Acad. Sci. USA 1993, 90, 1384–1387. [Google Scholar] [CrossRef]
- Karr, J.R.; Freemark, K.E. Disturbance and Vertebrates: An Integrative Perspective. In Ecology of Natural Disturbance and Patch Dynamics; Pickett, S.T.A., White, P.S., Eds.; Academic Press: New York, NY, USA, 1985; pp. 153–168. [Google Scholar]
- McCauley, R.W. Determining the health of fish communities—Parallels with human medicine. J. Great Lakes Res. 1990, 16, 635–636. [Google Scholar] [CrossRef]
- Kouamélan, E.P.; Teugels, G.G.; N’Douba, V.; Bi, G.G.; Koné, T. Fish diversity and its relationships with environmental variables in a West African basin. Hydrobiologia 2003, 505, 139–146. [Google Scholar] [CrossRef]
- Beechie, T.J.; Sibley, T.H. Relationships between channel characteristics, woody debris, and fish habitat in northwestern Washington streams. T. Am. Fish. Soc. 1997, 126, 217–229. [Google Scholar] [CrossRef]
- Allan, J.D. Reference. In Stream Ecology: Structure and Function of Running Waters; Chapman and Hall: London, UK, 1995. [Google Scholar]
- Park, Y.S.; Grenouillet, G.; Esperance, B.; Lek, S. Stream fish assemblages and basin land cover in a river network. Sci. Total Environ. 2006, 365, 140–153. [Google Scholar] [CrossRef]
- Burton, G.W.; Odum, E.P. The distribution of stream fish in the vicinity of mountain lake, Virginia. Ecology 1945, 26, 182–194. [Google Scholar] [CrossRef]
- Torgersen, C.E.; Baxter, C.V.; Li, H.W.; McIntosh, B.A. Landscape influences on longitudinal patterns of river fishes: Spatially continuous analysis of fish-habitat relationships. Amer. Fish. Soc. 2006, 48, 473–492. [Google Scholar]
- Kuehne, R.A. A classification of streams, illustrated by fish distribution in an eastern Kentucky creek. Ecology 1962, 43, 608–614. [Google Scholar] [CrossRef]
- Harrel, R.C.; Davis, B.J.; Dorris, T.C. Stream order and species diversity of fishes in an intermittent Oklahoma stream. Am. Midl. Nat. 1967, 78, 428–436. [Google Scholar] [CrossRef]
- Paller, M.H. Relationships between fish assemblage structure and stream order in South Carolina plain streams. Am. Fish. Soc. 1994, 123, 150–161. [Google Scholar] [CrossRef]
- Whiteside, B.G.; McNatt, R.M. Fish species diversity in relation to stream order and physicochemical conditions in the Plum Creek drainage basin. Am. Midl. Nat. 1972, 88, 90–101. [Google Scholar] [CrossRef]
- Schofield, C.L.; Driscoll, C.T. Fish species distribution in relation to water quality gradients in the North Branch of the Moose River Basin. Biogeochemistry 1987, 3, 63–85. [Google Scholar] [CrossRef]
- Tonn, W.M.; Magnuson, J.J.; Rask, M.; Toivonen, J. Intercontinental comparison of small-lake fish assemblages: The balance between local and regional processes. Am. Nat. 1990, 136, 345–375. [Google Scholar]
- Poff, N.L. Landscape filters and species traits: Towards mechanistic understanding and prediction in stream ecology. J. N. Am. Benthol. Soc. 1997, 16, 391–409. [Google Scholar] [CrossRef]
- Gregory, S.V.; Swanson, F.J.; McKee, W.A.; Cummins, K.W. An ecosystem perspective of riparian zones. BioScience 1991, 41, 540–551. [Google Scholar] [CrossRef]
- Townsend, C.R. Invasion biology and ecological impacts of brown trout Salmotrutta in New Zealand. Biol. Conserv. 1996, 78, 13–22. [Google Scholar] [CrossRef]
- Gevrey, M.; Park, Y.S.; Oberdorff, T.; Lek, S. Predicting Fish Assemblages in France and Evaluating the Influence of Their Environmental Variables. In Modelling Community Structure in Freshwater Ecosystems; Lek, S., Scardi, M., Verdonschot, P.F.M., Desy, J.P., Park, Y.S., Eds.; Springer: Berlin, Germany, 2005; pp. 54–63. [Google Scholar]
- Park, Y.S.; Oberdorff, T.; Lek, S. Patterning Riverine Fish Assemblages Using An Unsupervised Neural Network. In Modelling Community Structure in Freshwater Ecosystems; Lek, S., Scardi, M., Verdonschot, P.F.M., Desy, J.P., Park, Y.S., Eds.; Springer: Berlin, Germany, 2005; pp. 43–53. [Google Scholar]
- He, Y.; Wang, J.; Lek-Ang, S.; Lek, S. Predicting assemblages and species richness of endemic fish in the upper Yangtze River. Sci. Total Environ. 2011, 408, 4211–4220. [Google Scholar]
- Scardi, M.; Cataudella, S.; Ciccotti, E.; Di Dato, P.; Maio, G.; Marconato, E.; Salviati, S.; Tancioni, L.; Turin, P.; Zanetti, M. Optimisation of Artificial Neural Networks for Predicting Fish Assemblages in Rivers. In ModellingCommunity Structure in Freshwater Ecosystems; Lek, S., Scardi, M., Verdonschot, P.F.M., Desy, J.P., Park, Y.S., Eds.; Springer: Berlin, Germany, 2005; pp. 114–129. [Google Scholar]
- Grenouillet, G.; Pont, D.; Hérissé, C. Within-basin fish assemblage structure: The relative influence of habitat versus stream spatial position on local species richness. Can. J. Fish. Aquat. Sci. 2004, 61, 93–102. [Google Scholar] [CrossRef]
- Marsh-Matthews, E.; Matthews, W.J. Geographic, terrestrial and aquatic factors: Which most influence the structure of stream fish assemblages in the midwestern United States? Ecol. Freshw. Fish. 2000, 9, 9–21. [Google Scholar]
- D’Ambrosio, J.L.; Williams, L.R.; Witter, J.D.; Ward, A. Effects of geomorphology, habitat, and spatial location on fish assemblages in a watershed in Ohio, USA. Environ. Monit. Assess. 2009, 148, 325–341. [Google Scholar] [CrossRef]
- Hayes, J.W.; Leathwick, J.R.; Hanchet, S.M. Fish distribution patterns and their association with environmental factors in the Mokau River catchment, New Zealand. New Zeal. J. Mar. Fresh. 1989, 23, 171–180. [Google Scholar] [CrossRef]
- Jowett, I.G.; Richardson, J. Fish communities in New Zealand rivers and their relationship to environmental variables. New. Zeal. J. Mar. Fresh. 2003, 37, 347–366. [Google Scholar] [CrossRef]
- Lee, J.H.; Han, J.-H.; Kumar, H.K.; Choi, J.-K.; Byeon, H.K.; Choi, J.S.; Kim, J.-K.; Jang, M.-H.; Park, H.-K.; An, K.-G. National-level integrative ecological health assessments based on the index of biological integrity, water quality, and qualitative habitat evaluation index, in Korean rivers. Ann. Limnol. Int. J. Lim. 2011, 47, S73–S89. [Google Scholar] [CrossRef]
- Yoon, J.-D.; Kim, J.-H.; Byeon, M.-S.; Yang, H.-J.; Park, J.-Y.; Shim, J.-H.; Song, H.-B.; Yang, H.; Jang, M.-H. Distribution patterns of fish communities with respect to environmental gradients in Korean streams. Ann. Limnol. Int. J. Lim. 2011, 47, S63–S71. [Google Scholar] [CrossRef]
- Fu, C. Potential impacts of human-induced land cover change on East Asia monsoon. Global Planet. Change 2003, 37, 219–229. [Google Scholar]
- The Ministry of Environment/ National Institute of Environmental Research, Korea, The Survey and Evaluation of Aquatic Ecosystem Health in Korea; MOE/NIER: Inchon, Korea, 2008.
- Eaton, A.D.; Clesceri, L.S.; Rice, E.W.; Greenberg, A.E.; Franson, M.A.H. Standard Methods for the Examination of Water and Wastewater, 21st ed; American Public Health Association: Washington, DC, USA, 2005. [Google Scholar]
- Vesanto, J.; Himberg, J.; Siponen, M.; Simula, O. Enhansing SOM Based Data Visualization. In Proceedings of the 5th International Conference of Soft computing and information/Intelligent Systems (IIZUKA’98), Fukuoka, Japan, 16–20 October 1998.
- Kohonen, T. Reference. In Self-Organizing Maps; Springer: Berlin, Germany, 2001. [Google Scholar]
- Park, Y.S.; Céréghino, R.; Compin, A.; Lek, S. Applications of artificial neural networks for patterning and predicting aquatic insect species richness in running waters. Ecol. Model. 2003, 160, 265–280. [Google Scholar] [CrossRef]
- Vesanto, J.; Alhoniemi, R. Clustering of the self-organizing map. IEEE T. Neural Networ. 2000, 11, 586–600. [Google Scholar] [CrossRef]
- Céréghinoa, R.; Park, Y.S. Review of the Self-Organizing Map (SOM) approach in water resources: commentary. Environ. Modell. Softw. 2009, 24, 945–947. [Google Scholar] [CrossRef]
- Legendre, P.; Legendre, L. Reference. In Numerical Ecology; Elsevier: Amsterdam, The Netherlands, 1998. [Google Scholar]
- Alhoniemi, E.; Himberg, J.; Parhankangas, J.; Vesanto, J. SOM Toolbox. Available online: http://www.cis.hut.fi/projects/somtoolbox (accessed on 8 September 2012).
- Mielke, E.W.; Berry, K.J.; Johnson, E.S. Multiresponse permutation procedures for a priori classifications. Commun. Stat. Theor. M. 1976, 5, 1409–1424. [Google Scholar] [CrossRef]
- Breiman, L. Random forests. Mach. Learn. 2001, 45, 5–32. [Google Scholar] [CrossRef]
- Cutler, R.D.; Edwards, T.C.; Beard, K.H.; Cutler, A.; Hess, K.T.; Gibson, J.; Lawler, J.J. Random forests for classification in ecology. Ecology 2007, 88, 2783–2792. [Google Scholar] [CrossRef]
- Robnik-Sikonja, M. Improving random forests. Mach. Learn. 2004, 3201, 359–370. [Google Scholar]
- Cohen, J. A coefficient of agreement for nominal scales. Educ. Psychol. Meas. 1960, 20, 37–46. [Google Scholar] [CrossRef]
- Robnik-Sikonja, M.; Savicky, P. CORElearn—Classification, Regression, Feature Evaluation and Ordinal Evaluation. The R Project for Statistical Computing, 2012. Available online: http://www.r-project.org (accessed on 8 September 2012).
- Dufrêne, M.; Legendre, P. Species assemblages and indicator species: The need for a flexible asymmetrical approach. Ecol. Monogr. 1997, 67, 345–366. [Google Scholar]
- Peterson, W.T.; Keister, J.E. Interannual variability in copepod community composition at a coastal station in the northern California Current: A multivariate approach. Deep Sea Res. 2003, 50, 2499–2517. [Google Scholar] [CrossRef]
- Donovan, R. Path analysis of a theoretical model of persistence in higher education among low-income Black youth. Res. High. Educ. 1984, 21, 243–252. [Google Scholar] [CrossRef]
- Wright, S. The method of path coefficients. Ann. Math. Statist. 1934, 5, 161–215. [Google Scholar] [CrossRef]
- Mitchell, R.J. Testing evolutionary and ecological hypotheses using path analysis and structural equation. Funct. Ecol. 1992, 6, 123–129. [Google Scholar] [CrossRef]
- Shipley, B. Explanatory path analysis with applications in ecology and evolution. Am. Nat. 1997, 149, 1113–1138. [Google Scholar]
- Pittman, S.J.; McAlpine, C.A.; Pittman, K.M. Linking fish and prawns to their environment: A hierarchical landscape approach. Mar. Ecol. Prog. Ser. 2004, 283, 233–254. [Google Scholar] [CrossRef]
- Mellin, C.; Andréfouët, S.; Kulbicki, M.; Dalleau, M.; Vigliola, L. Remote sensing and fish–habitat relationships in coral reef ecosystems: Review and pathways for multi-scale hierarchical research. Mar. Pollut. Bull. 2009, 58, 11–19. [Google Scholar] [CrossRef]
- Horwitz, R.J. Temporal variability patterns and the distribution patterns of stream fishes. Ecol. Monogr. 1978, 48, 307–321. [Google Scholar] [CrossRef]
- Penczak, T.; Mann, R.H.K. The impact of stream order on fish population in the Pilica drainage basin, Poland. Pol. Arch. Hydrobiol. 1990, 37, 243–261. [Google Scholar]
- Schlosser, I.J. Environmental variation, life history attributes, and community structure in stream fishes: Implications for environmental management and assessment. Environ. Mange. 1990, 14, 621–628. [Google Scholar]
- Oberdorff, T.; Pont, D.; Hugueny, B.; Chessel, D. A probabilistic model characterizing fish assemblages of French rivers: A framework for environmental assessment. Freshwater Biol. 2001, 46, 399–415. [Google Scholar] [CrossRef]
- Oberdorff, T.; Gilbert, E.; Lucchetta, J.C. Patterns of fish species richness in the Seine River basin, France. Hydrobiologia 1993, 259, 157–167. [Google Scholar] [CrossRef]
- Allan, J.D. Landscapes and river scapes: The influence of land use on stream ecosystems. Annu. Rev. Ecol. Evol. Syst. 2004, 35, 257–284. [Google Scholar] [CrossRef]
- Grime, J.P. Competitive exclusion in herbaceous vegetation. Nature 1973, 242, 344–347. [Google Scholar] [CrossRef]
- Horn, H.S. Markovian Processes of Forest Succession. In Ecology and Evolution of Communities; Cody, M.L., Diamond, J.M., Eds.; Harvard University Press: Cambridge, UK, 1975. [Google Scholar]
- Connell, J.H. Diversity in tropical rain forests and coral reefs. Science 1978, 199, 1302–1310. [Google Scholar]
- Vannote, R.L.; Minshall, G.W.; Cummins, K.W.; Sedell, J.R.; Cushing, C.E. The river continuum concept. Can. J. Fish. Aqua. Sci. 1980, 37, 130–137. [Google Scholar] [CrossRef]
- Lowe-McConnell, R.H. Reference. In Fish Communities in Tropical Freshwaters; Longman: New York, NY, USA, 1975. [Google Scholar]
- Rahel, F.J.; Hubert, W.A. Fish assemblages and habitat gradients in a Rocky Mountain-Great Plains stream: Biotic zonation and additive patterns of community change. Trans. Am. Fish. Sot. 1991, 120, 319–332. [Google Scholar] [CrossRef]
- Morgan, R.P.; Cushman, S.F. Urbanization effects on stream fish assemblages in Maryland, USA. J. N. Am. Benthol. Soc. 2005, 24, 643–655. [Google Scholar]
- Paul, M.J.; Meyer, J.L. Streams in the urban landscape. Annu. Rev. Ecol. Syst. 2001, 32, 333–365. [Google Scholar] [CrossRef]
- Scott, J.B.; Steward, C.R.; Stober, Q.J. Effects of urban development on fish population dynamics in Kelsey Creek, Washington. Trans. Am. Fish. Soc. 1986, 115, 555–567. [Google Scholar] [CrossRef]
- Weaver, L.A.; Garman, G.C. Urbanization of a watershed and historical changes in a stream fish assemblage. T. Am. Fish. Soc. 1994, 123, 162–172. [Google Scholar] [CrossRef]
- Lenat, D.R.; Crawford, J.K. Effects of land use on water quality and aquatic biota of three North Carolina piedmont streams. Hydrobiologia 1994, 294, 185–199. [Google Scholar] [CrossRef]
- Genito, D.; Gburek, W.J.; Sharpley, A.N. Response of stream macroinvertebrates to agricultural land cover in a small watershed. J. Freshwater Ecol. 2002, 17, 109–119. [Google Scholar] [CrossRef]
- Wang, L.; Lyons, J.; Kanehl, P.; Gatti, R. Influences of watershed land use on habitat quality and biotic integrity in Wisconsin streams. Fisheries 1997, 22, 6–12. [Google Scholar]
- Harding, J.S.; Benfield, E.F.; Bolstad, P.V.; Helfman, G.S.; Jones, E.B.D. Stream biodiversity; The ghost of land use past. Proc. Natl. Acad. Sci. USA 1998, 95, 14834–14847. [Google Scholar]
- Karr, J.R.; Toth, L.A.; Dudley, D.R. Fish communities of midwestern rivers: A history of degradation. BioScience 1985, 35, 90–95. [Google Scholar] [CrossRef]
- Roth, N.E.; Allan, J.D.; Erickson, D.L. Landscape influences on stream biotic integrity assessed at multiple spatial scales. LandscapeEcol. 1996, 11, 141–156. [Google Scholar]
- Hughes, R.M.; Wang, L.; Seelbach, P.W. Reference. In Landscapes Influences on Stream Habitats and Biological Assemblages; American Fisheries Society: Bethesda, MD, USA, 2006. [Google Scholar]
- McClelland, M.A.; Pegg, M.A.; Spier, T.W. Longitudinal patterns of the Illinois waterway fish community. J. Fresh. Ecol. 2006, 21, 91–99. [Google Scholar] [CrossRef]
- Beecher, H.A.; Dott, E.R.; Fernau, R.F. Fish species richness and stream order in Washington State streams. Environ. Biol. Fish. 1988, 22, 193–209. [Google Scholar] [CrossRef]
- Mandrak, N.E. Biogeographic patterns of fish species richness in Ontario lakes in relation to historical and environmental factors. Can. J. Fish. Aquat. Sci. 1995, 52, 1462–1474. [Google Scholar] [CrossRef]
- Oberdorff, T.; Guégan, J.F.; Hugueny, B. Global scale patterns of fish species richness in rivers. Ecography 1995, 4, 345–352. [Google Scholar]
- Joy, M.K.; Death, R.G. Predictive modelling of freshwater fish as a biomonitoring tool in New Zealand. Freshwater Biol. 2002, 47, 2261–2275. [Google Scholar] [CrossRef]
- Allan, J.D.; Castillo, M.M. Reference. In Stream Ecology: Structure and Function of Running Waters, 2nd ed; Springer: Dordrecht, The Netherlands, 2007. [Google Scholar]
- Rosenberg, D.M.; Resh, V.H. Reference. In Freshwater Biomonitoring and Benthic Macroinvertebrates; Chapman and Hall: New York, NY, USA, 1993. [Google Scholar]
- Wiley, M.; Kohler, S.; Seelbach, P. Reconciling landscape and local views of aquatic communities: Lessons from Michigan trout streams. Freshwater Biol. 1997, 37, 133–148. [Google Scholar]
- Johnson, R.K.; Furse, M.T.; Hering, D.; Sandin, L. Ecological relationships between stream communities and spatial scale: Implications for designing catchmentlevel monitoring programmes. Freshwater Biol. 2007, 52, 939–958. [Google Scholar] [CrossRef]
- Mori, T.; Murakami, M.; Saitoh, T. Latitudinal gradients in stream invertebrate assemblages at a regional scale on Hokkaido Island, Japan. Freshwater Biol. 2010, 55, 1520–1532. [Google Scholar]
- Jowett, I.G.; Richardson, J.S. Microhabitat preferences of benthic invertebrates in a New Zealand river and the development of in-stream flow-habitat models for Deleatidium. spp. New Zeal. J. Mar. Fresh. 1990, 24, 19–30. [Google Scholar] [CrossRef]
- Eitzmann, J.L.; Paukert, C.P. Longitudinal differences in habitat complexity and fish assemblage structure of a great plains river. Am. Midl. Nat. 2010, 163, 14–32. [Google Scholar] [CrossRef]
- Townsend, C.R.; Hildrew, A.G.; Francis, J. Community structure in some English streams: The influence of physicochemical factors. Freshwater Biol. 1983, 13, 521–544. [Google Scholar] [CrossRef]
© 2012 by the authors; licensee MDPI, Basel, Switzerland. This article is an open-access article distributed under the terms and conditions of the Creative Commons Attribution license (http://creativecommons.org/licenses/by/3.0/).
Share and Cite
Kwon, Y.-S.; Li, F.; Chung, N.; Bae, M.-J.; Hwang, S.-J.; Byoen, M.-S.; Park, S.-J.; Park, Y.-S. Response of Fish Communities to Various Environmental Variables across Multiple Spatial Scales. Int. J. Environ. Res. Public Health 2012, 9, 3629-3653. https://doi.org/10.3390/ijerph9103629
Kwon Y-S, Li F, Chung N, Bae M-J, Hwang S-J, Byoen M-S, Park S-J, Park Y-S. Response of Fish Communities to Various Environmental Variables across Multiple Spatial Scales. International Journal of Environmental Research and Public Health. 2012; 9(10):3629-3653. https://doi.org/10.3390/ijerph9103629
Chicago/Turabian StyleKwon, Yong-Su, Fengqing Li, Namil Chung, Mi-Jung Bae, Soon-Jin Hwang, Myeong-Seop Byoen, Sang-Jung Park, and Young-Seuk Park. 2012. "Response of Fish Communities to Various Environmental Variables across Multiple Spatial Scales" International Journal of Environmental Research and Public Health 9, no. 10: 3629-3653. https://doi.org/10.3390/ijerph9103629
APA StyleKwon, Y.-S., Li, F., Chung, N., Bae, M.-J., Hwang, S.-J., Byoen, M.-S., Park, S.-J., & Park, Y.-S. (2012). Response of Fish Communities to Various Environmental Variables across Multiple Spatial Scales. International Journal of Environmental Research and Public Health, 9(10), 3629-3653. https://doi.org/10.3390/ijerph9103629

